Velocity in microchannel with temporal temperature variation
- Thread starter big dream
- Start date
Click For Summary
SUMMARY
The forum discussion centers on analyzing fluid dynamics within a microchannel of length 2L and width h, subjected to a cyclic temperature profile that induces time-dependent density variations. Participants utilize mass conservation and momentum balance equations to derive velocity (u, v) and pressure (p) solutions under specific boundary conditions, including no-slip at the walls and constant pressure at the channel's entrance and exit. A moving observer frame is proposed to simplify the problem, leading to a steady-state analysis of the flow characteristics.
PREREQUISITES- Understanding of fluid dynamics principles, specifically in microchannels.
- Familiarity with mass conservation and momentum balance equations.
- Knowledge of boundary conditions in fluid flow problems.
- Experience with transforming coordinate systems in fluid dynamics.
- Study the application of the continuity equation in fluid dynamics.
- Explore the implications of Reynolds number in microchannel flow.
- Learn about the effects of temperature variations on fluid density and flow behavior.
- Investigate numerical methods for solving fluid dynamics equations in complex geometries.
Fluid dynamics researchers, mechanical engineers, and anyone involved in the design and analysis of microfluidic systems will benefit from this discussion.
Physics news on Phys.org
- 23,709
- 5,927
xi is a constant of integration to help us remember (in our subsequent analysis) that the value of the integral is a constant, independent of X. Please factor the c out of the brackets in this equation (it hurts my eyes).
The next step is substitute this expression for dP/dX back into our equation for U(X,T) in post #16 to get our final result for U. What do you get?
The next step is substitute this expression for dP/dX back into our equation for U(X,T) in post #16 to get our final result for U. What do you get?
big dream
Chestermiller said:xi is a constant of integration to help us remember (in our subsequent analysis) that the value of the integral is a constant, independent of X. Please factor the c out of the brackets in this equation (it hurts my eyes).
The next step is substitute this expression for dP/dX back into our equation for U(X,T) in post #16 to get our final result for U. What do you get?
Attachments
- 23,709
- 5,927
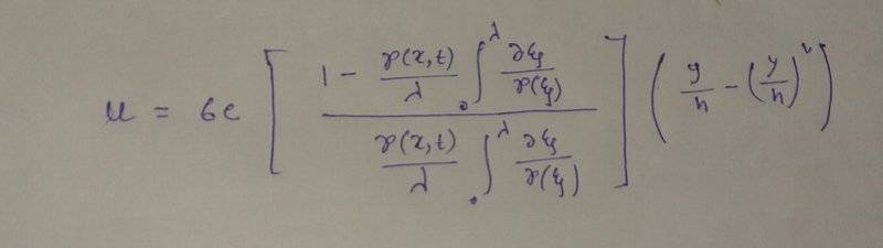
I get the following: $$U(X,Y)=6c\left[\frac{1-\frac{\rho (X)}{\lambda}\int_0^{\lambda}{\frac{d\xi}{\rho(\xi)}}}{\frac{\rho (X)}{\lambda}\int_0^{\lambda}{\frac{d\xi}{\rho(\xi)}}}\right]\left(\frac{Y}{h}-\left(\frac{Y}{h}\right)^2\right)+c$$big dream said:
As reckoned from the laboratory frame of reference, what does this give for u(t,x,y)?
