[spring system] 3 degree of freedom system and its properties

Click For Summary
SUMMARY

The discussion focuses on a 3 degree of freedom spring system analyzed using MATLAB to determine natural frequencies and mode shapes through eigenvalues and eigenvectors. The user investigates the insensitivity of natural frequencies to variations in the stiffness parameter k_12, particularly at low and high values. It is concluded that the behavior of natural frequencies is influenced by the spring force equation and the system's dynamic properties, leading to specific frequency responses based on the stiffness characteristics.

PREREQUISITES
  • Understanding of 3 degree of freedom systems
  • Proficiency in MATLAB for numerical analysis
  • Knowledge of eigenvalues and eigenvectors in mechanical systems
  • Familiarity with spring force equations and stiffness parameters
NEXT STEPS
  • Research the effects of varying stiffness parameters on natural frequencies in mechanical systems
  • Learn about the relationship between eigenvalues and system stability
  • Explore MATLAB functions for analyzing dynamic systems
  • Investigate the physical interpretation of mode shapes in oscillatory systems
USEFUL FOR

Mechanical engineers, students studying dynamics, and researchers focusing on vibration analysis and system stability will benefit from this discussion.

renvox
Messages
10
Reaction score
0
Hello, I was given the attached 3 degree of freedom spring system with the purpose of analyzing it.
pK0p9kG.jpg

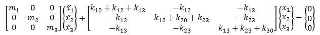
I came up with the following equation of motion
vr2QWQr.jpg

and then I ran Matlab to calculate the corresponding natural frequencies and mode shapes using eigenvalues and eigenvectors; I was asked to see what happens when value of stiffness k_12 is changed. This is the plot of the value k12 against the natural frequencies.
fdwweRr.jpg


The problem is that I do not know WHY values of natural frequencies are insensitive at low values of k12 and why both the 1st and 2nd natural frequencies are insensitive to changes in k12 when values are large (first two level off and the third one seems to go to infinity).

I assume it has something to do with the equation for force due to a spring between 2 masses but I cannot figure it out. That is why I ask for your help - thanks in advance.
 
Physics news on Phys.org
hello renvox! :smile:
renvox said:
… I do not know WHY values of natural frequencies are insensitive at low values of k12

if k12 is a weedy little thing, why should changing it make any noticeable difference? :confused:
… and why both the 1st and 2nd natural frequencies are insensitive to changes in k12 when values are large (first two level off and the third one seems to go to infinity).

what are the three eigenvectors (the three modes of oscillation)? :wink:
 

Similar threads

  • · Replies 5 ·
Replies
5
Views
2K
  • · Replies 1 ·
Replies
1
Views
1K
  • · Replies 5 ·
Replies
5
Views
2K
  • · Replies 3 ·
Replies
3
Views
2K
  • · Replies 2 ·
Replies
2
Views
3K
  • · Replies 1 ·
Replies
1
Views
3K
  • · Replies 17 ·
Replies
17
Views
3K
  • · Replies 7 ·
Replies
7
Views
4K
  • · Replies 1 ·
Replies
1
Views
2K
  • · Replies 2 ·
Replies
2
Views
2K