Time-like or Space-like Events: Analyzing the Train Diagram

  • Context: Graduate 
  • Thread starter Thread starter Adel Makram
  • Start date Start date
  • Tags Tags
    Diagram Events Train
Click For Summary

Discussion Overview

The discussion revolves around the nature of events A and B as observed from different reference frames, specifically in the context of a train moving between these events. Participants explore whether the separation between these events is time-like or space-like, considering the implications of simultaneity in different frames of reference.

Discussion Character

  • Debate/contested
  • Technical explanation
  • Mathematical reasoning

Main Points Raised

  • One participant suggests that if events A and B are simultaneous for a ground observer, they should be seen as occurring at different times for a train observer, leading to a potential time-like separation under specific conditions (v/c=0.618).
  • Another participant argues that events that are simultaneous in one frame must have a space-like separation in all frames, reinforcing the invariance of the distinction between space-like and time-like separations.
  • Some participants express confusion regarding the interpretation of A and B as events versus locations, suggesting that this ambiguity complicates the analysis of their separation.
  • A participant posits that the ground observer perceives the events as simultaneous due to the finite speed of light, which leads to an illusion of simultaneity, while another counters that the observer's experience is tied to coordinate assignments rather than physical perception.
  • Concerns are raised about the calculations presented, with some participants questioning the validity of deriving distances in different frames when simultaneity is frame-dependent.
  • One participant introduces the idea of a closed timelike curve, speculating on its implications for the separation of events and the speed of light.

Areas of Agreement / Disagreement

Participants express differing views on the nature of the separation between events A and B, with no consensus reached. Some argue for a space-like separation based on simultaneity in one frame, while others suggest conditions under which a time-like separation could be argued.

Contextual Notes

Participants note limitations in the clarity of definitions regarding events versus locations, and the implications of simultaneity across different frames. The discussion reflects unresolved mathematical interpretations and assumptions regarding the nature of light signals and their travel between events.

Adel Makram
Messages
632
Reaction score
15
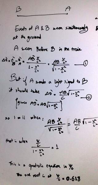
Please refer to the attached diagram

The train moves in the direction B-A

If the events seen in the ground observer simultaneously, it should be seen at A before B in the train

In special case, the difference in times between A and B according to the train observer could be equal to the time a light signal takes to travel from A to B only if v/c=0.618

However, if the light travel from A to B relative to the train observer, it should do so relative to the ground one as well. But because of the experiment setup, still the ground observer sees the 2 events happen at the same time

So what will be the events relative to the ground observer, a time-like or space like?

Thanks,,,

https://www.physicsforums.com/attachment.php?attachmentid=44367&stc=1&d=1330188385
 

Attachments

  • 250220121488.jpg
    250220121488.jpg
    21.5 KB · Views: 870
Physics news on Phys.org


any answer to my question!
 


separated spatialy and can be observed as happening simultaniously, spacelike I think.
 


If two separate events are simultaneous in a particular frame, they have a space-like separation in all frames.
 


Good point the distinction between spacelike & timelike is invariant.
 


Michael C said:
If two separate events are simultaneous in a particular frame, they have a space-like separation in all frames.

OK,,, but according to my calculation attached here, the Δt` between A and B for the train observer can be equal to the Δt`taken by a light signal from A to B in case of v/c=0.618. This yields a time-like separation !
 
Last edited:


In the first sentence (in the attachment), you're talking about A and B as if they are events. Later you're talking about them as if they are locations in space (specifically in the slice of spacetime that the ground considers space). This makes your argument quite confusing.

If A and B are events, it only makes sense to say that a light signal is sent from A to B if their separation is lightlike, but this would of course immediately contradict the earlier claim that there's an inertial frame in which A and B are simultaneous. Then you start talking about calculating the time it takes the signal to go from A to B. By then you are clearly thinking of A and B as locations, not events. The signal would be sent from an event E on A's world line and received at an event F on B's world line. The separation between E and F is obviously lightlike.
 
