Sketching A Graph Using Differentiation

Click For Summary
SUMMARY

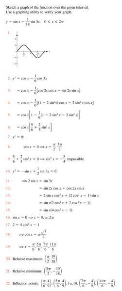
The discussion focuses on the process of sketching a graph using differentiation, specifically addressing a step in the manipulation of trigonometric expressions involving cosine and sine functions. The key confusion arises in the transition from step 4 to step 5, where the participant questions the factoring of cos x and the application of the coefficient 1/6. The correct interpretation involves recognizing how to distribute the factor correctly within the brackets, leading to the expression cos x [ 1 - (1/6)(1 - 2sin² x - 2sin² x) ]. This highlights the importance of careful algebraic manipulation in calculus.

PREREQUISITES
  • Understanding of trigonometric identities, specifically sine and cosine functions.
  • Familiarity with differentiation techniques in calculus.
  • Knowledge of algebraic manipulation and factoring.
  • Basic understanding of graph sketching principles in calculus.
NEXT STEPS
  • Review trigonometric identities and their applications in calculus.
  • Practice differentiation of trigonometric functions using various techniques.
  • Explore algebraic manipulation strategies for simplifying expressions.
  • Learn about graph sketching techniques for functions involving trigonometric components.
USEFUL FOR

Students studying calculus, particularly those focusing on trigonometric functions and graph sketching, as well as educators seeking to clarify differentiation techniques and algebraic manipulation in their teaching.

themadhatter1
Messages
139
Reaction score
0

Homework Statement



attachment.php?attachmentid=28017&stc=1&d=1283735934.jpg


Homework Equations





The Attempt at a Solution



I don't understand how they get from step 4 to step 5. Wouldn't you factor a cos x out of the brackets then have [tex](\cos x)(1-\frac{1}{6})[/tex] to the left of the brackets. Then you can multiply the [tex](1-\frac{1}{6})[/tex] inside the brackets.However that would yield [tex][\frac{5}{6}+\frac{10}{3}\sin^2x][/tex] I don't understand how they are getting 1- (1/6) times the stuff inside the brackets.
 

Attachments

  • se03f01039.jpg
    se03f01039.jpg
    11.7 KB · Views: 491
Last edited:
Physics news on Phys.org
[tex]\cos x - \frac{1}{6}[(1-2\sin^2 x)\cos x - 2\sin^2 x\cos x][/tex]

[tex]= \cos x - \frac{1}{6}[ \cos x (1-2\sin^2 x - 2\sin^2 x) ][/tex]

[tex]= \cos x - \frac{1}{6} \cos x(1-2\sin^2 x - 2\sin^2 x)[/tex]

[tex]= \cos x [ 1 - \frac{1}{6}(1-2\sin^2 x - 2\sin^2 x) ][/tex]
 

Similar threads

  • · Replies 14 ·
Replies
14
Views
3K
  • · Replies 9 ·
Replies
9
Views
2K
Replies
3
Views
2K
  • · Replies 6 ·
Replies
6
Views
2K
Replies
8
Views
2K
Replies
12
Views
2K
Replies
10
Views
2K
  • · Replies 3 ·
Replies
3
Views
2K
  • · Replies 5 ·
Replies
5
Views
3K
  • · Replies 11 ·
Replies
11
Views
2K