- 23,709
- 5,927
Excellent. Now the only thing left to do is to determine the vertical velocity V. Any ideas?big dream said:
- 23,709
- 5,927
If you're asking how to differentiate this with respect to X, everything in the expression is constant except ##\rho (X)##big dream said:we could use the continuity equation. But I don't know what to do with this View attachment 215538
big dream
After getting the expression of V what to do with ##\rho (x,t)##
- 23,709
- 5,927
What do you get for V(X,Y)?big dream said:After getting the expression of V what to do with ##\rho (x,t)##
big dream
$${\it mambiguous} \left( V =~\left(-\frac{3\cdot c \cdot Y ^{2}}{h }+
\frac{2\cdot c \cdot Y ^{3}}{h ^{2}}\right)\frac{\partial \rho \left(X
\right)}{\partial X }~\left[\left\{\frac{1-\frac{\rho \left(X \right)
}{\lambda }\int _{0}^{\lambda }{\it mambiguous} \left( \frac{\partial
\xi }{\rho \left(\xi \right)}, \right) }{\frac{\rho \left(X \right)}{
\lambda }\int _{0}^{\lambda }\frac{\partial \xi }{\rho \left(\xi
\right)}~}+c \right\}-\frac{1}{\lambda }\int _{0}^{\lambda }\frac{
\partial \xi }{\rho \left(\xi \right)}\left\{\frac{1}{\frac{\rho
\left(X \right)}{\lambda }\int _{0}^{\lambda }\frac{\partial \xi }{
\rho \left(\xi \right)}~}+\frac{1-\frac{\rho \left(X \right)}{\lambda
}\int _{0}^{\lambda }\frac{\partial \xi }{\rho \left(\xi \right)}~}{
\frac{\rho \left(X \right)\escirc 2}{\lambda }\int _{0}^{\lambda }
\frac{\partial \xi }{\rho \left(\xi \right)}~}~\right\}\right]
\right)$$
\frac{2\cdot c \cdot Y ^{3}}{h ^{2}}\right)\frac{\partial \rho \left(X
\right)}{\partial X }~\left[\left\{\frac{1-\frac{\rho \left(X \right)
}{\lambda }\int _{0}^{\lambda }{\it mambiguous} \left( \frac{\partial
\xi }{\rho \left(\xi \right)}, \right) }{\frac{\rho \left(X \right)}{
\lambda }\int _{0}^{\lambda }\frac{\partial \xi }{\rho \left(\xi
\right)}~}+c \right\}-\frac{1}{\lambda }\int _{0}^{\lambda }\frac{
\partial \xi }{\rho \left(\xi \right)}\left\{\frac{1}{\frac{\rho
\left(X \right)}{\lambda }\int _{0}^{\lambda }\frac{\partial \xi }{
\rho \left(\xi \right)}~}+\frac{1-\frac{\rho \left(X \right)}{\lambda
}\int _{0}^{\lambda }\frac{\partial \xi }{\rho \left(\xi \right)}~}{
\frac{\rho \left(X \right)\escirc 2}{\lambda }\int _{0}^{\lambda }
\frac{\partial \xi }{\rho \left(\xi \right)}~}~\right\}\right]
\right)$$
Attachments
- 23,709
- 5,927
Yikes! That's nothing like what I get. Here is my development:big dream said:$${\it mambiguous} \left( V =~\left(-\frac{3\cdot c \cdot Y ^{2}}{h }+
\frac{2\cdot c \cdot Y ^{3}}{h ^{2}}\right)\frac{\partial \rho \left(X
\right)}{\partial X }~\left[\left\{\frac{1-\frac{\rho \left(X \right)
}{\lambda }\int _{0}^{\lambda }{\it mambiguous} \left( \frac{\partial
\xi }{\rho \left(\xi \right)}, \right) }{\frac{\rho \left(X \right)}{
\lambda }\int _{0}^{\lambda }\frac{\partial \xi }{\rho \left(\xi
\right)}~}+c \right\}-\frac{1}{\lambda }\int _{0}^{\lambda }\frac{
\partial \xi }{\rho \left(\xi \right)}\left\{\frac{1}{\frac{\rho
\left(X \right)}{\lambda }\int _{0}^{\lambda }\frac{\partial \xi }{
\rho \left(\xi \right)}~}+\frac{1-\frac{\rho \left(X \right)}{\lambda
}\int _{0}^{\lambda }\frac{\partial \xi }{\rho \left(\xi \right)}~}{
\frac{\rho \left(X \right)\escirc 2}{\lambda }\int _{0}^{\lambda }
\frac{\partial \xi }{\rho \left(\xi \right)}~}~\right\}\right]
