Solving a second-order differential equation

Click For Summary

Homework Help Overview

The discussion revolves around solving a second-order differential equation of the form y'' - ((y')^2)/y + (2(y')^2)/y^2 - ((y')^4)/y^4 = 0, with initial conditions y(0) = 1 and y'(0) = 0. Participants express uncertainty about how to approach this type of ordinary differential equation (ODE) and share various insights and methods they have considered.

Discussion Character

  • Exploratory, Assumption checking, Problem interpretation

Approaches and Questions Raised

  • Participants discuss the potential use of an ansatz y = e^(kt) and its implications for the initial conditions. Some suggest exploring the reduction of the equation to a first-order form by substituting y' = p, while others reflect on the nature of the equation and its non-linear characteristics.

Discussion Status

The discussion is ongoing, with various participants offering hints and methods for approaching the problem, such as numerical solutions and algebraic manipulations. There is a recognition of the complexity of the equation, and some participants are exploring different interpretations and potential solutions without reaching a consensus.

Contextual Notes

Some participants note the initial conditions and their implications for the solutions, while others mention the challenges posed by the non-linear nature of the equation. There is also mention of a potential typo in the original equation, which adds to the complexity of the discussion.

docnet
Messages
796
Reaction score
487
Homework Statement
solve the equation with y = 1, y' = 0 at t = 0
Relevant Equations
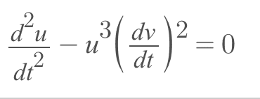
y'' - ((y')^2)/y + (2(y')^2)/y^2 - ((y')^4)/y^4 = 0
Hi all, if anyone could help me solve this 2nd order differential equation, it would mean a lot.

Problem:

Solve the equation with y = 1, y' = 0 at t = 0

y'' - ((y')^2)/y + (2(y')^2)/y^2 - ((y')^4)/y^4 = 0

I have never solved an ODE of this kind before and I am not sure where to start. Wolfram and Symbolab calculators will not give an answer.

Thank you.
 
  • Like
Likes   Reactions: Delta2
Physics news on Phys.org
Not sure if this will be helpful but check if the ansatz $$y=e^{kt}$$ is a solution for the proper values of ##k##.
EDIT: NVM I was wrong, the ansatz doesn't satisfy y'(0)=0, unless we have ##k=0## but then the solution is trivial ##y=1##. That is ##y(t)=1## is one solution for sure (you can easily verify it satisfies the differential equation given).
It would be interesting to see if for the moment we forget the initial condition y'(0)=0 and see what this ansatz gives if it is plugged to the ODE.
The idea behind this ansatz is that it satisfies $$(\frac{y'}{y})^n=k^n$$ and also that $$y''=k^2y$$ so the ODE might be turned into an algebraic equation for k.
 
Last edited:
  • Like
Likes   Reactions: docnet
I'd say that the only way to solve a differential equation, at least the only way that is commonly taught, is to know the answer! Or at least to know the sort of answer for things like it. And then with the particular case you hammer it into the shape that fits (and don't forget to check the answer which is very simple to do but often forgotten).

And then there is the Polya principle "have you ever seen anything like it?". For instance there is a trick that comes up often in dynamics - what is the derivative of (yy')? I haven't got the answer but I would play around with that, you do have to play around a bit.
 
Delta2 said:
then the solution is trivial y=1.
Quite so. What makes you think there are others?
 
  • Like
Likes   Reactions: docnet
haruspex said:
Quite so. What makes you think there are others?
I don't know to be honest at start I thought for some reason it was linear (which isn't of course) and we know linears of order n have at least n linearly independent solutions but it isn't linear so i don't know

If we relax the initial conditions then I think one solution is $$y=ce^{\pm\sqrt{2}t}$$
 
  • Like
Likes   Reactions: docnet
docnet said:
and I am not sure where to start. Wolfram and Symbolab calculators will not give an answer.

Thank you.

