Solving a Double Integration Problem with Unknown Variables: How to Proceed?

  • Thread starter Thread starter chetzread
  • Start date Start date
  • Tags Tags
    Integration
Click For Summary

Homework Help Overview

The discussion revolves around a double integration problem where the original poster is struggling to express variables x and y in terms of a new variable u. The context involves evaluating an integral that appears to relate to circular geometry.

Discussion Character

  • Exploratory, Assumption checking, Problem interpretation

Approaches and Questions Raised

  • Participants discuss the choice of substitution for u, with some suggesting that a different variable might be more appropriate. There are inquiries about the completeness of the problem statement and the limits of integration. The original poster expresses difficulty in expressing x and y in terms of u and seeks clarification on how to proceed.

Discussion Status

There is an ongoing exploration of the problem with various participants offering hints and suggestions. Some participants have pointed out potential issues with the original poster's approach, while others have encouraged visualizing the integration limits. The discussion reflects a mix of interpretations and attempts to clarify the problem without reaching a consensus.

Contextual Notes

Participants note that the original poster's work may be unclear and that there are constraints related to the integration limits and the geometric interpretation of the region of integration. There is also mention of the need to understand the implications of changing the order of integration.

chetzread
Messages
798
Reaction score
1

Homework Statement


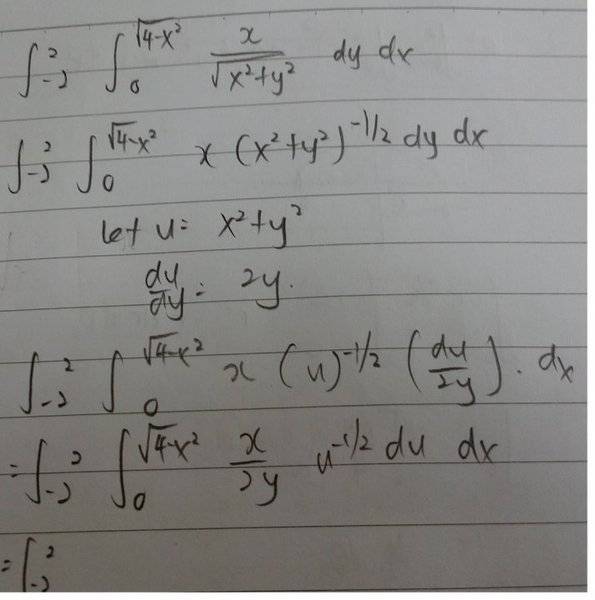
in this problem , i couldn't express all the x any y in terms of u( refer to the circled part ) ... so , i have problem to proceed my subsequent steps ...

Homework Equations

The Attempt at a Solution


i let u = (x^2) + (y^2) ... [/B]
 

Attachments

  • IMG_20160910_151722.jpg
    IMG_20160910_151722.jpg
    31.1 KB · Views: 460
Physics news on Phys.org
1. Is this the full problem statement ?
Use the template. I can hardly read your -2 lower bound.
Your u is a somewhat unfortunate choice. This whole thing reeks like something with a circle, so don't pick r^2 but pick r.
 
BvU said:
1. Is this the full problem statement ?
Use the template. I can hardly read your -2 lower bound.
Your u is a somewhat unfortunate choice. This whole thing reeks like something with a circle, so don't pick r^2 but pick r.
what do you mean ? do you mean i pick the u wrongly ? Then , what should be the correct one ?
 
What is the problem statement ?
 
BvU said:
What is the problem statement ?
This
 

Attachments

  • o0p.PNG
    o0p.PNG
    21.6 KB · Views: 478
That is not a problem statement. But I suppose you have to evaluate the integral ?

chetzread said:
what do you mean ? do you mean i pick the u wrongly ? Then , what should be the correct one ?
I said unfortunate and you can read in post #2 what my suggestion for a better choice would be.
 
Let me give you another hint: draw a picture of the integration limits in the x-y plane
 
chetzread said:

Homework Statement


in this problem , i couldn't express all the x any y in terms of u( refer to the circled part ) ... so , i have problem to proceed my subsequent steps ...

Homework Equations

The Attempt at a Solution


i let u = (x^2) + (y^2) ... [/B]

Just so you know: most helpers will not bother to look at posted images like you have supplied. If you genuinely want help you should take the trouble to actually type out your work. I suggest that you read the message "Guidelines for Students and Helpers" by Vela, which is pinned to the start of this Forum.
 
  • Like
Likes   Reactions: BvU
Ray is right (of course, he always is), but I grant you that typesetting something like $$
\int\limits_{-2}^{\ 2} \ \int\limits_0^{\ \ \sqrt{4-x^2}} {x\over\sqrt{x^2+y^2} } \ dy \;dx $$ isn't for the faint-hearted :rolleyes: (*)

Now, how about my suggestion in post #7 ?That ring a bell ?