\right)$$
$$U(X,Y)\rho(X)=6c\left[\frac{1-\frac{\rho (X)}{\lambda}\int_0^{\lambda}{\frac{d\xi}{\rho(\xi)}}}{\frac{1}{\lambda}\int_0^{\lambda}{\frac{d\xi}{\rho(\xi)}}}\right]\left(\frac{Y}{h}-\left(\frac{Y}{h}\right)^2\right)+c\rho(X)$$So,
$$\frac{\partial (\rho U)}{\partial X}=\left(1-6\frac{Y}{h}+6\left(\frac{Y}{h}\right)^2\right)c\frac{d\rho(X)}{dX}$$
So, $$\frac{\partial (\rho V)}{\partial Y}=-\left(1-6\frac{Y}{h}+6\left(\frac{Y}{h}\right)^2\right)c\frac{d\rho(X)}{dX}$$
So, $$V=\left(-\frac{Y}{h}+3\left(\frac{Y}{h}\right)^2-2\left(\frac{Y}{h}\right)^3\right)\frac{ch}{\rho(X)}\frac{d\rho(X)}{dX}$$
big dream
sir, Thank you very much for your help and patience. last doubt how to simplify the expression of u(x,t)? i.e. thread #35
- 23,709
- 5,927
In post # 35, ##\rho(t, x)=\rho_0\left(1-\beta \Delta T \cos{}\frac{2\pi(x+ct)}{\lambda}\right)## and
$$\frac{1}{\lambda}\int_0^{\lambda}{\frac{d\xi}{\rho(\xi)}}=\frac{1}{\rho_0}\frac{1}{2\pi}\int_0^{2\pi}{\frac{d\theta}{(1-\beta \Delta T\cos{\theta})}}$$
$$\frac{1}{\lambda}\int_0^{\lambda}{\frac{d\xi}{\rho(\xi)}}=\frac{1}{\rho_0}\frac{1}{2\pi}\int_0^{2\pi}{\frac{d\theta}{(1-\beta \Delta T\cos{\theta})}}$$
big dream
How could the system be in steady state when X=x+ct which is also related to time? If you have some time would you explain it?Chestermiller said:Before doing anything else, I need you to prove to yourself that, if we make the following transformation of variables,
t = T
y = Y
x = X - ct
v = V(X,Y)
u = U(X,Y) - c
p = P(X)
our equations reduce to:
$$\rho=\rho(X)$$
$$\frac{\partial (\rho U)}{\partial X}+\frac{\partial (\rho V)}{\partial Y}=0\tag{1}$$
$$\frac{\partial P}{\partial X}=\mu \frac{\partial ^2U}{\partial Y^2}\tag{2}$$
subject to the boundary conditions ##U=c## and ##V=0## at ##Y=0,h##. These are equivalent to the equations that an observer who is traveling at a constant speed c in the negative x direction would write. This observer would conclude that, as reckoned from his frame of reference, the system is at steady state, with all parameters functions of X and Y only.
- 23,709
- 5,927
It's at steady state as reckoned from the frame of reference of an observer who is moving to the left with a speed equal to c.big dream said:How could the system be in steady state when X=x+ct which is also related to time? If you have some time would you explain it?
big dream
Actually how you get continuity equation from this equation $$\frac{\partial \rho( U+c)}{\partial (X-ct)}+\frac{\partial (\rho V)}{\partial Y}=\frac{\partial \rho}{\partial T}$$Chestermiller said:Before doing anything else, I need you to prove to yourself that, if we make the following transformation of variables,
t = T
y = Y
x = X - ct
v = V(X,Y)
u = U(X,Y) - c
p = P(X)
our equations reduce to:
$$\rho=\rho(X)$$
$$\frac{\partial (\rho U)}{\partial X}+\frac{\partial (\rho V)}{\partial Y}=0\tag{1}$$
$$\frac{\partial P}{\partial X}=\mu \frac{\partial ^2U}{\partial Y^2}\tag{2}$$
subject to the boundary conditions ##U=c## and ##V=0## at ##Y=0,h##. These are equivalent to the equations that an observer who is traveling at a constant speed c in the negative x direction would write. This observer would conclude that, as reckoned from his frame of reference, the system is at steady state, with all parameters functions of X and Y only.