Equations of the form ##f(y,y',y'')=0## can be reduced to a first-order in y and y' by letting ##y'=p## so that ## y''=p\frac{dp}{dy}##. Maybe see if this helps. Also look up "independent variable missing" in DE text for some additional info. Wouldn't hurt too to just solve it numerically via NDSolve in Mathematica to at least see what it looks like.
 
  • Informative
  • Like
Likes   Reactions: docnet and Delta2
At t=0, y=1 and y'=0. Plugging into the equation also gives that y''=0 at t=0. If y'(0)=0 and y''(0)=0, then what does that tell you?
 
  • Like
Likes   Reactions: haruspex, docnet and aheight
phyzguy said:
At t=0, y=1 and y'=0. Plugging into the equation also gives that y''=0 at t=0. If y'(0)=0 and y''(0)=0, then what does that tell you?
Yes, my hint in post #4 was probably too subtle.
 
  • Like
Likes   Reactions: jim mcnamara, docnet and phyzguy
I am sorry all, my original post included a bad typo in the equation. I am not experienced at typing equations into the computer.

Here is the entire question and my work leading up to the differential equation in part (f.) The professor warned us ahead of time the ODE for the geodesic may be difficult.

Screen Shot 2020-12-21 at 5.05.21 PM.png

Screen Shot 2020-12-21 at 5.05.26 PM.png

Screen Shot 2020-12-21 at 5.12.04 PM.png

Screen Shot 2020-12-21 at 5.12.15 PM.png


I believe the last line is the correct ODE to solve for, which I was unable to solve using any methods I was familiar with. Looking at the plot of the geodesic, it looks like the V component asymptotically approaches 1 and -1 at infinite and -infinite t. the U component only exists for > 0 and is also symmetric around t = 0. Does anyone know of any similar ODE examples to learn from?
 
Last edited:
  • Like
Likes   Reactions: Delta2
  • #10
I think the best way to proceed is to use the hint from @aheight in post #6, and replace u'' with u' du'/du. This at least converts the equation to a first order equation.
 
  • Like
Likes   Reactions: docnet
  • #11
phyzguy said:
I think the best way to proceed is to use the hint from @aheight in post #6, and replace u'' with u' du'/du. This at least converts the equation to a first order equation.
... and beyond that, u'=u cos(θ) looks useful.
 
  • Like
Likes   Reactions: docnet
  • #12
haruspex said:
... and beyond that, u'=u cos(θ) looks useful.

Hm... I tried solving the expression u' = u cos(Θ) and obtained u = C exp [sin(Θ) ] which doesn't seem to correspond to a solution for our problem.
 
Last edited:
  • #13
docnet said:
Hm... I tried solving the expression u' = u cos(Θ) and obtained u = C exp [sin(Θ) ] which doesn't seem to correspond to a solution for our problem.
No, I mean after replacing u'' with u' du'/du, substitute for u' using that relationship to get an ODE in x and θ.
 
  • Like
Likes   Reactions: docnet
  • #14
After doing the substitutions we ended up with the following equation
Screen Shot 2020-12-21 at 9.55.32 PM.png


where t = θ and u = y.

The 1st order ODE could not be solved by using Symbolab. Is there a mistake??
 
Last edited:
  • #15
docnet said:
So we substitute u' = ucosΘ

and substitute u = (1/2)u2cosΘ obtained by integrating u'

and substitute du'/du = cosΘ obtained by differentiating u'

and ended up with the following oth order equation that cannot be solved for u.

https://www.physicsforums.com/attachments/274852

Should we substitute u' = ucosΘ and leave u and du'/du alone?

edit: the expression u = (1/2)u2cosΘ does not make any sense. I'll spend some time before posting a followup.
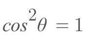
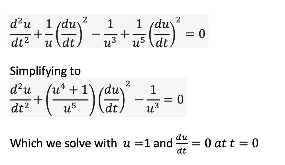
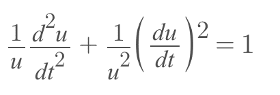
You have ##\ddot u=\frac{\dot u^2}u+\frac 1{u^2}(1-\frac{\dot u}u)^2##.
Writing ##x=u, y=\dot u, y'=\frac{dy}{dx}, \ddot u= \frac d{dt}y=\frac d{du}y\frac{du}{dt}=yy'##:
##x^2yy'=xy^2+(1-\frac{y^2}{x^2})^2##
If all that looks right to you, substitute ##y=x\cos(\theta)## and see what simplifies.
 