(*) Right-click the expression and pick Show math as ##\ \ TeX## commands
 
  • #10
BvU said:
Ray is right (of course, he always is), but I grant you that typesetting something like $$
\int\limits_{-2}^{\ 2} \ \int\limits_0^{\ \ \sqrt{4-x^2}} {x\over\sqrt{x^2+y^2} } \ dy \;dx $$ isn't for the faint-hearted :rolleyes: (*)

Now, how about my suggestion in post #7 ?That ring a bell ?

(*) Right-click the expression and pick Show math as ##\ \ TeX## commands

This can be done fairly easily also in plain text:
int_{x=-2..2} int_{y=0..sqrt(4-x^2)} x /sqrt(x^2+y^2) dy dx.
That is perfectly readable, although, of course, not as nice as LaTeX. One can even use the formula menu ribbon at the top of the input panel to write it as
∫_{-2..2} ∫_{0..√(4-x2)} x/√(x2+y2) dy dx
 
  • #11
or can I integrate in dx dy instead of dydx ?
 
  • #12
chetzread said:
or can I integrate in dx dy instead of dydx ?
You can change the order of integration in an iterated integral. Of course, this means that the limits of integration will have to change. And this means that you have to understand the geometric region over which integration is to be performed.
 
  • #13
Mark44 said:
You can change the order of integration in an iterated integral. Of course, this means that the limits of integration will have to change. And this means that you have to understand the geometric region over which integration is to be performed.
yes , i know the shape the graph , but it looks like i can't interchange the order of integration... I can't express x in terms of y ..
Well , i keep the dy/dx... Back to the working in post # 1, I'm stucked at couldn't express all the x any y in terms of u( refer to the circled part ) ...
how to continue ? Or is there anything wrong in my working ?
 
  • #14
chetzread said:
yes , i know the shape the graph
What graph? You need to understand the shape of the region of integration. I'm not talking about the integrand ##\frac x {\sqrt{x^2 + y^2}}##, if that's what you meant.
chetzread said:
, but it looks like i can't interchange the order of integration... I can't express x in terms of y ..
You might need to split the integral into two integrals.
chetzread said:
Well , i keep the dy/dx... Back to the working in post # 1, I'm stucked at couldn't express all the x any y in terms of u( refer to the circled part ) ...
how to continue ? Or is there anything wrong in my working ?
Your work is a mess. On the next to last line your integrand involves x, y, and u.

I haven't worked the problem, but switching the order of integration definitely seems like the way to go.
 
  • #15
Mark44 said:
What graph? You need to understand the shape of the region of integration. I'm not talking about the integrand ##\frac x {\sqrt{x^2 + y^2}}##, if that's what you meant.
You might need to split the integral into two integrals.

Your work is a mess. On the next to last line your integrand involves x, y, and u.

I haven't worked the problem, but switching the order of integration definitely seems like the way to go.
i know and understand the shape of the region of integration...
But i still can't proceed although trying many times...Can you show your working so that i can compare mine and yours ...thus , i can know which part i wrong
 
  • #16
chetzread said:
i know and understand the shape of the region of integration
Reassure us and post a picture (this time a photo is acceptable; we must compromise now and then :smile: ).

chetzread said:
...thus , i can know which part i wrong
Showing the right way doesn't help in this. But I can tell you where you go wrong ( as was already mentioned:
Mark44 said:
On the next to last line your integrand involves x, y, and u
)

If you want to substitute an integration variable, in this case replace ##dy## by ##du##, you need to
  1. replace the bound of the variable to be substituted by the bound of the new variable: if ##y## runs from ##0## to ##\ \sqrt {4-x^2}\ ##, then ##u## runs from ##0## to ...
  2. eliminate ##y## completely from the expression, meaning you would end up with something like $$
    \int\limits_{-2}^{\ 2} \ \int\limits_0^{\ \ ...} {x\over\sqrt{u}} \ {1\over 2 \sqrt{u-x^2}} \ du \;dx
    $$
Which is equivalent to working from something that looks difficult to something that's nearly impossible.

Does your textbook in the preceding chapter have examples that bear some resemblance to the integral you are trying to evaluate in this thread ? In particular: an example or a discussion involving polar coordinates ?
 
  • #17
BvU said:
Reassure us and post a picture (this time a photo is acceptable; we must compromise now and then :smile: ).

Showing the right way doesn't help in this. But I can tell you where you go wrong ( as was already mentioned:

)

If you want to substitute an integration variable, in this case replace ##dy## by ##du##, you need to
  1. replace the bound of the variable to be substituted by the bound of the new variable: if ##y## runs from ##0## to ##\ \sqrt {4-x^2}\ ##, then ##u## runs from ##0## to ...
  2. eliminate ##y## completely from the expression, meaning you would end up with something like $$
    \int\limits_{-2}^{\ 2} \ \int\limits_0^{\ \ ...} {x\over\sqrt{u}} \ {1\over 2 \sqrt{u-x^2}} \ du \;dx
    $$
Which is equivalent to working from something that looks difficult to something that's nearly impossible.

Does your textbook in the preceding chapter have examples that bear some resemblance to the integral you are trying to evaluate in this thread ? In particular: an example or a discussion involving polar coordinates ?