- 23,709
- 5,927
In post #11, I asked you to prove to yourself that, with the transformation of variables I indicated, the equations transform the way I say they do. In post #12, you indicated that you had successfully done this. Now you tell me that you had not done this (and don't know how to). How can I trust you?big dream said:Actually how you get continuity equation from this equation $$\frac{\partial \rho( U+c)}{\partial (X-ct)}+\frac{\partial (\rho V)}{\partial Y}=\frac{\partial \rho}{\partial T}$$
big dream
after using Galilean transformation I got,Chestermiller said:In post #11, I asked you to prove to yourself that, with the transformation of variables I indicated, the equations transform the way I say they do. In post #12, you indicated that you had successfully done this. Now you tell me that you had not done this (and don't know how to). How can I trust you?
$$\frac{\partial (\rho U)}{\partial X}+\frac{\partial (\rho V)}{\partial Y}=\frac{\partial \rho}{\partial T}$$
now as## \rho## becomes the function of X. so $$\frac{\partial \rho}{\partial T}$$ must be zero. but when I show it to the teacher he told that X =x+ct so it is also a function of t, differentiation w.r.t. T may not be zero.
He asked me to show mathematical evidence. How it becomes a steady state?
Sir, I thought maybe my perception of the transformation of the equation is wrong, or my explanation. Is there something wrong with my explanation?
- 23,709
- 5,927
You have not carried out the transformation correctly. The starting equations are $$T=t$$$$X=x+ct$$and $$Y=y$$big dream said:after using Galilean transformation I got,
$$\frac{\partial (\rho U)}{\partial X}+\frac{\partial (\rho V)}{\partial Y}=\frac{\partial \rho}{\partial T}$$
now as## \rho## becomes the function of X. so $$\frac{\partial \rho}{\partial T}$$ must be zero. but when I show it to the teacher he told that X =x+ct so it is also a function of t, differentiation w.r.t. T may not be zero.
He asked me to show mathematical evidence. How it becomes a steady state?
Sir, I thought maybe my perception of the transformation of the equation is wrong, or my explanation. Is there something wrong with my explanation?
For any function f of position and time, we start out by writing:$$df=\left(\frac{\partial f}{\partial T}\right)_{X,Y}dT+\left(\frac{\partial f}{\partial X}\right)_{T,Y}dX+\left(\frac{\partial f}{\partial Y}\right)_{T,X}dY$$From this, it follows that:
$$\left(\frac{\partial f}{\partial t}\right)_{x,y}=\left(\frac{\partial f}{\partial T}\right)_{X,Y}\left(\frac{\partial T}{\partial t}\right)_{x,y}+\left(\frac{\partial f}{\partial X}\right)_{T,Y}\left(\frac{\partial X}{\partial t}\right)_{x,y}+\left(\frac{\partial f}{\partial Y}\right)_{T,X}\left(\frac{\partial Y}{\partial t}\right)_{x,y}$$
But, in our problem, $$\left(\frac{\partial T}{\partial t}\right)_{x,y}=1$$$$\left(\frac{\partial X}{\partial t}\right)_{x,y}=c$$and $$\left(\frac{\partial Y}{\partial t}\right)_{x,y}=0$$
