Simple Generalized Eigenvalue problem

Click For Summary

Discussion Overview

The discussion revolves around finding a suitable example of a generalized eigenvalue problem, specifically a 3x3 matrix that does not have repeated roots and has easily identifiable roots. Participants explore various approaches to construct such a problem without resorting to numerical solutions.

Discussion Character

  • Exploratory
  • Technical explanation
  • Debate/contested
  • Mathematical reasoning

Main Points Raised

  • One participant requests a 3x3 generalized eigenvalue problem with easily found roots and no repeated roots.
  • Several participants suggest resources, including video tutorials and online collections, that may contain relevant examples.
  • One participant mentions that constructing a generalized eigenvalue problem typically leads to a regular matrix and a characteristic polynomial with complex roots.
  • Another participant proposes starting with a desired Jordan form and conjugating it to find integer examples.
  • Some participants discuss the distinction between generalized and standard eigenvalue problems, noting that the terminology may not be used correctly in the thread.
  • There is a suggestion to build a matrix backwards by selecting eigenvalues and eigenvectors to compute the transformation matrix.
  • One participant expresses skepticism about the possibility of obtaining closed-form solutions for eigenvalues without numerical methods.
  • Another participant clarifies that the generalized eigenvalue problem involves the determinant equation $$det(A - \lambda B) = 0$$ and mentions the QR algorithm for numerical solutions.
  • Discussion includes considerations of specific physical systems, such as spring and mass relationships, in the context of eigenvalue problems.

Areas of Agreement / Disagreement

Participants express differing opinions on the feasibility of finding a generalized eigenvalue problem with the desired characteristics. Some believe it is not possible without numerical solutions, while others propose various methods to construct such a problem. The discussion remains unresolved regarding the existence of a suitable example.

Contextual Notes

Participants note that without restrictions on values, repeated roots may be unavoidable. The discussion also highlights the complexity of defining a generalized eigenvalue problem and the implications for finding closed-form solutions.

Trying2Learn
Messages
375
Reaction score
57
TL;DR
I need some numbers
Good Morning

Could someone give me some numbers for a Generalized EigenValue problem?

I have lots of examples for a 2 x 2, but would like to teach the solution for a 3x3.

I would prefer NOT to turn to a computer to solve for the characteristic equation, but would like an equation where the roots are
easily found. I would prefer a system that did NOT have repeated roots.

If I must, I suppose I could back engineer such a problem, but perhaps someone knows a source?
 
Physics news on Phys.org
MAthIsPower4U has a collection of videos on many math subjects, each about ten minutes long where he works a specific problem.

http://www.mathispower4u.com/linear-alg.php

I found this video with a 3x3 matrix:



There are a few others on the site in the linear algebra section.
 
jedishrfu said:
MAthIsPower4U has a collection of videos on many math subjects, each about ten minutes long where he works a specific problem.

http://www.mathispower4u.com/linear-alg.php

I found this video with a 3x3 matrix:



There are a few others on the site in the linear algebra section.


That is almost what I want, but it is not "general" eignevalue. I suppose I can work it backwards, but do you know of one for a generalized eigenvalue problem?
 
Check the site, he may well have an example hidden there in the linear algebra section.

Also check the Khan Academy site for similar videos.
 
Trying2Learn said:
That is almost what I want, but it is not "general" eignevalue. I suppose I can work it backwards, but do you know of one for a generalized eigenvalue problem?
If you really want to get a generalized problem, i.e. a generic one, then you will almost always get a regular matrix, and a characteristic polynomial ##(-1)^3x^3+r_2x^2+r_1x+r_0## with three random complex numbers and three different complex roots. Everything else isn't general anymore.
 
