Special relativity and Lorentz Transformation Exercise

Click For Summary

Homework Help Overview

The discussion revolves around a problem related to special relativity and Lorentz transformations, originating from a first-semester university course. The scenario involves a rocket moving with a certain speed in relation to two reference frames, S and S', and participants are tasked with calculating specific ratios of velocities and the time of return to the origin in one frame.

Discussion Character

  • Exploratory, Assumption checking, Problem interpretation

Approaches and Questions Raised

  • Participants discuss the definitions of the reference frames S and S', with some questioning which frame represents the rest frame of the rocket. There are suggestions to approach the problem using non-relativistic mechanics first before applying relativistic concepts. Some participants express confusion about the application of time dilation and length contraction, while others propose writing down the Lorentz transformations to clarify the relationships between events.

Discussion Status

The discussion is ongoing, with various participants sharing their attempts and insights. Some have provided hints and suggestions for approaching the problem, while others have expressed difficulties in applying the correct equations. There is no explicit consensus on the best approach yet, but several productive lines of reasoning have been explored.

Contextual Notes

Participants note that the problem may involve implicit coordinates that are not fully defined in the original post, which could affect the ability to apply certain formulas correctly. There is also mention of homework rules that guide the nature of the assistance provided in the forum.

R3ap3r42
Messages
30
Reaction score
3
Misplaced Homework Thread -- Moved from the Technical Forums
Summary:: Special relativity and Lorentz Transformations - I got this problem from a first-semester course at university. I have been struggling for a few days and decided to get some help.

A rocket sets out from x = x' = 0 at t = t' = 0 and moves with speed u in the negative x'-direction, as measured in S'.
After 1 year has elapsed in S', the rocket turns around.
According to observers in S, the rocket turns around at x = −1/5 light-year and it returns to the origin in S' at x = 4 light-years.

i) Calculate v/c.

ii) Calculate u/c.

iii) At what time in S does the rocket return to the origin in S'?
 
Physics news on Phys.org
Please show your working. We can help you with your homework but we're not going to do it for you. You also need to state what are S and v, since you haven't defined those.
 
Hi there,
This is not exactly homework, it is just a hobby for me.
I am a software engineer who enjoys doing physics for fun...

I got stuck pretty much at the start. I tried a few things but they all seem to get to a dead-end.

1642692812909.png

S is the stationary frame and S' is the one moving at v in relation to S.
 
Last edited:
R3ap3r42 said:
I got stuck pretty much at the start. I tried a few things but they all seem to get to a dead-end.
Welcome to PF. All schoolwork-type questions go in the Homework Help forums, per the PF rules.

I tried to enhance your picture, but no luck so far. Could you please take a better picture or scan your work and try again? Thank you.
 
Done. Let me know if it is still not clear.
 
R3ap3r42 said:
Summary:: Special relativity and Lorentz Transformations - I got this problem from a first-semester course at university. I have been struggling for a few days and decided to get some help.

A rocket sets out from x = x' = 0 at t = t' = 0 and moves with speed u in the negative x'-direction, as measured in S'.
After 1 year has elapsed in S', the rocket turns around.
According to observers in S, the rocket turns around at x = −1/5 light-year and it returns to the origin in S' at x = 4 light-years.

i) Calculate v/c.

ii) Calculate u/c.

iii) At what time in S does the rocket return to the origin in S'?
I suggest doing this problem using non-relativistic mechanics first. Then, if you are comfortable doing that, try the relativistic version.
 
Are you sure about those S and S primes? Which one is the rest frame of the rocket?
 
PeroK said:
I suggest doing this problem using non-relativistic mechanics first. Then, if you are comfortable doing that, try the relativistic version.
PS I had a look at this. It's quite tricky. I did it non-relativistically first to get a grip on what was happening kinematically. That's important, I think, to really understand what's going on before you start.

The main solution used the Lorentz Transformations. The trick is choosing which transformation to use first. If you write them all down, then one is simpler than the others.

I also calculated the relativistic speeds of the rocket in the S frame and double-checked the answer that way.
 
Chestermiller said:
Are you sure about those S and S primes? Which way me is the rest frame of the rocket?
##u## in the problem is the speed of the rocket (both ways) in the S' frame. Perhaps it should have been ##u'##. The speed of the rocket in the S frame is different before and after the turnaround.
 
  • #10
Chestermiller said:
Are you sure about those S and S primes? Which one is the rest frame of the rocket?
Yes, this is an exact extract from Manchester University First Semester Physics for the 2019 exam.
 
  • #11
R3ap3r42 said:
Yes, this is an exact extract from Manchester University First Semester Physics for the 2019 exam.
As above, try writing down all four Lorentz Transformations. I.e. we have two events: ##E_1## is the turnaround and ##E_2## is when the rocket gets back to the ##S'## spatial origin. We have the LT and inverse LT of both of these. I wrote them all down first.

Not the easiest problem I've ever seen.
 
