Understanding Ke Logic Rules & Finding Contradictions

  • Context: MHB 
  • Thread starter Thread starter lyd123
  • Start date Start date
  • Tags Tags
    Logic Rules
Click For Summary

Discussion Overview

The discussion revolves around the application of Ke logic rules, specifically focusing on the derivation of conclusions from given premises and the identification of contradictions. Participants explore the validity of arguments, the implications of premises, and the conditions under which conclusions can be drawn or negated.

Discussion Character

  • Technical explanation
  • Debate/contested
  • Mathematical reasoning

Main Points Raised

  • One participant presents an attempt to derive a conclusion from the premises but expresses uncertainty about finding a contradiction.
  • Another participant clarifies that $\neg S$ is the original conclusion and discusses the necessity of using the law of excluded middle or branching rule to prove $\neg S$.
  • A later reply questions the validity of deriving $P \land Q$ from the premises and suggests finding a counterexample to demonstrate that the premises do not imply $S$.
  • Another participant reiterates the need for the law of excluded middle and discusses the implications of assuming $S$ or $\neg S$ in relation to the premises.
  • There is a discussion about the application of Modus Ponens and the conditions under which certain logical rules can be applied.

Areas of Agreement / Disagreement

Participants do not reach a consensus on the validity of the argument or the implications of the premises. Multiple competing views remain regarding the derivation of conclusions and the identification of contradictions.

Contextual Notes

Participants express uncertainty about the application of specific logical rules and the conditions under which conclusions can be drawn. There are unresolved aspects related to the definitions of the premises and the nature of the conclusions.

lyd123
Messages
11
Reaction score
0
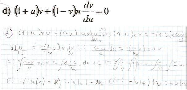
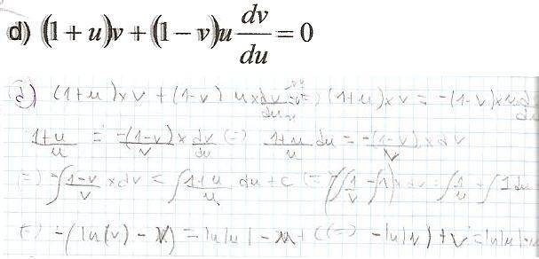
Hi, the question and Ke logic rules are attached.

This is my attempt at the question.

$1. P \land (R\implies Q) $ Premise
$2. ( P \land Q ) \implies \lnot S) $ Premise
$3. ( P \land S) \implies R) $ Premise
$4. \lnot S $ Conclusion
$5. P \land Q$ $ \beta 2,4$
$6. P $ $ \alpha 5$
$7. Q$ $ \alpha 5$
$8. R\implies Q $ $ \alpha 1$

I don't think the lines I wrote after this make a lot of sense. Usually a contradiction would be found, but in this case I don't seem to find a contradiction. I think maybe I have to negate the conclusion, I thought it was already negated because of the \lnot. But how do I know when the argument form is valid (invalid being if there is a contradiction).Thank you for any help. :)

View attachment 8735
View attachment 8736
 

Attachments

  • 2019-01-03.png
    2019-01-03.png
    5.3 KB · Views: 163
  • 2019-01-03 (1).png
    2019-01-03 (1).png
    6.9 KB · Views: 217
Physics news on Phys.org
I assume that $\neg S$ is the original conclusion, not its negation.

You cannot derive $P\land Q$ from $P\land Q\implies \neg S$ and $\neg S$.

To prove $\neg S$, one must use the law of excluded middle, or the branching rule. From premise 1 we have $P$ and $R\implies Q$. If $S$, then we get $R$ from premise 3, $Q$ from premise 1 and finally $\neg S$ from premise 2. If $\neg S$, then nothing is left to do.
 
Thank you, I understand now.If an argument was valid, how would we know? For example, in this case if the the original was S and the negated conclusion is ¬S ?

1.P∧(R⟹Q) Premise
2.(P∧Q)⟹¬S Premise
3.(P∧S)⟹R Premise
4.¬S Negated Conclusion
 
These premises do not imply $S$. The easiest way to see this is to find a counterexample, i.e., an assignment of truth values to variables that makes all premises true and the conclusion false. In this case it is $R=Q=S=F$ and $P=T$.
 
Evgeny.Makarov said:
To prove $\neg S$, one must use the law of excluded middle, or the branching rule

I suppose you mean : $ S\vee\neg S$

Evgeny.Makarov said:
If $S$, then we get $R$ from premise 3

I suppose you mean from P and S we get : $P\wedge S$ and then using premise 3 and α rules (Modus Ponens) we get $R$

If yes, there is no rule in α or β rules to account for: $P$,$S$ $\Rightarrow P\wedge Q$
 

Similar threads

  • · Replies 17 ·
Replies
17
Views
3K
  • · Replies 12 ·
Replies
12
Views
3K
  • · Replies 3 ·
Replies
3
Views
3K
  • · Replies 1 ·
Replies
1
Views
2K
  • · Replies 2 ·
Replies
2
Views
2K
  • · Replies 1 ·
Replies
1
Views
2K
  • · Replies 6 ·
Replies
6
Views
3K
  • · Replies 4 ·
Replies
4
Views
2K
  • · Replies 3 ·
Replies
3
Views
2K
  • · Replies 5 ·
Replies
5
Views
2K