Solve the given problem that involves probability

  • Thread starter Thread starter chwala
  • Start date Start date
  • Tags Tags
    Probability
Click For Summary
SUMMARY

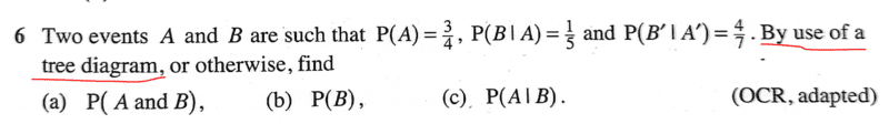
The discussion focuses on solving a probability problem using conditional probability and tree diagrams. The calculations provided include P(A∩B) = 3/20, P(B) = 9/35, and P(A/B) = 7/12. The user also seeks clarification on utilizing tree diagrams for visualizing these probabilities. The relevant equations and steps are clearly outlined, demonstrating a structured approach to solving the problem.

PREREQUISITES
  • Understanding of conditional probability
  • Familiarity with probability tree diagrams
  • Knowledge of basic probability equations
  • Ability to manipulate fractions in probability calculations
NEXT STEPS
  • Study the construction and interpretation of probability tree diagrams
  • Learn about Bayes' theorem and its applications in conditional probability
  • Explore advanced probability concepts such as joint and marginal probabilities
  • Practice solving complex probability problems using real-world scenarios
USEFUL FOR

Students studying probability, educators teaching probability concepts, and anyone looking to enhance their understanding of conditional probability and tree diagrams.

chwala
Gold Member
Messages
2,840
Reaction score
428
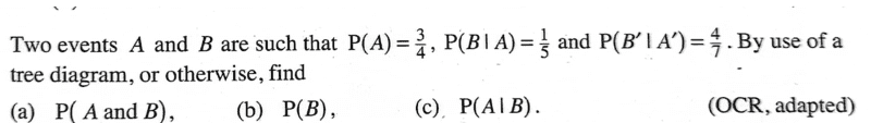
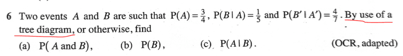
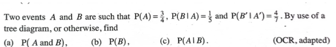
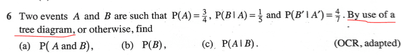
Homework Statement
See attached
Relevant Equations
Probability
1677755033297.png


I would like to know how one can use the tree diagram...hence my post... otherwise, i was able to solve problem as follows,

a. ##P(A∩B)= \dfrac{3}{4} ×\dfrac{1}{5}=\dfrac{3}{20}##

b. ## P(B/A')=\dfrac{P(B)-\dfrac{3}{20}}{P(A')}##

##\dfrac{3}{7}=\dfrac{P(B)-\dfrac{3}{20}}{\dfrac{1}{4}}##

...

##P(B)=\dfrac{9}{35}##

c. ## P(A/B)=\dfrac{3}{20} ×\dfrac{35}{9}=\dfrac{7}{12}##
 

Attachments

  • 1677754984499.png
    1677754984499.png
    12.6 KB · Views: 153
Physics news on Phys.org
chwala said:
Homework Statement:: See attached
Relevant Equations:: Probability

View attachment 323090

I would like to know how one can use the tree diagram...hence my post... otherwise, i was able to solve problem as follows,

a. ##P(A∩B)= \dfrac{3}{4} ×\dfrac{1}{5}=\dfrac{3}{20}##

b. ## P(B/A')=\dfrac{P(B)-\dfrac{3}{20}}{P(A')}##

##\dfrac{3}{7}=\dfrac{P(B)-\dfrac{3}{20}}{\dfrac{1}{4}}##

...

##P(B)=\dfrac{9}{35}##

c. ## P(A/B)=\dfrac{3}{20} ×\dfrac{35}{9}=\dfrac{7}{12}##
See Conditional Probability Tree at https://www.cuemath.com/data/probability-tree-diagram/
 

Similar threads

  • · Replies 6 ·
Replies
6
Views
2K
Replies
8
Views
2K
  • · Replies 8 ·
Replies
8
Views
1K
  • · Replies 7 ·
Replies
7
Views
1K
Replies
3
Views
2K
  • · Replies 3 ·
Replies
3
Views
2K
  • · Replies 2 ·
Replies
2
Views
2K
  • · Replies 2 ·
Replies
2
Views
2K
  • · Replies 4 ·
Replies
4
Views
2K
Replies
7
Views
2K