Therefore, $$\left(\frac{\partial f}{\partial t}\right)_{x,y}=\left(\frac{\partial f}{\partial T}\right)_{X,Y}+c\left(\frac{\partial f}{\partial X}\right)_{T,Y}$$
Now it's your turn. What do you get for $$\left(\frac{\partial f}{\partial x}\right)_{t,y}$$and$$\left(\frac{\partial f}{\partial y}\right)_{t,x}$$
big dream
$$\left(\frac{\partial f}{\partial x}\right)_{t,y}=\left(\frac{\partial f}{\partial T}\right)_{X,Y}\left(\frac{\partial T}{\partial x}\right)_{t,y}+\left(\frac{\partial f}{\partial X}\right)_{T,Y}\left(\frac{\partial X}{\partial x}\right)_{t,y}+\left(\frac{\partial f}{\partial Y}\right)_{T,X}\left(\frac{\partial Y}{\partial x}\right)_{t,y}$$Chestermiller said:You have not carried out the transformation correctly. The starting equations are $$T=t$$$$X=x+ct$$and $$Y=y$$
For any function f of position and time, we start out by writing:$$df=\left(\frac{\partial f}{\partial T}\right)_{X,Y}dT+\left(\frac{\partial f}{\partial X}\right)_{T,Y}dX+\left(\frac{\partial f}{\partial Y}\right)_{T,X}dY$$From this, it follows that:
$$\left(\frac{\partial f}{\partial t}\right)_{x,y}=\left(\frac{\partial f}{\partial T}\right)_{X,Y}\left(\frac{\partial T}{\partial t}\right)_{x,y}+\left(\frac{\partial f}{\partial X}\right)_{T,Y}\left(\frac{\partial X}{\partial t}\right)_{x,y}+\left(\frac{\partial f}{\partial Y}\right)_{T,X}\left(\frac{\partial Y}{\partial t}\right)_{x,y}$$
But, in our problem, $$\left(\frac{\partial T}{\partial t}\right)_{x,y}=1$$$$\left(\frac{\partial X}{\partial t}\right)_{x,y}=c$$and $$\left(\frac{\partial Y}{\partial t}\right)_{x,y}=0$$
Therefore, $$\left(\frac{\partial f}{\partial t}\right)_{x,y}=\left(\frac{\partial f}{\partial T}\right)_{X,Y}+c\left(\frac{\partial f}{\partial X}\right)_{T,Y}$$
Now it's your turn. What do you get for $$\left(\frac{\partial f}{\partial x}\right)_{t,y}$$and$$\left(\frac{\partial f}{\partial y}\right)_{t,x}$$
$$\left(\frac{\partial f}{\partial x}\right)_{t,y}=\left(\frac{\partial f}{\partial X}\right)_{T,Y}$$
$$\left(\frac{\partial f}{\partial y}\right)_{t,x}=\left(\frac{\partial f}{\partial T}\right)_{X,Y}\left(\frac{\partial T}{\partial y}\right)_{t,x}+\left(\frac{\partial f}{\partial X}\right)_{T,Y}\left(\frac{\partial X}{\partial y}\right)_{t,x}+\left(\frac{\partial f}{\partial Y}\right)_{T,X}\left(\frac{\partial Y}{\partial y}\right)_{t,x}$$
$$\left(\frac{\partial f}{\partial y}\right)_{t,x}=\left(\frac{\partial f}{\partial Y}\right)_{T,X}$$
big dream
$$\left(\frac{\partial f}{\partial x}\right)_{t,y}=\left(\frac{\partial f}{\partial T}\right)_{X,Y}\left(\frac{\partial T}{\partial x}\right)_{t,y}+\left(\frac{\partial f}{\partial X}\right)_{T,Y}\left(\frac{\partial X}{\partial x}\right)_{t,y}+\left(\frac{\partial f}{\partial Y}\right)_{T,X}\left(\frac{\partial Y}{\partial x}\right)_{t,y}$$Chestermiller said:You have not carried out the transformation correctly. The starting equations are $$T=t$$$$X=x+ct$$and $$Y=y$$
