JD_PM
- 1,125
- 156
- Homework Statement
- Proper Lorentz Transformations' expansion is given to be
$$\Lambda^{\mu}_{ \ \ \nu}(\epsilon)=(\exp(\epsilon))^{\mu}_{ \ \ \nu} = \delta^{\mu}_{\nu} + \epsilon^{\mu}_{ \ \ \nu} +\frac{1}{2!} \epsilon^{\mu}_{ \ \ \rho}\epsilon^{\rho}_{ \ \ \nu}+ \ ..., \tag1$$
Where
$$\epsilon_{\mu \nu}=-\epsilon_{\nu \mu} \tag2$$
a) Show that the Lorentz Transformation condition ##\eta_{\mu\nu}\Lambda^{\mu}{}_{\rho} (\epsilon)\Lambda^{\nu}{}_{\sigma}(\epsilon) = \eta_{\rho \sigma}## holds for ##(1)##
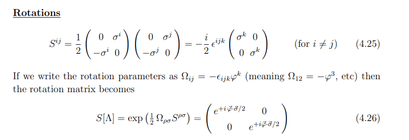
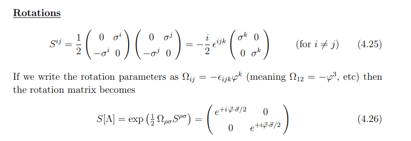
b) Show (by working out the matrix exponential explicitly) that only when ##\epsilon_{12}## does not vanish we get a rotation around the 3-axis over an angle ##\epsilon_{12}##
c) Show that only when ##\epsilon_{03}## does not vanish we get a boost along the 3-axis with rapidity ##\epsilon_{03}##
- Relevant Equations
- $$\Lambda^{\mu}_{ \ \ \nu}(\epsilon)=(\exp(\epsilon))^{\mu}_{ \ \ \nu} = \delta^{\mu}_{\nu} + \epsilon^{\mu}_{ \ \ \nu} +\frac{1}{2!} \epsilon^{\mu}_{ \ \ \rho}\epsilon^{\rho}_{ \ \ \nu}+ \ ..., \tag1$$
a) I think I got this one (I have to thank samalkhaiat and PeroK for helping me with the training in LTs :) )
$$\eta_{\mu\nu}\Big(\delta^{\mu}_{\rho} + \epsilon^{\mu}_{ \ \ \rho} +\frac{1}{2!} \epsilon^{\mu}_{ \ \ \lambda}\epsilon^{\lambda}_{ \ \ \rho}+ \ ...\Big)\Big(\delta^{\nu}_{\sigma} + \epsilon^{\nu}_{ \ \ \sigma} +\frac{1}{2!} \epsilon^{\nu}_{ \ \ \alpha}\epsilon^{\alpha}_{ \ \ \sigma}+ \ ...\Big)=$$
$$=\eta_{\mu \nu} \delta^{\mu}_{\rho}\delta^{\nu}_{\sigma}+\eta_{\mu\nu} \epsilon^{\mu}_{ \ \ \rho}\epsilon^{\nu}_{ \ \ \sigma}+\frac 1 4 \eta_{\mu \nu}\epsilon^{\mu}_{ \ \ \lambda}\epsilon^{\lambda}_{ \ \ \rho} \epsilon^{\nu}_{ \ \ \alpha}\epsilon^{\alpha}_{ \ \ \sigma} +\eta_{\mu \nu}\delta^{\mu}_{\rho}\epsilon^{\nu}_{ \ \ \sigma}+\frac{1}{2!}\eta_{\mu\nu}\delta^{\mu}_{\rho}\epsilon^{\nu}_{ \ \ \alpha}\epsilon^{\alpha}_{ \ \ \sigma}+\eta_{\mu\nu}\epsilon^{\mu}_{ \ \ \rho}\delta^{\nu}_{\sigma}$$