Last edited:


The ground observer will see the two "simultanious" events happen at two different times, this is because it will take longer for light to reach the ground observer, but this would only be an illusion since the photon would only be traveling a larger distance from one of the points. similar to how we look back in time when we look at the stars, the stars are not younger just because we see them that way. It just takes a certain amount of time for the light to reach the observer since it travels at a limited speed. So then, I would say the separation of the events is just space like.
 


John232 said:
The ground observer will see the two "simultanious" events happen at two different times, this is because it will take longer for light to reach the ground observer,
It has nothing to do with that. When we're talking about what someone "sees" or "experiences", we're not talking about what their eyes or video cameras would pick up. We're talking about the coordinate assignments they would make. An observer on the ground "sees" two events as simultaneous if and only if he assigns the same time coordinate to them.
 
  • #10


John232 said:
The ground observer will see the two "simultanious" events happen at two different times, this is because it will take longer for light to reach the ground observer, but this would only be an illusion since the photon would only be traveling a larger distance from one of the points. similar to how we look back in time when we look at the stars, the stars are not younger just because we see them that way. It just takes a certain amount of time for the light to reach the observer since it travels at a limited speed. So then, I would say the separation of the events is just space like.

I disagree with that, I can use my head and consider the time that the light has traveled an deduce the star is now older, but from an observed "my reality" perspective what's measureable is all of the information I have ( or could possibly have) regarding that "distant star". The physical reality travels at c. all else is "elsewhere" and sometimes termed unphysical.

That being said, the star is actually "younger" here compared to over "there". not an illusion, a reality. Said differently, at the location here the "distant star" is not old yet, because of the spatial separation more time needs to pass until the star is "old" over here. It would be a safe bet the star is even older over there but that proof does not exist over here, it is not a "reality" here, more an "illusion" of the "mind's eye", specifically an assumption. ( of course physics can predict this future accurately, calculating the age of the star over there, and intuitively is reffered to as "it's age", but comparatively that's relative)

(mumbo jumbo here, but I think it could even be physicaly possible for there to be a "closed timelike curve" (or spacelike? idk) that "transports" the light to the observer location faster than light years)
 
Last edited:
  • #11


Fredrik said:
In the first sentence (in the attachment), you're talking about A and B as if they are events. Later you're talking about them as if they are locations in space (specifically in the slice of spacetime that the ground considers space). This makes your argument quite confusing.

If A and B are events, it only makes sense to say that a light signal is sent from A to B if their separation is lightlike, but this would of course immediately contradict the earlier claim that there's an inertial frame in which A and B are simultaneous. Then you start talking about calculating the time it takes the signal to go from A to B. By then you are clearly thinking of A and B as locations, not events. The signal would be sent from an event E on A's world line and received at an event F on B's world line. The separation between E and F is obviously lightlike.

I meant A and B as events

If A and B are simultaneous for the ground observer, they must have a spacelike separation for the train observer. This should not permit Δt` to be long enough to allow B receiving any light from A. But that may happen if v/c=0.618 !
 
  • #12


Adel Makram said:
I meant A and B as events
Then your calculation doesn't make much sense. You wrote "AB", meaning "the distance in space between A and B in the ground's(?) rest frame". That's OK, since A and B are by assumption simultaneous in that frame. But then you multiplied AB by ##1/\gamma##, expecting to get the distance in space between A and B in the other frame. The concept of distance in space in the train's frame between A and B doesn't make sense, since A and B aren't simultaneous in that frame. What you're calculating this way is the distance in the train's frame between the two points on the ground where A and B occurred. This is not a distance between A and B. It's the distance in the train's frame between A and and an event C on the world line of the point on the ground where B occurred. C would occur significantly later than B, but still not late enough to receive a light signal from A.
 
  • #13


Fredrik said:
Then your calculation doesn't make much sense. You wrote "AB", meaning "the distance in space between A and B in the ground's(?) rest frame". That's OK, since A and B are by assumption simultaneous in that frame. But then you multiplied AB by ##1/\gamma##, expecting to get the distance in space between A and B in the other frame. The concept of distance in space in the train's frame between A and B doesn't make sense, since A and B aren't simultaneous in that frame. What you're calculating this way is the distance in the train's frame between the two points on the ground where A and B occurred. This is not a distance between A and B. It's the distance in the train's frame between A and and an event C on the world line of the point on the ground where B occurred. C would occur significantly later than B, but still not late enough to receive a light signal from A.