  • Like
Likes   Reactions: jedishrfu
To get (integer) examples, you could start with the Jordan form ##J## that you want to end up with, and then conjugate it by an element of ##SL_n(\mathbb{Z}).##
 
  • Like
Likes   Reactions: DaveE
Here's a recent video from Zach Star that might have something useful:



Also as a general reference 3Blue1Brown channel has an Essence of Linear Algebra sequence that gets to the heart of Linear Algebra:



Lastly, Prof Gilbert Strang announced online a "new" way to teach Linear Algebra that he is incorporating into a new book on the subject:

 
  • Like
Likes   Reactions: hutchphd
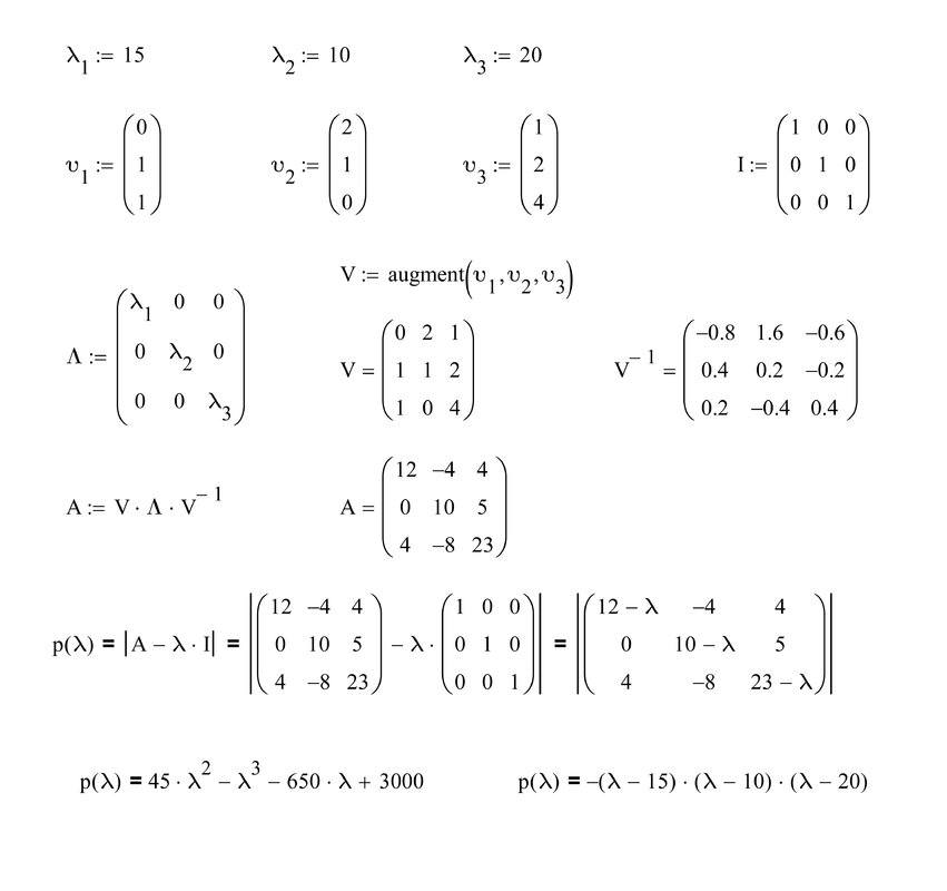
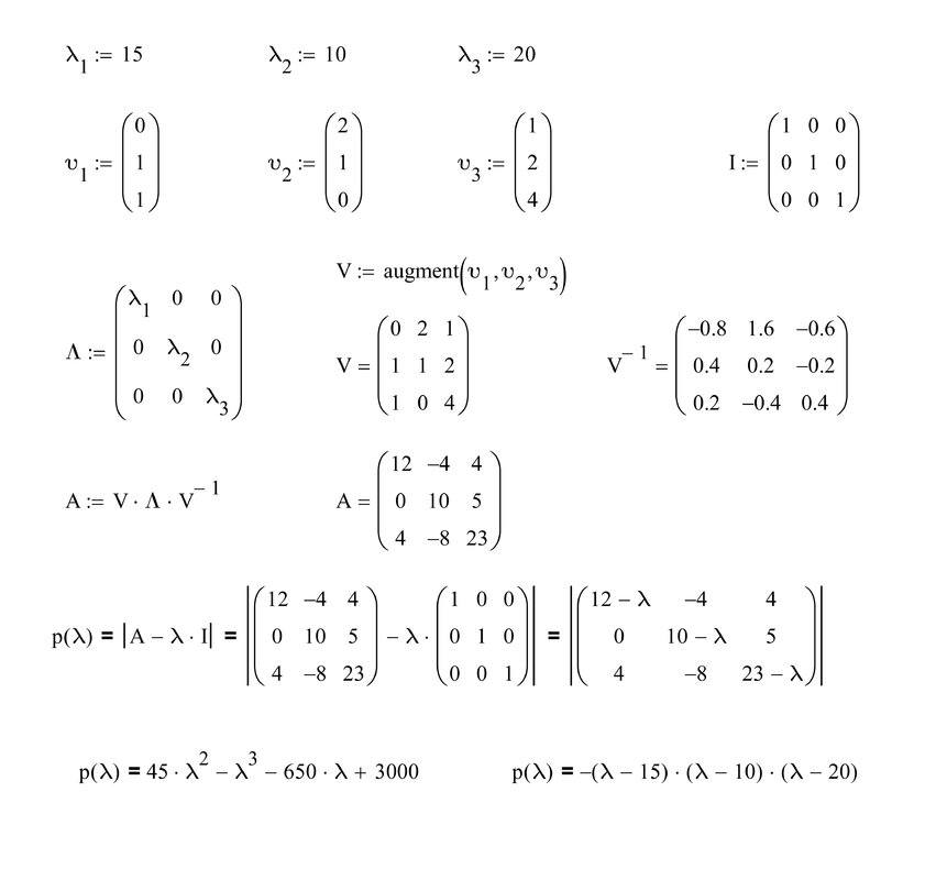
Why not just build it up backwards. Pick some eigenvalues and some eigenvectors and compute the transformation matrix? Like in the Wikipedia post above (post #8). Where A = QΛQ-1.
 
