I A question about invariant mass

  • #51
liuxinhua said:
To facilitate explanation, the system is simplified into two particles. For these two particles, the static mass of a single particle is m0. Under the action of external forces, the distance between two particles is invariable as a rigid body.
Ok, with the understanding that the distance is the distance in the sense of Born rigid motion.

liuxinhua said:
In K, at time t0, the two particles are rest in K, and the system's invariant mass is 2m0.
Yes

liuxinhua said:
In K, at time t1, the velocity of the two particles is different, one is u1, another is u2.
Yes.

liuxinhua said:
and the system's invariant mass is greater than 2m0.
No. This is not a calculation. Please show your calculation. Exactly how much is the invariant mass? When you calculate it you will find that your claim is wrong.

liuxinhua said:
Is that enough to explain:calculate in K, the invariant mass of the rigid body at time t1is not equal to it at time t0
No. You need to actually do this calculation. This is not calculating, this is “hand waving”
 
Physics news on Phys.org
  • #52
For these two particles, the static mass of a single particle is m0.
“In K, at time t1, the velocity of the two particles is different, one is u1, another is u2. The system's invariant mass is greater than 2m0.” This is a ready-made conclusion.If necessary, I can list its calculations

Also can see, https://en.wikipedia.org/wiki/Invariant_mass
Because the invariant mass includes the mass of any kinetic and potential energies which remain in the center of momentum frame, the invariant mass of a system can be greater than sum of rest masses of its separate constituents.
 
  • #53
liuxinhua said:
This is a ready-made conclusion.If necessary, I can list its calculations
I believe this is the fourth time I have asked you to provide those calculations. Your ready made conclusion is wrong, and at this point your unwillingness to post the calculations is exceptionally irritating.

If you are correct, then why did you simply not post the calculations after the first request? Now, if you are wrong, instead of me being willing to patiently help you learn I am going to already be exasperated and unwilling to help, and if you are right I am going to be exasperated and unwilling to learn. Either way you have already exhausted my goodwill in this conversation. That is not a good strategy. This is now a more antagonistic conversation than it needed to be.
 
Last edited:
  • Like
Likes vanhees71 and weirdoguy
  • #54
I'm sorry. I hope Dale has not left because of anger.
I do not know how to issue formulas in the forum. So I want to use character to explain directly.
But now it seems that words can not explain this problem.
I'll just use a picture. Due to the limitation of the size of the file in the forum, it may not be clear enough.

For these two particles, the static mass of a single particle is m0.
In K, at time t1, the velocity of the two particles is different, one is u1, another is u2. The system's invariant mass is greater than 2m0.

212403-72d89186b3d00e245c681ef884c0bd08.jpg

212404-89088e95512c7565fb4fe02ac7b4a352.jpg

212405-038383ee9ed6e418f5cd983eefe2f695.jpg
212406-64d1bc4f0b7209b999629fa6f48360db.jpg
 

Attachments

  • 1.jpg
    1.jpg
    21.1 KB · Views: 392
  • 2.jpg
    2.jpg
    29.9 KB · Views: 318
  • 3.jpg
    3.jpg
    18.8 KB · Views: 373
  • 4.jpg
    4.jpg
    16.3 KB · Views: 349
Last edited:
  • #55
liuxinhua said:
A hydrogen atom is rest. If we consider the structure of hydrogen, the distance between electrons and nuclei is changing.

Yes, but that doesn't make it not a bound system. As others have already commented, your definition of "bound system" is much too strict. To give a Newtonian example, the Sun and its planets constitute a bound system, but the distances between the Sun and planets are changing.
 
  • #56
liuxinhua said:
I'm sorry. I hope Dale has not left because of anger.

No, he's just telling you that you need to actually do the calculations and show your work.

liuxinhua said:
I do not know how to issue formulas in the forum.

Use the PF LaTeX feature:

https://www.physicsforums.com/help/latexhelp/

We can't comment on equations in images.
 