For any function f of position and time, we start out by writing:$$df=\left(\frac{\partial f}{\partial T}\right)_{X,Y}dT+\left(\frac{\partial f}{\partial X}\right)_{T,Y}dX+\left(\frac{\partial f}{\partial Y}\right)_{T,X}dY$$From this, it follows that:
$$\left(\frac{\partial f}{\partial t}\right)_{x,y}=\left(\frac{\partial f}{\partial T}\right)_{X,Y}\left(\frac{\partial T}{\partial t}\right)_{x,y}+\left(\frac{\partial f}{\partial X}\right)_{T,Y}\left(\frac{\partial X}{\partial t}\right)_{x,y}+\left(\frac{\partial f}{\partial Y}\right)_{T,X}\left(\frac{\partial Y}{\partial t}\right)_{x,y}$$
But, in our problem, $$\left(\frac{\partial T}{\partial t}\right)_{x,y}=1$$$$\left(\frac{\partial X}{\partial t}\right)_{x,y}=c$$and $$\left(\frac{\partial Y}{\partial t}\right)_{x,y}=0$$
Therefore, $$\left(\frac{\partial f}{\partial t}\right)_{x,y}=\left(\frac{\partial f}{\partial T}\right)_{X,Y}+c\left(\frac{\partial f}{\partial X}\right)_{T,Y}$$
Now it's your turn. What do you get for $$\left(\frac{\partial f}{\partial x}\right)_{t,y}$$and$$\left(\frac{\partial f}{\partial y}\right)_{t,x}$$
$$\left(\frac{\partial f}{\partial x}\right)_{t,y}=\left(\frac{\partial f}{\partial X}\right)_{T,Y}$$
$$\left(\frac{\partial f}{\partial y}\right)_{t,x}=\left(\frac{\partial f}{\partial T}\right)_{X,Y}\left(\frac{\partial T}{\partial y}\right)_{t,x}+\left(\frac{\partial f}{\partial X}\right)_{T,Y}\left(\frac{\partial X}{\partial y}\right)_{t,x}+\left(\frac{\partial f}{\partial Y}\right)_{T,X}\left(\frac{\partial Y}{\partial y}\right)_{t,x}$$
$$\left(\frac{\partial f}{\partial y}\right)_{t,x}=\left(\frac{\partial f}{\partial Y}\right)_{T,X}$$
- 23,709
- 5,927
OK. Now of we substitute ##\rho## for f in the equation $$\left(\frac{\partial f}{\partial t}\right)_{x,y}=\left(\frac{\partial f}{\partial T}\right)_{X,Y}+c\left(\frac{\partial f}{\partial X}\right)_{T,Y}$$big dream said:$$\left(\frac{\partial f}{\partial x}\right)_{t,y}=\left(\frac{\partial f}{\partial T}\right)_{X,Y}\left(\frac{\partial T}{\partial x}\right)_{t,y}+\left(\frac{\partial f}{\partial X}\right)_{T,Y}\left(\frac{\partial X}{\partial x}\right)_{t,y}+\left(\frac{\partial f}{\partial Y}\right)_{T,X}\left(\frac{\partial Y}{\partial x}\right)_{t,y}$$
$$\left(\frac{\partial f}{\partial x}\right)_{t,y}=\left(\frac{\partial f}{\partial X}\right)_{T,Y}$$
$$\left(\frac{\partial f}{\partial y}\right)_{t,x}=\left(\frac{\partial f}{\partial T}\right)_{X,Y}\left(\frac{\partial T}{\partial y}\right)_{t,x}+\left(\frac{\partial f}{\partial X}\right)_{T,Y}\left(\frac{\partial X}{\partial y}\right)_{t,x}+\left(\frac{\partial f}{\partial Y}\right)_{T,X}\left(\frac{\partial Y}{\partial y}\right)_{t,x}$$
$$\left(\frac{\partial f}{\partial y}\right)_{t,x}=\left(\frac{\partial f}{\partial Y}\right)_{T,X}$$
what do we get?
And, if we substitute ##\rho V## for f in the equation $$\left(\frac{\partial f}{\partial y}\right)_{t,x}=\left(\frac{\partial f}{\partial Y}\right)_{T,X}$$
what do we get?