  • Like
Likes   Reactions: docnet
  • #16
haruspex said:
You have ##\ddot u=\frac{\dot u^2}u+\frac 1{u^2}(1-\frac{\dot u}u)^2##.
Writing ##x=u, y=\dot u, y'=\frac{dy}{dx}, \ddot u= \frac d{dt}y=\frac d{du}y\frac{du}{dt}=yy'##:
##x^2yy'=xy^2+(1-\frac{y^2}{x^2})^2##
If all that looks right to you, substitute ##y=x\cos(\theta)## and see what simplifies.

So we have
Screen Shot 2020-12-21 at 11.13.29 PM.png
which simplifies to
Screen Shot 2020-12-21 at 11.15.38 PM.png


then
Screen Shot 2020-12-21 at 11.16.01 PM.png


which gives y = x in our substitution

and

Screen Shot 2020-12-21 at 11.21.08 PM.png


with the solution

Screen Shot 2020-12-21 at 11.21.35 PM.png

and

Screen Shot 2020-12-21 at 11.23.02 PM.png


with the solution
Screen Shot 2020-12-21 at 11.23.10 PM.png


with c1= 1 and c = 0.

May I continue solving the next part of the problem?
 
  • #17
  • Like
Likes   Reactions: docnet
  • #18
haruspex said:
No, θ is a variable, so what does y' become?

Differentiating y with respect to x gives us y'=cosθ which gives

View attachment 274854

The first two terms cancel and we are left with the equation in θ as before.

when we differentiate y with respect to theta we have y' = - xsinθ which gives us an equation which is difficult to solve for x or θ.

We could differentiate with respect to x and theta using the chain rule, and it results in another equation which I was unable to solve for x or θ.
 
Last edited:
  • Like
Likes   Reactions: Delta2
  • #19
docnet said:
Differentiating y with respect to x gives us y'=cosθ which gives
No it doesn’t. θ is a variable, as in θ=θ(x).
 
  • Like
Likes   Reactions: docnet
  • #20
I'm getting

Screen Shot 2020-12-22 at 5.44.41 PM.png


which simplies to
Screen Shot 2020-12-22 at 5.47.33 PM.png


whose solution is Θ(x) = 0

May I move onto the next part?
 
Last edited:
  • #21
docnet said:
You have made a mistake in expanding ##(1-\frac{y^2}{x^2})^2##.
 
  • Like
Likes   Reactions: docnet
  • #22
haruspex said:
You have made a mistake in expanding (1−y2x2)2.

Doh! yes I did, and I just fixed my mistake.

It finally comes out to

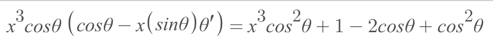
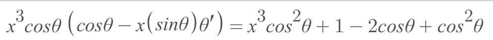
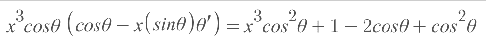
Screen Shot 2020-12-22 at 6.30.05 PM.png

whose solutions are

Screen Shot 2020-12-22 at 6.26.23 PM.png


where y(t) has been replaced with Θ(x) and t with x.
 
  • #23
docnet said:
Doh! yes I did, and I just fixed my mistake.

It finally comes out to

View attachment 274923
Which can be simplified to ##x^4\sin(\theta)\cos(\theta)+\sin^4(\theta)=0##, hence ##x^4\cos(\theta)+\sin^3(\theta)=0##, unless sin() is 0.
 