  • #57
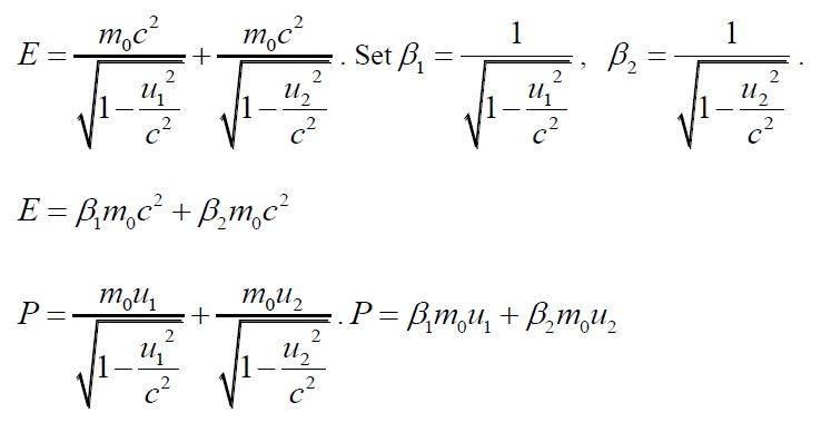
For these two particles, the static mass of a single particle is m0.
In K, at time t1, the velocity of the two particles is different, one is u1, another is u2. The system's invariant mass is greater than 2m0.

Set ##β_1=\frac 1 {\sqrt {1 - \frac {u_1^2} {c^2}}}## ##β_2=\frac 1 {\sqrt {1 - \frac {u_2^2} {c^2}}}##

##E=\frac {{m_0} {c^2}}{\sqrt {1 - \frac {u_1^2} {c^2}}}+\frac {{m_0} {c^2}}{\sqrt {1 - \frac {u_2^2} {c^2}}}##

##E=β_1 {m_0} {c^2} +β_2 {m_0} {c^2}##

##P=β_1 {m_0} { u_1} +β_2 {m_0} { u_2}##

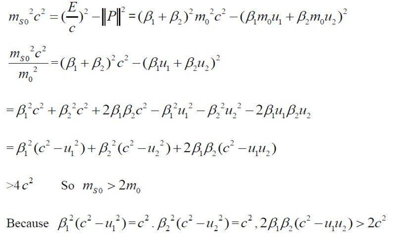
##{m_{i0}^2}{c^2}=(\frac E {c})^2-{\left\| p \right\|}^2##

##=(β_1+β_2)^2{m_0^2}{c^2}-(β_1 m_0 u_1 +β_2 m_0 u_2) ^2##

##\frac {m_{i0}^2c^2} {m_0^2}= (β_1+β_2)^2{c^2}-(β_1 u_1 +β_2 u_2) ^2##

##={β_1}^2c^2+{β_2}^2c^2+2β_1β_2c^2-{β_1}^2{u_1}^2-{β_2}^2{u_2}^2-2β_1β_2 u_1 u_2##

##={β_1}^2(c^2-{u_1}^2)+{β_2}^2(c^2-{u_2}^2)+2{β_1}{β_2}(c^2-{u_1}{u_2})##

##>4 c^2 ## , So, ##m_{i0}>2 m_0##

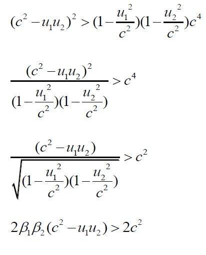
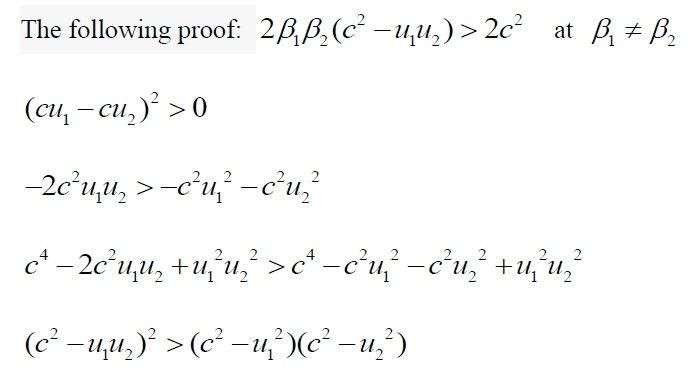
Because ##{β_1}^2(c^2-{u_1}^2)= c^2##. ##{β_2}^2(c^2-{u_2}^2)= c^2##. ##2{β_1}{β_2}(c^2-{u_1}{u_2})>2 c^2##The following proof: ##2{β_1}{β_2}(c^2-{u_1}{u_2})>2 c^2## at ##{β_1}≠{β_2}##

