Velocity in microchannel with temporal temperature variation

Click For Summary

Homework Help Overview

The discussion revolves around fluid dynamics in a microchannel experiencing thermal cycling, focusing on the effects of a time-dependent temperature profile on fluid density and flow characteristics. Participants are tasked with finding the exact solutions for velocity and pressure under varying conditions.

Discussion Character

  • Exploratory, Conceptual clarification, Mathematical reasoning, Problem interpretation, Assumption checking

Approaches and Questions Raised

  • Participants discuss the normalization of equations and boundary conditions, questioning the assumptions regarding temperature gradients and their implications on fluid flow. Some suggest changing the frame of reference to simplify the analysis.

Discussion Status

The conversation is ongoing, with participants exploring different interpretations of the problem and offering hints on potential approaches. There is a mix of attempts at deriving equations and clarifying the physical implications of the temperature variations.

Contextual Notes

Some participants express confusion over the problem statement and the physical setup, particularly regarding the assumptions about temperature gradients and their impact on density and flow. There are indications of differing interpretations of the problem's requirements.

big dream
a microchannel of length 2L and width h in the thermal cycling region. the temperature profile
upload_2017-10-30_14-21-20.png
...(1)
the cyclic temperature profile leads to a time dependent density
upload_2017-10-30_14-22-42.png
...(2)
using the mass conservation equation i.e.
upload_2017-10-30_14-23-38.png
...(3)
and momentum balance equation i.e.
upload_2017-10-30_14-25-21.png
...(4)
we have to find the exact solution of u, v & p

The attempt at a solution
equ(1) →
upload_2017-10-30_14-29-10.png

equ(2) →
upload_2017-10-30_14-29-35.png

length scales are normalised as
upload_2017-10-30_14-30-20.png

so equ(2) becomes
upload_2017-10-30_14-30-55.png

upload_2017-10-30_14-55-45.png

no slip & no penetration boundary condition at the walls (y=0,h) ; and constant pressure at channel entrance(x=-L) and exit(x=L). for small reynolds number eq(3) becomes
upload_2017-10-30_14-37-9.png

this equation normalised as
upload_2017-10-30_14-45-34.png

as
upload_2017-10-30_14-49-1.png

and from
upload_2017-10-30_14-49-22.png

we can get
upload_2017-10-30_14-51-27.png

&
upload_2017-10-30_14-53-56.png
is it the right process?

 

Attachments

  • upload_2017-10-30_14-21-20.png
    upload_2017-10-30_14-21-20.png
    1.2 KB · Views: 1,272
  • upload_2017-10-30_14-22-42.png
    upload_2017-10-30_14-22-42.png
    915 bytes · Views: 1,261
  • upload_2017-10-30_14-23-38.png
    upload_2017-10-30_14-23-38.png
    523 bytes · Views: 932
  • upload_2017-10-30_14-25-21.png
    upload_2017-10-30_14-25-21.png
    1.3 KB · Views: 1,232
  • upload_2017-10-30_14-29-10.png
    upload_2017-10-30_14-29-10.png
    978 bytes · Views: 1,193
  • upload_2017-10-30_14-29-35.png
    upload_2017-10-30_14-29-35.png
    1.1 KB · Views: 1,201
  • upload_2017-10-30_14-30-20.png
    upload_2017-10-30_14-30-20.png
    916 bytes · Views: 1,197
  • upload_2017-10-30_14-30-55.png
    upload_2017-10-30_14-30-55.png
    1.8 KB · Views: 1,212
  • upload_2017-10-30_14-37-9.png
    upload_2017-10-30_14-37-9.png
    443 bytes · Views: 1,220
  • upload_2017-10-30_14-45-34.png
    upload_2017-10-30_14-45-34.png
    675 bytes · Views: 1,173
  • upload_2017-10-30_14-49-1.png
    upload_2017-10-30_14-49-1.png
    842 bytes · Views: 1,193
  • upload_2017-10-30_14-49-22.png
    upload_2017-10-30_14-49-22.png
    646 bytes · Views: 1,201
  • upload_2017-10-30_14-51-27.png
    upload_2017-10-30_14-51-27.png
    1.1 KB · Views: 1,194
  • upload_2017-10-30_14-53-56.png
    upload_2017-10-30_14-53-56.png
    1.1 KB · Views: 1,207
  • upload_2017-10-30_14-55-45.png
    upload_2017-10-30_14-55-45.png
    1.6 KB · Views: 1,242
Physics news on Phys.org
big dream said:
a microchannel of length 2L and width h in the thermal cycling region. the temperature profile View attachment 214021...(1)
the cyclic temperature profile leads to a time dependent density View attachment 214023 ...(2)
using the mass conservation equation i.e. View attachment 214024...(3)
and momentum balance equation i.e. View attachment 214025 ...(4)
we have to find the exact solution of u, v & p