And, if we substitute ##\rho (U-c)## for f in the equation $$\left(\frac{\partial f}{\partial x}\right)_{t,y}=\left(\frac{\partial f}{\partial X}\right)_{T,Y}$$
what do we get?
big dream
$$\left(\frac{\partial (\rho U)}{\partial X}\right)_{T,Y}+\left(\frac{\partial (\rho V)}{\partial Y}\right)_{T,X}=\left(\frac{\partial \rho}{\partial T}\right)_{X,Y}+2c\left(\frac{\partial \rho}{\partial X}\right)_{T,Y}$$Chestermiller said:OK. Now of we substitute ##\rho## for f in the equation $$\left(\frac{\partial f}{\partial t}\right)_{x,y}=\left(\frac{\partial f}{\partial T}\right)_{X,Y}+c\left(\frac{\partial f}{\partial X}\right)_{T,Y}$$
what do we get?
And, if we substitute ##\rho V## for f in the equation $$\left(\frac{\partial f}{\partial y}\right)_{t,x}=\left(\frac{\partial f}{\partial Y}\right)_{T,X}$$
what do we get?
And, if we substitute ##\rho (U-c)## for f in the equation $$\left(\frac{\partial f}{\partial x}\right)_{t,y}=\left(\frac{\partial f}{\partial X}\right)_{T,Y}$$
what do we get?
- 23,709
- 5,927
Wrong. You wrote down the original continuity equation incorrectly. And ##\rho## is not a function of T.big dream said:$$\left(\frac{\partial (\rho U)}{\partial X}\right)_{T,Y}+\left(\frac{\partial (\rho V)}{\partial Y}\right)_{T,X}=\left(\frac{\partial \rho}{\partial T}\right)_{X,Y}+2c\left(\frac{\partial \rho}{\partial X}\right)_{T,Y}$$
big dream
$$\frac{\partial (\rho U)}{\partial X}-c\frac{\partial (\rho)}{\partial X}+\frac{\partial (\rho V)}{\partial Y}=\frac{\partial \rho}{\partial T}+c\frac{\partial \rho}{\partial X}$$Chestermiller said:Wrong. You wrote down the original continuity equation incorrectly. And ##\rho## is not a function of T.
so ##\rho## is not the function of T so
$$\frac{\partial (\rho)}{\partial T}=0$$
$$c\frac{\partial (\rho)}{\partial X}$$ should be canceled from both sides.
- 23,709
- 5,927
The correct statement of the continuity equation is:big dream said:$$\frac{\partial (\rho U)}{\partial X}-c\frac{\partial (\rho)}{\partial X}+\frac{\partial (\rho V)}{\partial Y}=\frac{\partial \rho}{\partial T}+c\frac{\partial \rho}{\partial X}$$
so ##\rho## is not the function of T so
$$\frac{\partial (\rho)}{\partial T}=0$$
$$c\frac{\partial (\rho)}{\partial X}$$ should be canceled from both sides.
$$\frac{\partial \rho}{\partial t}+\frac{\partial (\rho u)}{\partial x}+\frac{\partial (\rho v)}{\partial y}=0$$
big dream
$$\frac{\partial \rho(X)}{\partial T}=0$$ There t=T and X=x+ct. why so?Chestermiller said:The correct statement of the continuity equation is:
$$\frac{\partial \rho}{\partial t}+\frac{\partial (\rho u)}{\partial x}+\frac{\partial (\rho v)}{\partial y}=0$$
- 23,709
- 5,927
That is the coordinate transformation we defined.big dream said:$$\frac{\partial \rho(X)}{\partial T}=0$$ There t=T and X=x+ct. why so?
Or are you asking how I was able to recognize that this particular transformation of independent variables would bring about such great simplification in the analysis of the problem?
Last edited:
big dream
Yes, sir that would be very useful.Chestermiller said:That is the coordinate transformation we defined.
Or are you asking how I was able to recognize that this particular transformation of independent variables would bring about such great simplification in the analysis of the problem?
Similar threads
- Replies
- 2
- Views
- 2K
- Replies
- 4
- Views
- 2K
- Replies
- 1
- Views
- 2K
- · Replies 2 ·
- Replies
- 2
- Views
- 5K
- Replies
- 5
- Views
- 11K
- · Replies 15 ·
- Replies
- 15
- Views
- 5K
- · Replies 2 ·
- Replies
- 2
- Views
- 3K
- · Replies 1 ·
- Replies
- 1
- Views
- 2K