  • #12
I'm still struggling to read that.

There's a fairly simple recipe for solving problems of this nature.
  1. Do not use length contraction or time dilation. They are special case formulae and easy to misapply where they are inappropriate.
  2. Write down the coordinates of any events of interest in either frame - typically either ##(x,t)## or ##(x',t')##, but actually any two of the four will do.
  3. Apply the Lorentz transforms to get the coordinates in the frame you don't have them.
  4. Decide which frame you want to be working into get the answer requested. Use coordinate differences in that frame
Looking at the problem statement, it looks like you don't actually have all of the coordinates you'll need - a lot of them are implied by things like the fact that ##x=4## when the rocket reaches ##x'=0##. So the first step, I think, is to think about writing down the coordinates of events you do know and seeing how you can go about filling in the blanks. A table like this might help:$$\begin{array}{|l|c|c|c|c|}
\hline
\mathrm{Event}&x / \mathrm{ly}&t/ \mathrm{years}&x'/ \mathrm{ly}&t' / \mathrm{years}\\
\hline
\mathrm{Rocket\ leaves}&0&0&0&0\\
\mathrm{Rocket\ turns\ around}&-1/5&&&1\\
\mathrm{Rocket\ returns}&4&&0&\\
\hline
\end{array}$$
 
Last edited:
  • Informative
Likes   Reactions: berkeman
  • #13
PeroK said:
##u## in the problem is the speed of the rocket (both ways) in the S' frame. Perhaps it should have been ##u'##. The speed of the rocket in the S frame is different before and after the turnaround.

The rocket moves at -u and then u in the S' frame we need to the expression for the speed of the rocket in the S frame is trivial w1 = (v-u)/(1-vu/c^2) and w2 = (v+u)/(1+vu/c^2)
I think we need a system of equation to get rid of u first so we can get v/c
I am getting stuck on which equations to use. My attempts resulted in the wrong answer multiple times.For the S frame, the rocket traveled at speed w1 on the first leg of the journey for a time t. So the first equation I assumed was:

w1*t = 1/5*c

but t = γ*t' and t'=1 so

w1*γ = 1/5*c

This gives me the wrong result for v/c.
 
  • #14
R3ap3r42 said:
The rocket moves at -u and then u in the S' frame we need to the expression for the speed of the rocket in the S frame is trivial w1 = (v-u)/(1-vu/c^2) and w2 = (v+u)/(1+vu/c^2)
I think we need a system of equation to get rid of u first so we can get v/c
I am getting stuck on which equations to use. My attempts resulted in the wrong answer multiple times.
It should be possible this way, but it looked messy, so I used the LT's instead.
R3ap3r42 said:
For the S frame, the rocket traveled at speed w1 on the first leg of the journey for a time t. So the first equation I assumed was:

w1*t = 1/5*c

but t = γ*t' and t'=1 so

w1*γ = 1/5*c

This gives me the wrong result for v/c.
This is wrong. Time dilation is a special case where events are colocated in the relevant frame. You can't apply time dilation across events that have different spatial coordinates in the relevant frame, You must use the full LT.
 
  • #15
Can you give me a hint?

The correct answers are:
a) 0.894c
b) 0.984c
c) 4.47 years
 
  • #16
Here's a hint and something that doesn't seem to be in textbooks. If you generate the quantity ##\gamma v##, which happens quite often. Note that:
$$\gamma v = w \ \Rightarrow \ \frac{v^2}{1 - v^2} = w^2 \ \Rightarrow \ v^2 =\frac{w^2}{1 + w^2}$$$$\Rightarrow \ v = \frac{w}{\sqrt{1 + w^2}} \ \text{and} \ \gamma = \sqrt{1 + w^2}$$That's how you extract ##v## and ##\gamma## from ##\gamma v##. Note that I've used ##c=1##.
 
  • #17
R3ap3r42 said:
Can you give me a hint?

The correct answers are:
a) 0.894c
b) 0.984c
c) 4.47 years
That's what I get. The hint is to write down the inverse Lorentz transformations:
$$E_1 = (t_1, x_1) = \dots, \ E_2 = (t_2, x_2) = \dots$$
And, you'll need the two events in the S' frame:
$$E'_1 = (t'_1, x'_1) = \dots, \ E'_2 = (t'_2, x'_2) = \dots$$Where these can be specified as much as possible.
 
  • #18
I may be missing something... that is what I see from the post...
1642703236186.png


Do I need any extension on my browser?
 
  • #19
Nevermind I was using Brave it works on Chrome.
 
  • Like
Likes   Reactions: PeroK
  • #20
R3ap3r42 said:
Nevermind I was using Brave it works on Chrome.
MathJax is a Javascript package, and quite a computationally hefty one, so it's lazily loaded. Sometimes it's a bit too lazy and you need to refresh the page to get it to realize it needs to do something.
 
  • #21
Ibix said:
I'm still struggling to read that.