$$+\frac{1}{2!}\eta_{\mu\nu}\epsilon^{\mu}_{ \ \ \rho}\epsilon^{\nu}_{ \ \ \alpha}\epsilon^{\alpha}_{ \ \ \sigma} + \frac{1}{2!} \eta_{\mu\nu} \epsilon^{\mu}_{ \ \ \lambda}\epsilon^{\lambda}_{ \ \ \rho}\delta^{\nu}_{\sigma}+\frac{1}{2!} \eta_{\mu\nu} \epsilon^{\mu}_{ \ \ \lambda}\epsilon^{\lambda}_{ \ \ \rho}\epsilon^{\nu}_{ \ \ \sigma} + \ ... =$$
$$ = \eta_{\mu \nu} \delta^{\mu}_{\rho}\delta^{\nu}_{\sigma}+\eta_{\mu\nu} \epsilon^{\mu}_{ \ \ \rho}\epsilon^{\nu}_{ \ \ \sigma}+\eta_{\mu \nu}\delta^{\mu}_{\rho}\epsilon^{\nu}_{ \ \ \sigma}+\frac{1}{2!}\eta_{\mu\nu}\delta^{\mu}_{\rho}\epsilon^{\nu}_{ \ \ \alpha}\epsilon^{\alpha}_{ \ \ \sigma}+\eta_{\mu\nu}\epsilon^{\mu}_{ \ \ \rho}\delta^{\nu}_{\sigma}+\frac{1}{2!} \eta_{\mu\nu} \epsilon^{\mu}_{ \ \ \lambda}\epsilon^{\lambda}_{ \ \ \rho}\delta^{\nu}_{\sigma}+\mathcal O(\epsilon^3)=$$ $$=\eta_{\rho \sigma} + \epsilon_{\nu \rho}\epsilon^{\nu}_{ \ \sigma}+ \epsilon_{\rho \sigma}+\frac{1}{2!}\epsilon_{\rho \alpha}\epsilon^{\alpha}_{ \ \sigma}+\epsilon_{\sigma \rho}+\frac{1}{2!}\epsilon_{\sigma \lambda}\epsilon^{\lambda}_{ \ \rho} + \mathcal O(\epsilon^3)$$
We now massage one of the terms to get
$$\epsilon_{\sigma \lambda}\epsilon^{\lambda}_{ \ \rho}=\epsilon^{\lambda}_{ \ \rho}\epsilon_{\sigma \lambda}=-\epsilon^{\lambda}_{ \ \rho}\epsilon_{\lambda \sigma}=\epsilon_{\rho \lambda}\epsilon^{\lambda}_{ \ \sigma}$$
Neglecting order three and higher we get
$$\eta_{\mu\nu}\Lambda^{\mu}{}_{\rho} (\epsilon)\Lambda^{\nu}{}_{\sigma}(\epsilon)=\eta_{\rho \sigma} - \epsilon_{\rho \beta}\epsilon^{\beta}_{ \ \sigma}+ \epsilon_{\rho \sigma}+\frac{1}{2!}\epsilon_{\rho \beta}\epsilon^{\beta}_{ \ \sigma}-\epsilon_{\rho \sigma}+\frac{1}{2!}\epsilon_{\rho \beta}\epsilon^{\beta}_{ \ \sigma}=\eta_{\rho \sigma}$$
QED.
For b) and c) I am afraid I need hints. What do they mean by saying 'a rotation around the 3-axis over an angle ##\epsilon_{12}##' and 'a boost along the 3-axis with rapidity ##\epsilon_{03}##'?
