How to Integrate e^(1/x)?

  • Context: Undergrad 
  • Thread starter Thread starter iVenky
  • Start date Start date
  • Tags Tags
    Integral
Click For Summary

Discussion Overview

The discussion revolves around the integral of the function e^(1/x), particularly in the context of solving a differential equation. Participants explore the nature of the integral, its representation, and potential connections to special functions and series expansions.

Discussion Character

  • Technical explanation
  • Mathematical reasoning
  • Debate/contested

Main Points Raised

  • Some participants assert that the integral of e^(1/x) cannot be expressed in terms of elementary functions.
  • Others mention that it requires the use of a special function, specifically the exponential integral (Ei), and provide references to external resources.
  • One participant requests the original differential equation to check for potential mistakes in the problem setup.
  • There is a discussion about the relationships between hypergeometric functions and elliptic integrals, with some participants expressing uncertainty about these connections.
  • A proposed method involves expanding e^(1/x) into a power series and integrating term by term, although the accuracy of this method is not confirmed by others.

Areas of Agreement / Disagreement

Participants generally agree that the integral cannot be expressed in elementary terms, but there are competing views regarding the use of special functions and the validity of the power series approach. The discussion remains unresolved on the connections between hypergeometric functions and elliptic integrals.

Contextual Notes

Some limitations include the dependence on definitions of special functions and the unresolved nature of the relationships between different types of integrals and functions discussed.

iVenky
Messages
212
Reaction score
12
Well I was solving this differential equation and I had to find out the integral of e1/x


\int e<sup>1/x</sup> dx

Thanks in advance.

Why is this latex thing for integral not working ?
 
Physics news on Phys.org
The integral can not be expressed in terms of elementary functions.
 
Can you post the ODE, you might have done a mistake somewhere.

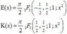
@Jean: Do you know if there's a connection (functional relation) between certain hypergeometric functions and the complete/incomplete elliptic integrals ? I suspect there might be one.
 
Last edited:
@ dextercioby:

The relationships between Complete Elliptic Integrals E(x), K(x) and Gauss Hypergeometric functions are shown in attachment.
I don't know about such relationship for Incomplete Elliptic Integrals. I suppose that it would be much more complicated to develop those integrals into hypergeometric series. If possible, most likely this would involve hypergeometic functions of higher level than 2F1.
 

Attachments

  • Elliptic vs hypergeometric.JPG
    Elliptic vs hypergeometric.JPG
    4.7 KB · Views: 900
If all you need is *an answer* then...

step 1: expand e^x into a power series: e^x = 1 + x + (1/2!)x^2 + (1/3!)x^3 + ...
step 2: substitute 1/x for x: e^(1/x) = 1 + x^-1 + (1/2!)x^-2 + (1/3!)x^-3 + ...
step 3: integrate each term of the power series: x + ln x -(1/2!)x^-1 - (1/2)(1/3!)x^-2 +...

if i made an algebra mistake, sorry... but the idea is clear.
 

Similar threads

  • · Replies 11 ·
Replies
11
Views
2K
  • · Replies 2 ·
Replies
2
Views
3K
  • · Replies 8 ·
Replies
8
Views
4K
  • · Replies 6 ·
Replies
6
Views
2K
  • · Replies 27 ·
Replies
27
Views
3K
  • · Replies 4 ·
Replies
4
Views
3K
  • · Replies 8 ·
Replies
8
Views
2K
  • · Replies 3 ·
Replies
3
Views
2K
Replies
5
Views
4K
  • · Replies 3 ·
Replies
3
Views
2K