Single Phase Controlled Rectifier Problem

  • Thread starter Thread starter luiseduardo
  • Start date Start date
  • Tags Tags
    Phase Rectifier
Click For Summary
SUMMARY

The discussion focuses on the analysis of a single-phase controlled rectifier heating system with a strongly inductive characteristic. To achieve a maximum power output of 7500W using a 220V effective supply, the required resistance is calculated to be approximately 6.543 ohms. Additionally, for a power output of 3000W, the firing angle must be set to approximately 95 degrees to maintain effective control over the inductive load. The conversation emphasizes the importance of using average voltage rather than effective voltage in calculations involving constant current in inductive systems.

PREREQUISITES
  • Understanding of single-phase controlled rectifiers
  • Knowledge of inductive loads and their characteristics
  • Familiarity with SCR and TRIAC operation
  • Basic electrical engineering principles, including power calculations
NEXT STEPS
  • Research the operation and characteristics of TRIACs in AC circuits
  • Study the effects of inductance on power factor and phase angle
  • Learn about the implications of using average voltage in power calculations
  • Explore advanced control techniques for inductive heating systems
USEFUL FOR

Electrical engineers, control system designers, and students studying power electronics who are interested in the operation and control of inductive heating systems.

luiseduardo
Messages
29
Reaction score
0
Thread moved from the technical forums, so no Homework Template is shown
Question
Consider a heating system with strongly inductive characteristic and with an electronic control of temperature performed by varying the firing angle of a single-phase controlled bridge.
a) Determine the value of resistance to to ensure a maximum power of 7500W if this system is powered with 220V (effective).
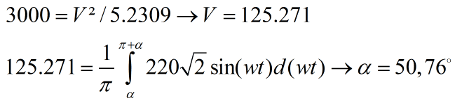
b) Determine the fire angle to a power of 3000W.

My attempt of solution:
a)
If the system is strongly inductive so the current is constant, then we should use average voltage. So, maximum power is when the average voltage is maximum and this is possible when fire angle = 0 degree. Then:
quw8aKp.png

And the resistance is:
VcAStaF.png

b) Using the same idea:
QHUw6Ez.png

The problem is:

Many friends (and maybe the professor) solved this problem on a exam using 220 V as voltage to find the resistance when maximum power, but I don't think this is totally correct because the problem tells us that the system is strongly inductive, so Irms = Iaverage = I constant, then, to find the voltage we should use average voltage and not effective as many other did. So, What do you think ? If I'm incorrect, why ? I'm a bit upset because I studied a lot for this exam and I was confident that the correct was average voltage when constant current.
 

Attachments

  • quw8aKp.png
    quw8aKp.png
    6.8 KB · Views: 556
  • VcAStaF.png
    VcAStaF.png
    2.6 KB · Views: 543
  • QHUw6Ez.png
    QHUw6Ez.png
    5.5 KB · Views: 490
Physics news on Phys.org
We assume that the 220V is AC RMS. We assume that conduction is symmetrical on both polarities of the AC supply.

If an SCR bridge is used the current through the heater will be DC. If it is DC it will be hard to phase control since there will be no zero current to turn-off with the SCRs.

If a TRIAC is used the current will reverse twice per cycle. So the control is with a TRIAC and the current through the load is AC. Now, just how big is the “strongly inductive characteristic”? The power factor will be close to 0.9, and so the inductive component of the impedance XL, will be about 10% of the resistance. you can compute R and L to get say a 0.9 phase angle.

If we ignore the unknown inductance, W = 7500 = V2 / R.
For 100% duty cycle, the resistance required will be R = V2 / 7500 = 6.543 ohm

Energy is the integral of v^2 / R, while the switch is conducting. Looking at the first half cycle we need less than 50% duty.
It will need to turn on at about 95° and conduct until 180°. I leave you to solve for R and XL.
 

Similar threads

  • · Replies 8 ·
Replies
8
Views
8K
  • · Replies 1 ·
Replies
1
Views
2K
  • · Replies 6 ·
Replies
6
Views
4K
Replies
24
Views
5K
  • · Replies 6 ·
Replies
6
Views
3K
  • · Replies 4 ·
Replies
4
Views
2K
  • · Replies 7 ·
Replies
7
Views
23K
  • · Replies 2 ·
Replies
2
Views
6K
  • · Replies 77 ·
3
Replies
77
Views
9K
Replies
3
Views
3K