The attempt at a solution
equ(1) → View attachment 214026
equ(2) → View attachment 214027
length scales are normalised as View attachment 214028
so equ(2) becomes View attachment 214029
View attachment 214036
no slip & no penetration boundary condition at the walls (y=0,h) ; and constant pressure at channel entrance(x=-L) and exit(x=L). for small reynolds number eq(3) becomes View attachment 214030
this equation normalised as View attachment 214031
as View attachment 214032
and from View attachment 214033
we can get View attachment 214034
& View attachment 214035 is it the right process?
What is the exact statement of the problem?
 
IMG_20171110_151309_HDR.jpg
 

Attachments

  • IMG_20171110_151309_HDR.jpg
    IMG_20171110_151309_HDR.jpg
    49.1 KB · Views: 651
I'm a bit confused over the problem statement. It says, "There are no spatial temperature gradients present along the length of the micro channel," and yet the temperature equation they provide indicates otherwise. I'm having trouble articulating what is happening physically in this problem. Are you supposed to assume that the length scale of the periodic temperature variations (lambda) is small compared to the distance 2L?

Please articulate what you interpret is happening in the problem. Is it that the density variations are causing fluid flow pumping in the x direction?
 
sorry this is the real physical problem
IMG_20171115_141125.jpg
IMG_20171115_141217.jpg
IMG_20171115_145801.jpg
IMG_20171115_145838.jpg
IMG_20171026_151233.jpg
 

Attachments

  • IMG_20171115_141125.jpg
    IMG_20171115_141125.jpg
    25.6 KB · Views: 567
  • IMG_20171115_141217.jpg
    IMG_20171115_141217.jpg
    49.4 KB · Views: 527
  • IMG_20171115_145801.jpg
    IMG_20171115_145801.jpg
    30.6 KB · Views: 619
  • IMG_20171115_145838.jpg
    IMG_20171115_145838.jpg
    46.4 KB · Views: 551
  • IMG_20171026_151233.jpg
    IMG_20171026_151233.jpg
    40.1 KB · Views: 591
The two fluid flow problems you have presented here are extremely different, and I would approach them entirely differently. I am assuming that you really want to solve the problem involving the moving temperature wave, indicated in the first post. I would assume that the spatial wavelength ##\lambda## is small compared to the length of the tube 2L, so that, for all intents and purposes, the tube could be assumed infinitely long. I would then change the frame of reference of the observer such that he is moving along with the temperature wave at the speed c. In that case, he would observe a density variation that is a function only of x. This then would reduce the problem to a steady state flow problem.

I'm prepared to reveal more hints on how to implement the approach I described above involving a moving observer if what I said is not sufficiently clear.
 
Last edited:
Sir, for the second problem is my process right? Or I have to solve in another way. More preciously if this process is wrong, how I can get the exact solution of velocities?
 
big dream said:
Sir, for the second problem is my process right? Or I have to solve in another way. More preciously if this process is wrong, how I can get the exact solution of velocities?
As I said, in my judgment, because of the combined x and t variation, you are not going to get it solved the way you are doing it. But, the method I was explaining will work.

From the frame of reference of an observer moving to the left at velocity c (i.e., moving coordinate system), you have $$T=T_0+\Delta T \cos{2\pi \frac{X}{\lambda}}$$ where X now replaces ##x+ct##. So now the density is a function only of X. As reckoned from this moving coordinate system, the continuity equation becomes: $$\frac{\partial (\rho U)}{\partial X}+\frac{\partial (\rho V)}{\partial y}=0$$where U and V are the velocity components reckoned from the frame of reference of the moving observer.

Boundary conditions on the flow are now: ##U=+c## and V= 0 at y=h and y=0.

Questions??
 
Last edited:
It is too bad that @big dream has not returned. I find this a very interesting problem. Is there anyone else out there who is interested in pursuing the solution to this problem?
 