The distance AB` for the train observer won`t change because he sees the event A happens before B. He always considered A and B simultaneous whenever he measures AB` as a distance.
The derivation of Δt` according to LT is also based on that assumption and therefore multiplying AB by ##1/\gamma## to yield AB`. So multiplication by ##1/\gamma## occurs on both sides of the equations i & ii and it will cancel each other out
And even if you don`t want to consider ##1/\gamma##, no problem, as the quadratic equation still remains valid because AB` will cancel each other out again
 
Last edited:
  • #14


Adel Makram said:
The distance AB` for the train observer won`t change because he sees the event A happens before B.
...
So multiplication by ##1/\gamma## occurs on both sides of the equations i & ii and it will cancel each other out
And even if you don`t want to consider ##1/\gamma##, no problem, as the quadratic equation still remains valid because AB` will cancel each other out again
I don't understand what you're saying here.

Adel Makram said:
The derivation of Δt` according to LT is also based on that assumption and therefore multiplying AB by ##1/\gamma## to yield AB`.
##(AB)/\gamma## isn't the distance between A and B in the train's frame. There's no such thing as a distance between A and B in the train's frame, because A and B are not simultaneous in that frame. ##(AB)/\gamma## is the distance in the train's frame between the points on the ground where events A and B occurred. It's a distance in spacetime along a simultaneity line of the train's frame. There's such a simultaneity line through A, and another one through B, but there's no such simultaneity line through both. So ##(AB)/\gamma## is definitely not the distance in the train's frame between A and B.

I think you need to think about what you're actually calculating using the length contraction formula. You can't plug in the distance between two events and expect to get the distance between those same events in another coordinate system. That's not just wrong, it doesn't make sense. Think about it this way instead: In a spacetime diagram where the axes are the t and x axes of the ground's frame, the world lines of the two points on the ground are vertical lines. A and B are two points on those two lines. Since they are simultaneous, there's a horizontal line that goes through both of them. The length of that line segment from B to A is what you called AB. But ##(AB)/\gamma## is the length that an observer on the train would assign to a line with slope 1/v between two events where such a line intersects the two vertical lines.
 
  • #15


Adel Makram said:
The distance AB` for the train observer won`t change because he sees the event A happens before B.
"Won't change" relative to what? The distance between the places where A and B happen will certainly be different when measured in different frames.

If you assign coordinates to the events A and B in the ground frame, you can use the Lorentz transformation to work out the coordinates in the train frame:

THE GROUND FRAME:
Let's say that the distance between the two events in the ground frame is d. To make things easy, we'll put event A at the origin:
Event A: t = 0, x = 0
Event B: t = 0, x = d.

THE TRAIN FRAME:
We define the train frame to have the same origin as the ground frame. It is moving relative to the ground frame along the x-axis at a velocity of v. The Lorentz transformation gives us the coordinates of the two events in this frame:
Event A: t' = 0, x' = 0
Event B: t' = -[itex]\gamma[/itex]vd/c[itex]^{2}[/itex], x' = [itex]\gamma[/itex]d.

Increasing the velocity difference between the two frames will not only increase the time separation between A and B, it will also increase the spatial separation: you can see from the coordinates that the distance in space between the two events has been multiplied by [itex]\gamma[/itex]. The space-time interval between A and B stays the same.
 
  • #16


nitsuj said:
I disagree with that, I can use my head and consider the time that the light has traveled an deduce the star is now older, but from an observed "my reality" perspective what's measureable is all of the information I have ( or could possibly have) regarding that "distant star". The physical reality travels at c. all else is "elsewhere" and sometimes termed unphysical.

This may just be too hippy for me. So, if I tied a string around Mars and then held the other side at Earth would their be a reality that exist at the speed of sound?

Fredrik said:
It has nothing to do with that. When we're talking about what someone "sees" or "experiences", we're not talking about what their eyes or video cameras would pick up.

Shouldn't these be the same two things?

