Variation of Metrics: Formula & Proof Explained

  • Context: Graduate 
  • Thread starter Thread starter mertcan
  • Start date Start date
  • Tags Tags
    Variation
Click For Summary
SUMMARY

The discussion centers on the variation of metrics and a specific formula referenced in an attachment. The formula's origin is traced back to a document found at the provided link, specifically on page 27 of the cited PDF. Additionally, another resource is suggested for further clarification, located on page 115 of a different PDF. Participants seek proof and a deeper understanding of the formula's derivation.

PREREQUISITES
  • Understanding of statistical metrics and their variations
  • Familiarity with mathematical proofs and derivations
  • Access to academic resources, specifically PDFs on metric formulations
  • Basic knowledge of reading and interpreting mathematical formulas
NEXT STEPS
  • Review the document at http://www.if.nu.ac.th/sites/default/files/bin/BS_chakkrit.pdf for the original formula
  • Examine the content on page 115 of https://preposterousuniverse.com/wp-content/uploads/grnotes-four.pdf for additional insights
  • Study the principles of metric variation in statistics
  • Explore mathematical proof techniques relevant to statistical formulas
USEFUL FOR

Students, researchers, and professionals in statistics or data analysis who are looking to deepen their understanding of metric variations and their mathematical foundations.

mertcan
Messages
343
Reaction score
6
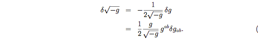
hi, When I read variation of metric, I bumped into a unfamiliar formulation for me. You can see the formula in my attachment. I can not understand where this comes from. Could you provide me with the proof of that formula?

By the way, you can go to this link to look at from which the attachment is quoted ( http://www.if.nu.ac.th/sites/default/files/bin/BS_chakkrit.pdf ) page 27. Thanks in advance...
 

Attachments

  • varaition of metric.png
    varaition of metric.png
    1.8 KB · Views: 656
Physics news on Phys.org

Similar threads

  • · Replies 6 ·
Replies
6
Views
3K
  • · Replies 6 ·
Replies
6
Views
5K
  • · Replies 2 ·
Replies
2
Views
2K
  • · Replies 13 ·
Replies
13
Views
4K
  • · Replies 3 ·
Replies
3
Views
2K
  • · Replies 3 ·
Replies
3
Views
2K
  • · Replies 10 ·
Replies
10
Views
4K
  • · Replies 6 ·
Replies
6
Views
4K
Replies
29
Views
3K