  • #10
sir,
I was sick. so now should I put stream function? or I have to normalise continuity equation first.
 
  • #11
big dream said:
sir,
I was sick. so now should I put stream function? or I have to normalise continuity equation first.
Before doing anything else, I need you to prove to yourself that, if we make the following transformation of variables,

t = T
y = Y
x = X - ct
v = V(X,Y)
u = U(X,Y) - c
p = P(X)

our equations reduce to:
$$\rho=\rho(X)$$
$$\frac{\partial (\rho U)}{\partial X}+\frac{\partial (\rho V)}{\partial Y}=0\tag{1}$$
$$\frac{\partial P}{\partial X}=\mu \frac{\partial ^2U}{\partial Y^2}\tag{2}$$
subject to the boundary conditions ##U=c## and ##V=0## at ##Y=0,h##. These are equivalent to the equations that an observer who is traveling at a constant speed c in the negative x direction would write. This observer would conclude that, as reckoned from his frame of reference, the system is at steady state, with all parameters functions of X and Y only.
 
Last edited:
  • #12
Chestermiller said:
Before doing anything else, I need you to prove to yourself that, if we make the following transformation of variables,

t = T
y = Y
x = X - ct
v = V(X,Y)
u = U(X,Y) - c
p = P(X)

our equations reduce to:
$$\rho=\rho(X)$$
$$\frac{\partial (\rho U)}{\partial X}+\frac{\partial (\rho V)}{\partial Y}=0$$
$$\frac{\partial P}{\partial X}=\mu \frac{\partial ^2U}{\partial Y^2}$$
subject to the boundary conditions ##U=c## and ##V=0## at ##Y=0,h##. These are equivalent to the equations that an observer who is traveling at a constant speed c in the negative x direction would write. This observer would conclude that, as reckoned from his frame of reference, the system is at steady state, with all parameters functions of X and Y only.
Yes, sir I got it. Now ?
 
  • #13
big dream said:
Yes, sir I got it. Now ?
OK. Starting with Eqn. 2, in post #11, solve for U in terms of dP/dX using the boundary conditions at y = 0, h on U. What do you obtain?
 
  • #14
boundary condition: U= c at Y= 0,h
upload_2017-11-21_18-23-31.png
 

Attachments

  • upload_2017-11-21_18-23-31.png
    upload_2017-11-21_18-23-31.png
    1.2 KB · Views: 1,047
  • #15
big dream said:
boundary condition: U= c at Y= 0,h
View attachment 215375
Close, but this doesn't satisfy the boundary condition at Y=h. Please try once more.
 
  • #16
upload_2017-11-21_18-38-26.png
 

Attachments

  • upload_2017-11-21_18-38-26.png
    upload_2017-11-21_18-38-26.png
    1,005 bytes · Views: 1,123
  • #17
big dream said:
Much better. Now please take the integrated average of this between 0 and h to get the average axial velocity ##\bar{U}(X)##
 
  • #18
upload_2017-11-21_19-23-50.png
 

Attachments

  • upload_2017-11-21_19-23-50.png
    upload_2017-11-21_19-23-50.png
    1.1 KB · Views: 1,068
  • #19
big dream said:
OK. Now divide by h to get Ubar.

After that, please integrate the continuity equation (Eqn. 1 in post #11) between Y=0 and Y = h. What do you get?

Unfortunately, I have to leave for a few hours now, but I'll be back later.
 
  • #20
upload_2017-11-22_1-44-33.png

Should I put the value of U and then evaluate?
 

Attachments

  • upload_2017-11-22_1-44-33.png
    upload_2017-11-22_1-44-33.png
    1.1 KB · Views: 1,063
  • #21
big dream said:
View attachment 215404
Should I put the value of U and then evaluate?
No. This is not done correctly. You forgot to put in the limits of integration on V, and you did not recognize that the integral sign and the partial derivative could be interchanged. Please try again.
 