Michael C said:
Increasing the velocity difference between the two frames will not only increase the time separation between A and B, it will also increase the spatial separation:

If A and B are not on the train then wouldn't the distance from A to B seen from on the train shorten, since A to B could be "seen" as a single object in motion relative to the train?
 
  • #17


John232 said:
If A and B are not on the train then wouldn't the distance from A to B seen from on the train shorten, since A to B could be "seen" as a single object in motion relative to the train?

A and B are not objects, they are events.

I'm not sure quite what you mean by saying that "A to B could be "seen" as a single object in motion relative to the train". Are you imagining that a single object could be present at both event A and event B? That won't work, since neither event falls within the light cone of the other.
 
  • #18


John232 said:
Shouldn't these be the same two things?
Yes, it obviously doesn't matter if you observe something with your eyes or with a video camera.

John232 said:
If A and B are not on the train then wouldn't the distance from A to B seen from on the train shorten, since A to B could be "seen" as a single object in motion relative to the train?
You're right, but he wasn't talking about the distance in the train's frame between the points on the ground where A and B occur. That distance changes with speed as ##1/\gamma##, i.e. it gets shorter. He was talking about how the coordinate difference ##x_A-x_B## in the train's frame depends on the speed of the train. That difference changes with speed as ##\gamma##, i.e. it gets longer.
 
  • #19


In the orignal post it sounded like A and B where two separate places outside of the train. So then if you put two objects at a location down the track they would appear to come closer together as the train moved down the track. I was trying to say that the track itself would become shorter from the frame of reference of the train while it was moveing, not longer.
 
  • #20


Michael C said:
"Won't change" relative to what? The distance between the places where A and B happen will certainly be different when measured in different frames.

If you assign coordinates to the events A and B in the ground frame, you can use the Lorentz transformation to work out the coordinates in the train frame:

THE GROUND FRAME:
Let's say that the distance between the two events in the ground frame is d. To make things easy, we'll put event A at the origin:
Event A: t = 0, x = 0
Event B: t = 0, x = d.

THE TRAIN FRAME:
We define the train frame to have the same origin as the ground frame. It is moving relative to the ground frame along the x-axis at a velocity of v. The Lorentz transformation gives us the coordinates of the two events in this frame:
Event A: t' = 0, x' = 0
Event B: t' = -[itex]\gamma[/itex]vd/c[itex]^{2}[/itex], x' = [itex]\gamma[/itex]d.

Increasing the velocity difference between the two frames will not only increase the time separation between A and B, it will also increase the spatial separation: you can see from the coordinates that the distance in space between the two events has been multiplied by [itex]\gamma[/itex]. The space-time interval between A and B stays the same.

In this occasion, I was not talking about the distance Δx` between places where A & B occur, but about the distance between the 2 train ends A and B. Your calculation is right that the Δt`=[itex]\gamma[/itex]vd/c[itex]^{2}[/itex]. OK, so can this time difference allows a timelike separation between A and B if a signal would take off from A to reach B?
In other words, if the train observer emits a light signal from A once A happens, can that signal reaches B before or at the same time when B happens?
 
  • #21


Adel Makram said:
Please refer to the attached diagram

The train moves in the direction B-A

If the events seen in the ground observer simultaneously, it should be seen at A before B in the train

In special case, the difference in times between A and B according to the train observer could be equal to the time a light signal takes to travel from A to B only if v/c=0.618

However, if the light travel from A to B relative to the train observer, it should do so relative to the ground one as well. But because of the experiment setup, still the ground observer sees the 2 events happen at the same time

So what will be the events relative to the ground observer, a time-like or space like?

Thanks,,,

https://www.physicsforums.com/attachment.php?attachmentid=44367&stc=1&d=1330188385
Adel, you have indeed discovered a special speed, but it's not really significant. Here's how I would explain it:

If you use a distance in the ground frame of 1 (using compatible units like seconds and light-seconds and where c=1 and speeds are expressed as beta which is v/c) and you set the first event at the origin (all components equal zero), then as you increase beta from 0 to almost 1, the value of the reciprocal of gamma goes from 1 to almost 0 and the absolute value of the time coordinate of the transformed event goes from 0 to almost infinity. At some particular value of beta, these other two values will become equal. This value of beta is 0.618034 and the reciprocal of gamma is 0.786151 and the time component is -0.786151.

