Thermodynamics Proof : Cv (non-ideal gas) - Cv (ideal gas)

Click For Summary
SUMMARY

The discussion focuses on proving the relationship between the heat capacity at constant volume (Cv) for non-ideal gases and ideal gases. The user begins with the first law of thermodynamics, expressing internal energy (U) as a function of temperature (T) and volume (V). The proof utilizes the equation dU = TdS - PdV and applies Maxwell's relation to derive Cv (non-ideal) as (∂U/∂T)v. The user encounters difficulties in progressing from the derived equations to the final proof, specifically when transitioning from ideal gas behavior to non-ideal conditions.

PREREQUISITES
  • Understanding of thermodynamic principles, particularly the first law of thermodynamics.
  • Familiarity with Maxwell's relations in thermodynamics.
  • Knowledge of heat capacities, specifically Cv for ideal and non-ideal gases.
  • Proficiency in calculus, particularly partial derivatives.
NEXT STEPS
  • Study the derivation of Maxwell's relations in detail.
  • Research the differences between ideal and non-ideal gas behavior.
  • Explore the implications of the first law of thermodynamics in various systems.
  • Learn about the heat capacity equations for different types of gases.
USEFUL FOR

Students studying thermodynamics, particularly those tackling advanced concepts related to heat capacities and gas behavior, as well as educators seeking to clarify these principles in a classroom setting.

Exploded_Muffin
Messages
1
Reaction score
0
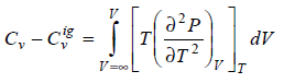
Can someone please help me with the following proof ...I'm stuck and not sure if I'm even on the right path.

Prove that
upload_2015-9-17_14-52-7.png
What I've done so far;
if U = f(T,V)
dU = (∂U/∂T)v dT + (∂U/∂V)t dV

Cv (non ideal) = (∂U/∂T)v

Using dU = TdS - PdV and Maxwell relation (∂S/∂V)t =(∂P/∂T)v,
(∂U/∂V)t = T(∂P/∂T)v - P

So;
dU = CvdT + [ T(∂P/∂T)v - P ]dv

I'm basically stuck here, tried different ways forward from here but I can't seem to arrive at the correct answer. Any help would be
 
Physics news on Phys.org
This is a homework problem, so I am moving it to a homework forum.

You want to find U(T+dT, V) - U(T,V), where V is a small enough volume so that ideal gas behavior does not to apply. What you do is start at T,V and determine the isothermal change in U when you go from T,V to very large volume (infinite). This puts you in the ideal gas region. Then you take the change in U from T and infinite volume to T + dT and infinite volume. This is just the ideal gas heat capacity times dT. Then you go isothermally from T+dT and infinite volume to T+dT and finite volume V.

Chet
 

Similar threads

  • · Replies 2 ·
Replies
2
Views
2K
  • · Replies 1 ·
Replies
1
Views
3K
Replies
3
Views
2K
  • · Replies 2 ·
Replies
2
Views
2K
  • · Replies 19 ·
Replies
19
Views
3K
  • · Replies 3 ·
Replies
3
Views
2K
  • · Replies 23 ·
Replies
23
Views
3K
  • · Replies 5 ·
Replies
5
Views
2K
  • · Replies 3 ·
Replies
3
Views
2K
  • · Replies 1 ·
Replies
1
Views
3K