Last edited:
  • #22
is this correct
upload_2017-11-22_10-55-10.png

this kind of solution coming
upload_2017-11-22_10-56-35.png
 

Attachments

  • upload_2017-11-22_10-55-10.png
    upload_2017-11-22_10-55-10.png
    1.4 KB · Views: 1,028
  • upload_2017-11-22_10-56-35.png
    upload_2017-11-22_10-56-35.png
    963 bytes · Views: 1,014
  • #23
big dream said:
is this correct
View attachment 215427
this kind of solution coming View attachment 215428
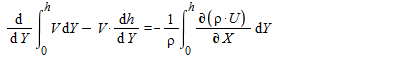
Still not correct. The correct result is $$\frac{d}{d X}\left(\rho \int_0^h{UdY}\right)=[\rho V]_0^h=0$$
So, we have: $$\frac{d[\rho(X)\bar{U}(X)]}{dX}=0$$where $$\bar{U}(X)=\frac{1}{h}\int_0^h{UdY}$$
Now, integration with respect to X yields: $$\rho(X)\bar{U}(X)=k$$where k is a constant. Or equivalently, $$\bar{U}(X)=\frac{k}{\rho(X)}$$
Also, in post #18, you showed that $$\bar{U}=-\frac{1}{12\mu}\frac{dP}{dX}h^2+c$$If we combine these two equations, we obtain:
$$\frac{dP}{dX}=-\frac{12\mu}{h^2}\left[\frac{k}{\rho(X)}-c\right]$$

OK so far?
 
  • Like
Likes   Reactions: big dream
  • #24
Chestermiller said:
Still not correct. The correct result is $$\frac{d}{d X}\left(\rho \int_0^h{UdY}\right)=[\rho V]_0^h=0$$
So, we have: $$\frac{d[\rho(X)\bar{U}(X)]}{dX}=0$$where $$\bar{U}(X)=\frac{1}{h}\int_0^h{UdY}$$
Now, integration with respect to X yields: $$\rho(X)\bar{U}(X)=k$$where k is a constant. Or equivalently, $$\bar{U}(X)=\frac{k}{\rho(X)}$$
Also, in post #18, you showed that $$\bar{U}=-\frac{1}{12\mu}\frac{dP}{dX}h^2+c$$If we combine these two equations, we obtain:
$$\frac{dP}{dX}=-\frac{12\mu}{h^2}\left[\frac{k}{\rho(X)}-c\right]$$

OK so far?
It's great
 
  • #25
big dream said:
It's great
The next step is to determine the value of the constant k. This is related to how P has to be varying with X in order to satisfy the end constraint at the two ends of the channel. Thoughts?
 
  • #26
Chestermiller said:
The next step is to determine the value of the constant k. This is related to how P has to be varying with X in order to satisfy the end constraint at the two ends of the channel. Thoughts?
at the center of the channel, P is zero. and P is constant at the entrance & exit of the channel.
maybe
upload_2017-11-22_20-7-44.png

I am not sure
 

Attachments

  • upload_2017-11-22_20-7-44.png
    upload_2017-11-22_20-7-44.png
    689 bytes · Views: 475
  • #27
The reservoir pressures are presumably the same at the two far ends of the channel at +L and -L. So there are no long range pressure variations along the length of the channel in the X direction. Therefore, the pressure P must be periodic in the X direction, with a period of ##\lambda##. Thus, ##P(X+\lambda)=P(X)##; and, in particular, ##P(\lambda)=P(0)##. How can this be used to in conjunction with the last equation in post #23 to determine the value of the constant k?
 
  • #28
big dream said:
Integrate both sides of the last equation in post #23 from ##X = 0## to ##X = \lambda##. What do you get?
 
  • #29
Chestermiller said:
Integrate both sides of the last equation in post #23 from ##X = 0## to ##X = \lambda##. What do you get?
upload_2017-11-22_23-10-30.png
 

Attachments

  • upload_2017-11-22_23-10-30.png
    upload_2017-11-22_23-10-30.png
    524 bytes · Views: 919
  • #30
big dream said:
Not even close. $$k=\frac{c}{\left[\frac{1}{\lambda}\int_0^{\lambda}{\frac{d\xi}{\rho(\xi)}}\right]}$$
Next, please substitute this into the last equation of post #23 to get dP/dX. What do you obtain?
 

Similar threads

Replies
2
Views
2K
Replies
2
Views
3K
Replies
4
Views
2K
  • · Replies 19 ·
Replies
19
Views
3K
Replies
1
Views
2K
  • · Replies 2 ·
Replies
2
Views
5K
  • · Replies 1 ·
Replies
1
Views
2K
  • · Replies 15 ·
Replies
15
Views
5K
Replies
5
Views
11K
  • · Replies 1 ·
Replies
1
Views
4K