But what does this mean? Nothing at all.

In order to compare a length of an object in one frame to its length in another frame, you have to do it when the events at both ends of the object have the same time component. Clearly, in your discovery, those two events do not have the same time component (one end is at the origin with time equal to zero and the other end has a time component of -0.786151) and so the length component, which will be equal to gamma or 1.272020, is not the correct length to use. What you have to do is pick another value of time for the second event in the original frame such that the value of the time component of transformed event is zero. This is very easy to do when you normalize the problem as I have, you just set the time component to the value of beta. So if you set the time component for the second event to 0.618034 (with x equal to 1) then the transformed time component is 0 and the distance component is 0.786151 (the reciprocal of gamma). Of course, if you wanted to use any other distance, you would multiply beta by the distance to get the correct time component to use and then the transformed distance would be the original distance divided by gamma.

So the bottom line is that in order to see what length anything is in any frame, you have to make sure the time components at both ends are equal. The corollary to this is that if you want to see what a time interval is in any frame, you have to make sure the spatial components are the same at both events. Now it should be pretty obvious that there cannot be a single pair of events for which both of these conditions are satisfied, that is, you cannot use the same two events in any frame to know both the length and time intervals in any other frame.
 
  • #22

Attachments

  • Untitled.png
    Untitled.png
    2.9 KB · Views: 744
  • #23


Adel Makram said:
In this occasion, I was not talking about the distance Δx` between places where A & B occur, but about the distance between the 2 train ends A and B. Your calculation is right that the Δt`=[itex]\gamma[/itex]vd/c[itex]^{2}[/itex]. OK, so can this time difference allows a timelike separation between A and B if a signal would take off from A to reach B?
In other words, if the train observer emits a light signal from A once A happens, can that signal reaches B before or at the same time when B happens?

If two events occur simultaneously in a certain frame, but not at the same location, then their separation is space-like in all frames. Neither event is in the light cone of the other event. If a light signal is emitted at event A, there is no way that it can arrive at the location of B before B happens.

In order to make sense of your example, we need to be clear as to whether we are talking about an event or the location of this event in a particular frame. By using "A" and "B" both for events and for "the 2 train ends", we end up in confusion.
 
  • #24


John232 said:
This may just be too hippy for me. So, if I tied a string around Mars and then held the other side at Earth would their be a reality that exist at the speed of sound?
lol too hippy, well in that context your scenario is too trippy.

the measure of length & time (dimensions) are defined by c, why do you mention the speed of sound? If you want to define "reality" as a measure of sound then I'd say yes. But that is a stupid definition.

In physics I find it is better defined as everything that is physical, from the perspective of measurement. "Fundamental Interaction" is limited by c (i assume). In "reality" spacetime is a continuum of fundamental interaction.
 
Last edited:
  • #25

Attachments

  • 020320121495.jpg
    020320121495.jpg
    17.3 KB · Views: 686
  • 020320121498.jpg
    020320121498.jpg
    24.7 KB · Views: 721
Last edited:
  • #26


Adel Makram said:
https://www.physicsforums.com/attachment.php?attachmentid=44642&stc=1&d=1330705974

Here is my calculation

This can be also considered as simple derivation of Lorentz transformation up to the equation (i)

Now no worries to assign A and B to whether events or train ends as long as we are talking from the perspective of the train rest frame

the second image is more clear and accurate

https://www.physicsforums.com/attachment.php?attachmentid=44643&stc=1&d=1330706663
Would you please do a little more work and type your calculations into a response instead of expecting all of us to scrutinize your attachments. It is very difficult to read what you have written and frankly, I'm not motivated. You also need to explain every detail of what you are doing. It might make sense in your mind, but remember, we can't read your mind.
 
  • #27


Adel Makram said:
https://www.physicsforums.com/attachment.php?attachmentid=44642&stc=1&d=1330705974

Here is my calculation

This can be also considered as simple derivation of Lorentz transformation up to the equation (i)

Now no worries to assign A and B to whether events or train ends as long as we are talking from the perspective of the train rest frame

No worries? Maybe you need to think that over.