  • Like
Likes   Reactions: docnet
  • #24
docnet said:
whose solutions are

View attachment 274922

where y(t) has been replaced with Θ(x) and t with x.
Defining a different y from what we had earlier is confusing.
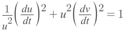
At t=0, u=x=1, ##y=\dot u=0##, ##\cos(\theta)=0, |\csc(\theta)|=1##.

I get ##(\dot u)^2=\frac{2u^5-2u^2}{5u^3-2}##, leading to a nasty-looking integral.
 
Last edited:
  • Like
Likes   Reactions: docnet
  • #25
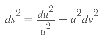
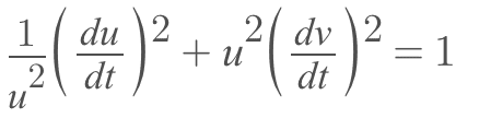
Is anyone familiar with the surface corresponding to our metric

Screen Shot 2020-12-28 at 2.34.25 PM.png


?
It could give us an idea of what the geodesic is.

It looks like the surface stretches the du vector to infinity at u = 0 and shortens the dv vector to 0 at u = 0.
 
  • #26
Dear all,

There is another error in our differential equation.

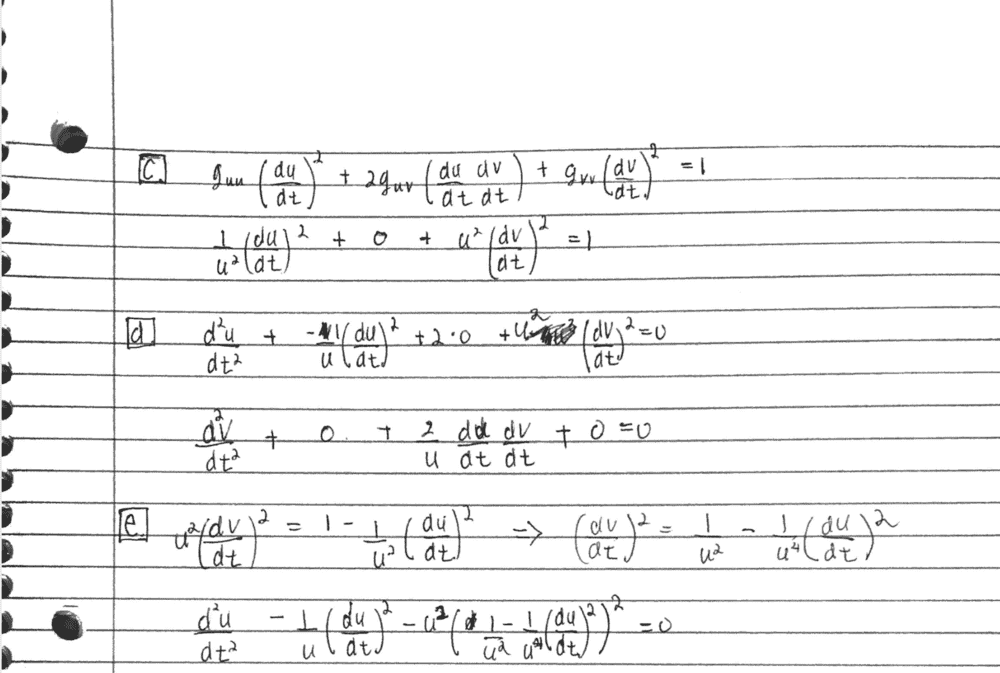
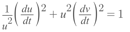
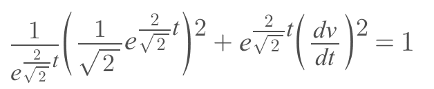
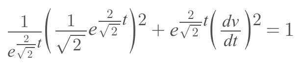
Starting over from part e) we solve the following equation for (dv/dt)2.
Screen Shot 2021-01-05 at 8.56.35 PM.png