  • Like
Likes   Reactions: jedishrfu
  • #10
Here's one I made with (mostly) random guesses:
3x3_Eigen1.jpg
 
  • #11
DaveE said:
Here's one I made with (mostly) random guesses:
View attachment 267986

(Remember, I wanted the generalized eignevalue problem)
 
  • #12
Thanks everyone, but I do not think it is possible.

Either roots repeat or the numbers do not have closed form.

And to be more informative, I was really trying to find the spring and mass relationships I could use so that I could obtain closed form numbers for the eigenvalues of this problem (where the damp and forcing values were zero).

But I do not think it is possible to get the eigenvalues in such a form without a numerical solution.
 

Attachments

  • E.PNG
    E.PNG
    48.7 KB · Views: 384
Last edited:
  • #13
Trying2Learn said:
Thanks everyone, but I do not think it is possible.

Either roots repeat or the numbers do not have closed form.

And to be more informative, I was really trying to find the spring and mass relationships I could use so that I could obtain closed form numbers for the eigenvalues of this problem (where the damp and forcing values were zero).

But I do not think it is possible to get the eigenvalues in such a form without a numerical solution.
I think you are correct. I guess your definition of generalized appears to preclude numerical values (confusing since your OP said "I need some numbers)?

The problem is you can, in general, not preclude repeated roots if you don't set any restrictions on the values. As I understand your question (which I suspect I don't, actually), it's not so much that it's impossible, it's that there can be no answer because of the way the questions is posed. Something like "Show me a black dog that isn't black", or "Write an equation for the motion of a pendulum that works for all pendulums except the ones that weight 10 grams."

"the numbers do not have closed form" - I have absolutely no idea what this means. "17" is a number which has a closed form, the closed form is "17". BTW, (x2+3) is not a number.
 
  • #14
Is the actual problem to find a 3x3 matrix whose characteristic polynomial has no repeated roots and is easily factorised by inspection, rather than having to be solved by any of the general algorithms for solving cubics analytically?
 
  • #15
pasmith said:
Is the actual problem to find a 3x3 matrix whose characteristic polynomial has no repeated roots and is easily factorised by inspection, rather than having to be solved by any of the general algorithms for solving cubics analytically?
Exactly. I do not mind if the roots evaluate to terms like 1/sqrt(3) or something.