I can't decipher all that, but I get the impression that there is still confusion between these two things:

- the distance between the two ends of the train in a certain frame
- the distance between the locations where the two events occur in a certain frame.

If you could type your argument in a post, complete with explanations of the steps, it would be easier to see what is going on.
 
  • #28


Adel Makram said:
Please refer to the attached diagram

Suppose that a light source is put near the A end of the train so as to be seen simultaneously at A & B for a ground observer. It will be definitely seen at A before B for the train observer. Now can this time difference allows a timelike separation?

https://www.physicsforums.com/attachment.php?attachmentid=44641&stc=1&d=1330703748
You're rehashing the same situation you brought up in Is the order of the events reversed here? and we're having the same problem in this thread that we had in that thread--you aren't precise and clear in what you are presenting and we can't tell what you are talking about.
 
  • #29


ghwellsjr said:
You're rehashing the same situation you brought up in Is the order of the events reversed here? and we're having the same problem in this thread that we had in that thread--you aren't precise and clear in what you are presenting and we can't tell what you are talking about.

I know that I was in hurry. I would like to apologize for that,,, Sure I will take my time to write it in a more clear form before the next post
Thank you
 
  • #30


Adel, I'm going to try to explain what time-like and space-like mean, and why if two events have one type of likeness in one frame, they have the same type of likeness in all frames. Again, I'm going to use compatible units where the value of c=1 and I'm going to align the first event at the origin. Then we can use the Lorentz transformation in a simple way to understand these terms.

First off, time-like simply means that the time coordinate is greater than the spatial coordinate. Space-like simply means that the spatial coordinate is greater than the time coordinate. Light-like simply means that both coordinates are equal.

So if we look at the simplified Lorentz transform, we see:

t' = γ(t-xβ)
x' = γ(x-tβ)

What we want to do is compare the values of these two equations for different values of β, where β can range from -1 to +1 (but not including those values). So we compare like the following where the calculation of the new time coordinate, t', is on the left and the calculation of the new space coordinate, x', is on the right (the question mark can be replaced with =, <, or > depending on our evaluation):

γ(t-xβ) ? γ(x-tβ)

Now we note that γ is a function of β but for all values of β, γ is a positive number equal to 1 or greater than 1:

γ = 1/√(1-β2)

Therefore, we can remove γ from our conditional statement without effecting the evaluation of the condition:

t-xβ ? x-tβ

Next we rearrange the terms so that the t factors are on the left and the x factors are on the right:

t+tβ ? x+xβ

Now we factor out the common terms:

t(1+β) ? x(1+β)

Now since β can have a range of -1 to +1 but not including those numbers, the factor 1+β has a range of 0 to 2, not including those nuimbers.

Therefore we can divide out the (1+β) factor without changing the evaluation of the condition:

t ? x

What does this mean? It means what everyone has been telling you:

If t>x in one frame, t'>x' in any other frame, no matter what the value of β is.
If t=x in one frame, t'=x' in any other frame, no matter what the value of β is.
If t<x in one frame, t'<x' in any other frame, no matter what the value of β is.

So no amount of coming up with specific scenarios, especially ill-defined ones, can produce an example that will violate the conclusion that whatever likeness two events have in one frame, they have the same likeness in any other frame.

It's kind of a waste of time to try to decipher your scenarios and point out where your confusion is so that you will accept our critiques of what you are doing. My single most important advice to you is to learn what an event is, how to define a scenario in ONE frame, not two like you have been doing, and then use the Lorentz Transform to see what that scenario looks like in another frame.
 
Last edited:

Similar threads

  • · Replies 12 ·
Replies
12
Views
3K
  • · Replies 11 ·
Replies
11
Views
2K
  • · Replies 26 ·
Replies
26
Views
5K
  • · Replies 16 ·
Replies
16
Views
2K
  • · Replies 9 ·
Replies
9
Views
1K
  • · Replies 14 ·
Replies
14
Views
2K
  • · Replies 20 ·
Replies
20
Views
3K
  • · Replies 221 ·
8
Replies
221
Views
18K
  • · Replies 15 ·
Replies
15
Views
3K
  • · Replies 20 ·
Replies
20
Views
3K