Here
 

Attachments

  • IMG_20160911_185716.jpg
    IMG_20160911_185716.jpg
    27.1 KB · Views: 391
  • #18
Thank you for the quick reply. That is step zero.
Next step there: draw a point ##x,y## and guess what the integrand represents in that picture ?

Re next paragraphs in post #16 :
Do you now understand the problems were with your next step ?
Do you feel convinced that your substitution ##u## does not make things easier ?

Did you bother to follow up on my suggestion in post #2 and the reminder in post #9 ?

There were more questions in the last paragraph in post #16.
 
  • #19
BvU said:
Reassure us and post a picture (this time a photo is acceptable; we must compromise now and then :smile: ).

Showing the right way doesn't help in this. But I can tell you where you go wrong ( as was already mentioned:

)

If you want to substitute an integration variable, in this case replace ##dy## by ##du##, you need to
  1. replace the bound of the variable to be substituted by the bound of the new variable: if ##y## runs from ##0## to ##\ \sqrt {4-x^2}\ ##, then ##u## runs from ##0## to ...
  2. eliminate ##y## completely from the expression, meaning you would end up with something like $$
    \int\limits_{-2}^{\ 2} \ \int\limits_0^{\ \ ...} {x\over\sqrt{u}} \ {1\over 2 \sqrt{u-x^2}} \ du \;dx
    $$
Which is equivalent to working from something that looks difficult to something that's nearly impossible.

Does your textbook in the preceding chapter have examples that bear some resemblance to the integral you are trying to evaluate in this thread ? In particular: an example or a discussion involving polar coordinates ?
No, so there's no solution for this problem?
 
  • #20
There is an easy solution, don't worry.
 
  • #21
BvU said:
Do you feel convinced that your substitution uuu does not make things easier ?
yes
BvU said:
Does your textbook in the preceding chapter have examples that bear some resemblance to the integral you are trying to evaluate in this thread ? In particular: an example or a discussion involving polar coordinates ?
BvU said:
Next step there: draw a point x,yx,yx,y and guess what the integrand represents in that picture ?
what do you mean ? do you ask me to draw out
\int\limits_{-2}^{\ 2} \ \int\limits_0^{\ \ \sqrt{4-x^2}} {x\over\sqrt{x^2+y^2} } \ dy \;dx ?
 
  • #22
chetzread said:
what do you mean ? do you ask me to draw out
$$\int\limits_{-2}^{\ 2} \ \int\limits_0^{\ \ \sqrt{4-x^2}} {x\over\sqrt{x^2+y^2} } \ dy \;dx $$ ?

No/Yes. The integrand is not the integral. The integrand is $$x\over \sqrt{x^2 + y^2} $$ Take a point ##x,y##; what is ##x\over \sqrt{x^2 + y^2} ## ?
 
  • #23
BvU said:
No/Yes. The integrand is not the integral. The integrand is $$x\over \sqrt{x^2 + y^2} $$ Take a point ##x,y##; what is ##x\over \sqrt{x^2 + y^2} ## ?
the intergrand has nothing to do with the limit , right ?
 
  • #24
Right. Did you draw a point ##\ x,y \ ## and consider what ##\
x\over \sqrt{x^2 + y^2} ## represents ?
 
  • #25
BvU said:
Right. Did you draw a point ##\ x,y \ ## and consider what ##\
x\over \sqrt{x^2 + y^2} ## represents ?
I really hv no idea what it represent...
 
  • #26
Pity you don't post your drawing ...
 
  • #27
do u ask me to draw out ##x\over \sqrt{x^2 + y^2} ## ?
If so , i really dun know how to draw it out ...
 
Last edited by a moderator:
  • #28
BvU said:
Pity you don't post your drawing ...
this one ?
 

Attachments

  • 374.PNG
    374.PNG
    38.3 KB · Views: 413
  • #29
No, this one:

BvU said:
draw a point ##\ x,y \ ## and consider what ##\
x\over \sqrt{x^2 + y^2} ## represents

Since words fail me, I will try it with a picture:
upload_2016-9-12_12-24-12.png


[edit] your picture looks cute, but why do you set the ranges to -50,50 instead of x -2,2 and y 0,2 ?
 
Last edited:
  • #30
BvU said:
No, this one:
Since words fail me, I will try it with a picture:
View attachment 105789

[edit] your picture looks cute, but wht do you set the ranges to -50,50 instead of x -2,2 and y 0,2 ?
So, how to proceed from ur diagram?
 

Similar threads

  • · Replies 1 ·
Replies
1
Views
2K
  • · Replies 3 ·
Replies
3
Views
2K
Replies
2
Views
2K
Replies
10
Views
2K
  • · Replies 14 ·
Replies
14
Views
2K
  • · Replies 4 ·
Replies
4
Views
2K
Replies
3
Views
2K
  • · Replies 7 ·
Replies
7
Views
2K
Replies
5
Views
2K
Replies
4
Views
2K