Understanding Feynman's Relativistic Electric Field Equation

Click For Summary

Discussion Overview

The discussion revolves around Feynman's relativistic electric field equation, specifically focusing on the interpretation of the terms in Equation 28.3 from Feynman's Lectures. Participants explore the implications of the equation, particularly the role of acceleration and its relationship to distance, as well as the distinction between near and far fields in electromagnetic radiation.

Discussion Character

  • Exploratory
  • Technical explanation
  • Conceptual clarification
  • Debate/contested

Main Points Raised

  • One participant questions why acceleration is inversely proportional to ##r'## and suggests that this might relate to perception of size at different distances.
  • Another participant hints at the importance of distinguishing between near field and far field effects in understanding the propagation of electromagnetic waves.
  • References are made to the Liénard–Wiechert potential and the significance of the third term in Equation 28.3, which is said to relate to radiation laws.
  • There is mention of Equation 28.6, which includes a ##\frac{1}{r}## term, indicating a connection to the earlier equation.
  • A participant notes the historical context of the equation, mentioning Oliver Heaviside's earlier work and Feynman's contributions.
  • One participant expresses a personal approach to understanding complex material, suggesting that revisiting difficult concepts can lead to clarity over time.

Areas of Agreement / Disagreement

Participants express uncertainty regarding the relationship between acceleration and distance, and there is no consensus on the interpretation of the equations or the appropriate categorization of the discussion within physics.

Contextual Notes

Participants reference various equations and concepts without fully resolving the mathematical steps or assumptions involved in the derivations. The discussion highlights the complexity of interpreting Feynman's work and the potential for differing interpretations.

Who May Find This Useful

This discussion may be of interest to those studying electromagnetic theory, particularly in the context of relativistic effects and radiation, as well as to individuals exploring Feynman's Lectures and their implications in classical physics.

bryanso
Messages
28
Reaction score
7
TL;DR
Want to understand why the radiation term in Feynman's relativistic electric field equation (Eq. 28.3) is inversely proportional to distance
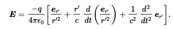
Feynman's Lectures, vol. 1 Ch. 28, Eq. 28.3 is

Screen Shot 2020-09-09 at 1.13.43 PM.png

##r'## is the distance to the apparent position of the charge. Feynman wrote,

"Of the terms appearing in (28.3), the first one evidently goes inversely as the square of the distance, and the second is only a correction for delay, so it is easy to show that both of them vary inversely as the square of the distance. All of the effects we are interested in come from the third term, which is not very complicated, after all. What this term says is: look at the charge and note the direction of the unit vector (we can project the end of it onto the surface of a unit sphere). As the charge moves around, the unit vector wiggles, and the acceleration of that unit vector is what we are looking for. That is all. Thus

Screen Shot 2020-09-09 at 1.19.38 PM.png

is a statement of the laws of radiation, because that is the only important term when we get far enough away that the fields are varying inversely as the distance."

I don't understand why this acceleration is inversely proportional to ##r'##?

Is that simply because the size of an object is inversely proportional to distance (perception) thus acceleration should be the same? Shouldn't ##\frac{1}{r}## appear somewhere?

(BTW this equation is extremely elegant but doesn't seem to be widely described in other texts.)
 
  • Like
Likes   Reactions: Delta2
Physics news on Phys.org
I have long since forgotten so cannot give you a simple answer. But a hint of what to look for may help.

You need to be searching (internet, wiki etc) for far field as opposed to near field.

It is the far field which allows radio waves to propagate vast distances with enough signal strength to be picked up by receivers. The near field falls to negligible much quicker.

See Liénard–Wiechert potential and Electromagnetic radiation - Near and far fields and Near and far field and Near-Field vs. Far-Field.

Also, if you read further you get to Equation 28.5, which has the same third term you quote; and 28.6, derived from it, which has the 1/r term included. I haven't worked through the derivation to see how it arrives - I suspect it comes from the definition of er' and its derivative d^2/dt^2 er'.

See Chapter 21 - Solutions of Maxwell’s Equations with Currents and Charges in Volume 2 which repeats the equations as 21.1 and 21.1' - they are the same as in Volume 1 Chapter 28.

There are a number of web sites which list errors in the various editions of Feynman's (wonderful) Lectures.

Also, I don't think this should be in Special and General Relativity - it should be in Classical Physics where you will also find numerous similar posts - search on radiation.
 
Last edited:
bryanso said:
I don't understand why this acceleration is inversely proportional to ##r'##?
Read further and you will see how the third term in Eqn 28.3 evaluates to Eqn 28.6 where you see the 1/r term.

Clipboard02.png


bryanso said:
(BTW this equation is extremely elegant but doesn't seem to be widely described in other texts.)
See the footnote in Vol 2, Chap 21
The formula was first published by Oliver Heaviside in 1902. It was independently discovered by R. P. Feynman, in about 1950, and given in some lectures as a good way of thinking about synchrotron radiation.

As an aside, I often find it useful not to worry too much if, on my first reading, I don't understand the full detail of something. I find it useful to continue as the following information often helps to elucidate the meaning. When I then go back it is usually easier to understand it.

Don't forget Rutherford's quotation:

All of physics is either impossible or trivial. It is impossible until you understand it, and then it becomes trivial.
 
Last edited:
  • Like
Likes   Reactions: TSny
Thanks a lot. Great insights.
 

Similar threads

  • · Replies 24 ·
Replies
24
Views
3K
  • · Replies 16 ·
Replies
16
Views
2K
  • · Replies 20 ·
Replies
20
Views
3K
  • · Replies 3 ·
Replies
3
Views
1K
  • · Replies 15 ·
Replies
15
Views
2K
  • · Replies 3 ·
Replies
3
Views
2K
  • · Replies 59 ·
2
Replies
59
Views
8K
  • · Replies 45 ·
2
Replies
45
Views
9K
  • · Replies 1 ·
Replies
1
Views
2K
  • · Replies 24 ·
Replies
24
Views
2K