giving
Screen Shot 2021-01-05 at 9.00.01 PM.png


and substitute it in the following equation
Screen Shot 2021-01-05 at 8.55.34 PM.png


giving
Screen Shot 2021-01-05 at 9.02.59 PM.png


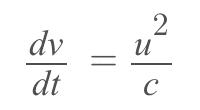
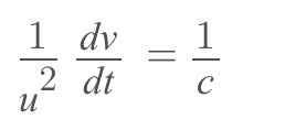
Which offers no clear way to solve. We examine the following expression from part d).
Screen Shot 2021-01-05 at 8.58.25 PM.png


which makes
Screen Shot 2021-01-05 at 9.32.04 PM.png
which implies
Screen Shot 2021-01-05 at 9.33.10 PM.png
for some constant c. solving,
Screen Shot 2021-01-05 at 9.33.46 PM.png
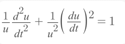
substitute into the first equation to get
Screen Shot 2021-01-05 at 9.37.44 PM.png


which makes

Screen Shot 2021-01-05 at 9.44.39 PM.png


I think this way is not easy.
 
Last edited:
  • #27
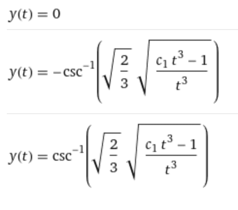
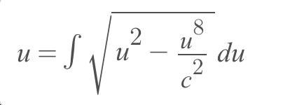
The expression

Screen Shot 2021-01-05 at 10.03.43 PM.png


has the solution

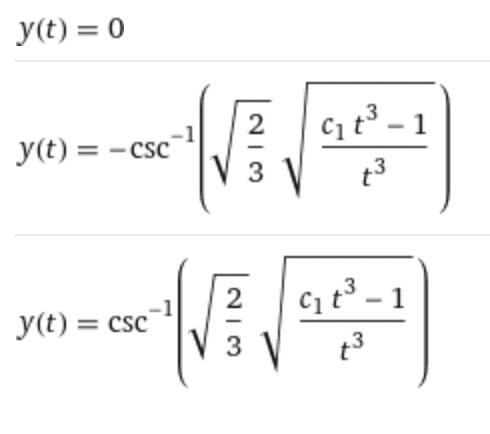
Screen Shot 2021-01-05 at 10.07.42 PM.png


and

Screen Shot 2021-01-05 at 10.11.35 PM.png
 
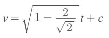
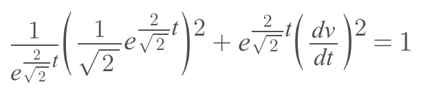
  • #28
For the v component of the geodesic, we plug in
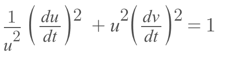
Screen Shot 2021-01-05 at 10.07.42 PM.png


into the unit speed equation
Screen Shot 2021-01-05 at 10.22.15 PM.png


giving
Screen Shot 2021-01-05 at 10.19.27 PM.png


and
Screen Shot 2021-01-05 at 10.20.36 PM.png


We then integrate to give
Screen Shot 2021-01-05 at 10.20.45 PM.png


and
Screen Shot 2021-01-05 at 10.25.52 PM.png


which is incorrect judging from the following plot in the uv plane

Screen Shot 2021-01-05 at 10.37.18 PM.png


but I think we are getting closer to the correct solution.
 
Last edited:
  • #30
What course is this? Differential geometry?
 

Similar threads

Replies
3
Views
2K
Replies
7
Views
2K
Replies
7
Views
2K
  • · Replies 4 ·
Replies
4
Views
2K
  • · Replies 27 ·
Replies
27
Views
2K
  • · Replies 12 ·
Replies
12
Views
2K
  • · Replies 4 ·
Replies
4
Views
2K
  • · Replies 10 ·
Replies
10
Views
2K
Replies
3
Views
2K
Replies
2
Views
1K