There's a fairly simple recipe for solving problems of this nature.
  1. Do not use length contraction or time dilation. They are special case formulae and easy to misapply where they are inappropriate.
  2. Write down the coordinates of any events of interest in either frame - typically either ##(x,t)## or ##(x',t')##, but actually any two of the four will do.
  3. Apply the Lorentz transforms to get the coordinates in the frame you don't have them.
  4. Decide which frame you want to be working into get the answer requested. Use coordinate differences in that frame
Looking at the problem statement, it looks like you don't actually have all of the coordinates you'll need - a lot of them are implied by things like the fact that ##x=4## when the rocket reaches ##x'=0##. So the first step, I think, is to think about writing down the coordinates of events you do know and seeing how you can go about filling in the blanks. A table like this might help:$$\begin{array}{|l|c|c|c|c|}
\hline
\mathrm{Event}&x / \mathrm{ly}&t/ \mathrm{years}&x'/ \mathrm{ly}&t' / \mathrm{years}\\
\hline
\mathrm{Rocket\ leaves}&0&0&0&0\\
\mathrm{Rocket\ turns\ around}&-1/5&&&1\\
\mathrm{Rocket\ returns}&4&&0&\\
\hline
\end{array}$$
That is my understanding but I fail to generate the needed equations from that.
 
  • #22
R3ap3r42 said:
That is my understanding but I fail to generate the needed equations from that.
You need to use the Lorentz Transformations.
 
  • #23
R3ap3r42 said:
That is my understanding but I fail to generate the needed equations from that.
You should be able to complete the table in terms of ##v##. You'll then have to think about how you could get some expressions for ##u## (hint: think about what observers using frame S say about the rocket's motion).
 
  • #24
Chestermiller said:
Are you sure about those S and S primes? Which one is the rest frame of the rocket?
Neither S nor S' is the rest frame of the rocket.
 
  • #25
I am still struggling so I will post what I have so far...

1642707967694.png


Are these correct?
 
  • #26
vela said:
Neither S nor S' is the rest frame of the rocket.
The question is as posted in the exam. Word for word.
 
  • #27
R3ap3r42 said:
I am still struggling so I will post what I have so far...

View attachment 295780

Are these correct?
You should be able to write down ##t'_2##.

I don't think you'll get a solution very easily using velocity transformations. Lorentz transformations are the way to go. I might have said that already.
 
  • #28
Ibix said:
A table like this might help:$$\begin{array}{|l|c|c|c|c|}
\hline
\mathrm{Event}&x / \mathrm{ly}&t/ \mathrm{years}&x'/ \mathrm{ly}&t' / \mathrm{years}\\
\hline
\mathrm{Rocket\ leaves}&0&0&0&0\\
\mathrm{Rocket\ turns\ around}&-1/5&&&1\\
\mathrm{Rocket\ returns}&4&&0&\\
\hline
\end{array}$$
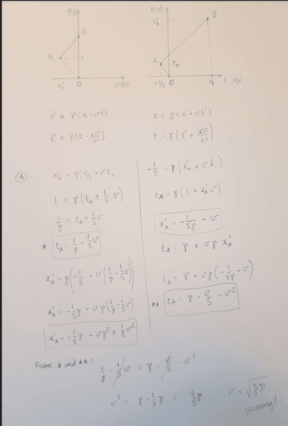
I find spacetime diagrams really helpful as well to keep things straight.

sr.png


event O = rocket leaves
event A = rocket turns around
event B = rocket returns

As @PeroK noted, it should be pretty clear what ##t'_B## (PeroK's ##t'_2##) is equal to from the diagram on the left.
 
  • Like
Likes   Reactions: BvU and R3ap3r42
  • #29
Spacetime diagrams are an excellent tool.

@R3ap3r42 - the point with the Lorentz transforms is that you can use them to complete each row of the table in terms of ##v## because in each case you know two things, ##x## and either ##x'## or ##t'##. The Lorentz transforms are two equations, and there are two things you want to know..

Only at that point do you bring in the fact you've already observed, that ##x'## at the turn around is ##u\times 1##. You'll also need the value of ##t'## at the return, which you should be able to deduce). Then you can solve for ##v## then ##u##.
 
  • Like
Likes   Reactions: R3ap3r42
  • #30
OK, this helps a little more.
I was happy for a minute there until I got again to something wrong...
Where did I mess it up this time?
1642753511118.png
 

Similar threads

Replies
6
Views
2K
  • · Replies 4 ·
Replies
4
Views
3K
  • · Replies 40 ·
2
Replies
40
Views
3K
  • · Replies 2 ·
Replies
2
Views
2K
  • · Replies 36 ·
2
Replies
36
Views
3K
  • · Replies 4 ·
Replies
4
Views
2K
  • · Replies 4 ·
Replies
4
Views
2K
  • · Replies 3 ·
Replies
3
Views
2K
  • · Replies 3 ·
Replies
3
Views
3K
Replies
2
Views
2K