Thanks
$$\eta_{\mu\nu}\Big(\delta^{\mu}_{\rho} + \epsilon^{\mu}_{ \ \ \rho} +\frac{1}{2!} \epsilon^{\mu}_{ \ \ \lambda}\epsilon^{\lambda}_{ \ \ \rho}+ \ ...\Big)\Big(\delta^{\nu}_{\sigma} + \epsilon^{\nu}_{ \ \ \sigma} +\frac{1}{2!} \epsilon^{\nu}_{ \ \ \alpha}\epsilon^{\alpha}_{ \ \ \sigma}+ \ ...\Big)=$$
$$=\eta_{\mu \nu} \delta^{\mu}_{\rho}\delta^{\nu}_{\sigma}+\eta_{\mu\nu} \epsilon^{\mu}_{ \ \ \rho}\epsilon^{\nu}_{ \ \ \sigma}+\frac 1 4 \eta_{\mu \nu}\epsilon^{\mu}_{ \ \ \lambda}\epsilon^{\lambda}_{ \ \ \rho} \epsilon^{\nu}_{ \ \ \alpha}\epsilon^{\alpha}_{ \ \ \sigma} +\eta_{\mu \nu}\delta^{\mu}_{\rho}\epsilon^{\nu}_{ \ \ \sigma}+\frac{1}{2!}\eta_{\mu\nu}\delta^{\mu}_{\rho}\epsilon^{\nu}_{ \ \ \alpha}\epsilon^{\alpha}_{ \ \ \sigma}+\eta_{\mu\nu}\epsilon^{\mu}_{ \ \ \rho}\delta^{\nu}_{\sigma}$$
$$+\frac{1}{2!}\eta_{\mu\nu}\epsilon^{\mu}_{ \ \ \rho}\epsilon^{\nu}_{ \ \ \alpha}\epsilon^{\alpha}_{ \ \ \sigma} + \frac{1}{2!} \eta_{\mu\nu} \epsilon^{\mu}_{ \ \ \lambda}\epsilon^{\lambda}_{ \ \ \rho}\delta^{\nu}_{\sigma}+\frac{1}{2!} \eta_{\mu\nu} \epsilon^{\mu}_{ \ \ \lambda}\epsilon^{\lambda}_{ \ \ \rho}\epsilon^{\nu}_{ \ \ \sigma} + \ ... =$$
$$ = \eta_{\mu \nu} \delta^{\mu}_{\rho}\delta^{\nu}_{\sigma}+\eta_{\mu\nu} \epsilon^{\mu}_{ \ \ \rho}\epsilon^{\nu}_{ \ \ \sigma}+\eta_{\mu \nu}\delta^{\mu}_{\rho}\epsilon^{\nu}_{ \ \ \sigma}+\frac{1}{2!}\eta_{\mu\nu}\delta^{\mu}_{\rho}\epsilon^{\nu}_{ \ \ \alpha}\epsilon^{\alpha}_{ \ \ \sigma}+\eta_{\mu\nu}\epsilon^{\mu}_{ \ \ \rho}\delta^{\nu}_{\sigma}+\frac{1}{2!} \eta_{\mu\nu} \epsilon^{\mu}_{ \ \ \lambda}\epsilon^{\lambda}_{ \ \ \rho}\delta^{\nu}_{\sigma}+\mathcal O(\epsilon^3)=$$ $$=\eta_{\rho \sigma} + \epsilon_{\nu \rho}\epsilon^{\nu}_{ \ \sigma}+ \epsilon_{\rho \sigma}+\frac{1}{2!}\epsilon_{\rho \alpha}\epsilon^{\alpha}_{ \ \sigma}+\epsilon_{\sigma \rho}+\frac{1}{2!}\epsilon_{\sigma \lambda}\epsilon^{\lambda}_{ \ \rho} + \mathcal O(\epsilon^3)$$
We now massage one of the terms to get
$$\epsilon_{\sigma \lambda}\epsilon^{\lambda}_{ \ \rho}=\epsilon^{\lambda}_{ \ \rho}\epsilon_{\sigma \lambda}=-\epsilon^{\lambda}_{ \ \rho}\epsilon_{\lambda \sigma}=\epsilon_{\rho \lambda}\epsilon^{\lambda}_{ \ \sigma}$$
Neglecting order three and higher we get
$$\eta_{\mu\nu}\Lambda^{\mu}{}_{\rho} (\epsilon)\Lambda^{\nu}{}_{\sigma}(\epsilon)=\eta_{\rho \sigma} - \epsilon_{\rho \beta}\epsilon^{\beta}_{ \ \sigma}+ \epsilon_{\rho \sigma}+\frac{1}{2!}\epsilon_{\rho \beta}\epsilon^{\beta}_{ \ \sigma}-\epsilon_{\rho \sigma}+\frac{1}{2!}\epsilon_{\rho \beta}\epsilon^{\beta}_{ \ \sigma}=\eta_{\rho \sigma}$$
QED.
For b) and c) I am afraid I need hints. What do they mean by saying 'a rotation around the 3-axis over an angle ##\epsilon_{12}##' and 'a boost along the 3-axis with rapidity ##\epsilon_{03}##'?
Thanks