And I need it for a Generalized Eigenvalue (of the type you get with the three mass oscillator)

A x = Lamda B x

NOT: Ax = Lamda x

but I don¨'t think it is possible. So don't worry.
 
  • #16
Ok, so you ARE using generalised eigenvalue problem in the technical sense of the word. However, the responses you got were referring to the standard eigenvalue problem. So the solution to the generalised eigenvalue problem is $$det(A - \lambda B) = 0$$. Finding solutions to that problem involves something called a matrix pencil (https://en.wikipedia.org/wiki/Matrix_pencil). In the most general case where A and B might not be invertible you won't find an expression for lambda, but it can be solved numerically using the QR algorithm.
 
  • #17
madness said:
Ok, so you ARE using generalised eigenvalue problem in the technical sense of the word. However, the responses you got were referring to the standard eigenvalue problem. So the solution to the generalised eigenvalue problem is $$det(A - \lambda B) = 0$$. Finding solutions to that problem involves something called a matrix pencil (https://en.wikipedia.org/wiki/Matrix_pencil). In the most general case where A and B might not be invertible you won't find an expression for lambda, but it can be solved numerically using the QR algorithm.

Wow, the things I continue to learn!
(I realize that may sound sarcastic, but it is not).

Thanks, everyone.

Yes, I know of the QR algorithm, but I was really hoping for a closed form solution.

Too bad for me.

Enjoy the weekend!
 
  • #18
Trying2Learn said:
Exactly. I do not mind if the roots evaluate to terms like 1/sqrt(3) or something.

And I need it for a Generalized Eigenvalue (of the type you get with the three mass oscillator)

A x = Lamda B x

NOT: Ax = Lamda x

but I don¨'t think it is possible. So don't worry.

Is [itex]B[/itex] diagonal in your case, or am I missing something?

Let the spring connecting mass [itex]1 \leq i \leq N[/itex] to mass [itex]i + 1[/itex] have constant [itex]k_{i+1}[/itex]. Then the equation of motion for mass [itex]i[/itex] is [tex] \begin{align*}<br /> m_i \ddot x_i &= k_{i+1} (x_{i+1} - x_i) - k_i (x_i - x_{i-1}) \\ <br /> &= k_{i+1} x_{i+1} - (k_{i+1} + k_i)x_i + k_{i}x_{i-1}<br /> \end{align*}[/tex] and hence [tex] \ddot x_i = \frac{k_{i+1}}{m_i} x_{i+1} - \frac{k_{i+1} + k_i}{m_i}x_i + \frac{k_{i}}{m_i}x_{i-1}[/tex] with the understanding that [itex]k_{N+1}x_{N+1} = k_1x_0 = 0[/itex].

Now if you seek a solution of the form [itex]x_i = X_i \cos(\omega t - \phi)[/itex] then your eigenvalue problem for [itex]\omega[/itex] is [tex] -\omega^2 X_i = \frac{k_{i+1}}{m_i} X_{i+1} - \frac{k_{i+1} + k_i}{m_i}X_i + \frac{k_{i}}{m_i}X_{i-1}[/tex] which is a standard eigenvalue problem.

Now in theory you could work out the coefficients of the polynomial satisfied by [itex]\omega^2[/itex] and set them equal to the coefficients of a polynomial having your desired roots. Since the coefficient of [itex]\omega^{2N}[/itex] is 1 that yields [itex]N[/itex] equations in the [itex]2N[/itex] unknowns [itex]m_i[/itex] and [itex]k_i[/itex], which gives you some freedom in choosing them.
 
  • Like
Likes   Reactions: etotheipi

Similar threads

  • · Replies 8 ·
Replies
8
Views
2K
  • · Replies 1 ·
Replies
1
Views
2K
  • · Replies 3 ·
Replies
3
Views
3K
  • · Replies 2 ·
Replies
2
Views
2K
  • · Replies 7 ·
Replies
7
Views
10K
  • · Replies 1 ·
Replies
1
Views
2K
Replies
7
Views
2K
  • · Replies 1 ·
Replies
1
Views
3K
  • · Replies 4 ·
Replies
4
Views
6K
  • · Replies 5 ·
Replies
5
Views
2K