## (c {u_1}- c {u_2})^2>0##

## -2c^2 {u_1} {u_2}> -c^2 {u_1}^2 - c^2{u_2}^2##

## c^4-2c^2 {u_1} {u_2}+{u_1}^2{u_2}^2> c^4- c^2 {u_1}^2 - c^2{u_2}^2+{u_1}^2{u_2}^2##

## (c^2-{u_1}{u_2})^2> (c^2-{u_1}^2) (c^2-{u_2}^2)##

## (c^2-{u_1}{u_2})^2> (1-\frac {{u_1}^2} {c^2} )(1-\frac {{u_2}^2} {c^2}) c^4##

## \frac {(c^2-{u_1}{u_2})^2} {(1-\frac {{u_1}^2} {c^2} )(1-\frac {{u_2}^2} {c^2})}> c^4##

## \frac {(c^2-{u_1}{u_2})} {\sqrt{{(1-\frac {{u_1}^2} {c^2} )(1-\frac {{u_2}^2} {c^2})}}}> c^2##

## 2{β_1}{β_2} {(c^2-{u_1}{u_2})}> 2 c^2##
 
Last edited:
  • #58
liuxinhua said:
In K, at time t1, the velocity of the two particles is different, one is u1, another is u2.

Correct.

liuxinhua said:
The system's invariant mass is greater than 2m0.

Incorrect.

What your calculation shows is that the energy of the system composed of the two particles, in K, is greater when the two particles are moving. But if the particles are moving, energy divided by ##c^2## is not equal to invariant mass. The particles also have nonzero momentum in K, and you have to take that into account in calculating the invariant mass.

Now go look up the correct formula for invariant mass, including both energy and momentum, and do a correct calculation of the invariant mass of the system composed of the two particles. You will see that it is unchanged.

(I am assuming that the two particles in question are being accelerated in a straight line in a Born rigid manner, so that the distance between them, in either of their instantaneous rest frames, is constant. As far as I can tell, that is the case you are calculating, but you have not been very clear about that.)
 
  • #59
In any given inertial frame, an accelerating Born rigid body has different proper acceleration at different positions, therefore velocities of constituent elements don't remain that same over time, therefore invariant mass changes. This is no issue because a Born rigid object is not a closed system - there is differential force exerted on different parts to maintain such rigidity. To have system including an accelerating born rigid object that conserves momentum, for example, you must include something else that applies force to each part of the body. The invariant mass of this overall system will remain constant, but the invariant mass of the born rigid object will not be constant.

What is true is that the definition of Born rigidity requires that in the MCIF (momentarily comoving inertial frame) of any constituent at any time, all parts of the body are momentarily at rest, thus the invariant mass at this moment in this inertial frame is the sum of rest masses. However, for any given such inertial frame, this is true only for one moment.
 
  • #60
I use
##{m_{i0}^2}{c^2}=(\frac E {c})^2-{\left\| p \right\|}^2##
not
##{m_{i0}^2}{c^2}=(\frac E {c})^2##
I have take the nonzero momentum into account in calculating the invariant mass.
PeterDonis said:
But if the particles are moving, energy divided by ##c^2## is not equal to invariant mass. The particles also have nonzero momentum in K, and you have to take that into account in calculating the invariant mass.
##\sum E=\frac {{m_0} {c^2}}{\sqrt {1 - \frac {u_1^2} {c^2}}}+\frac {{m_0} {c^2}}{\sqrt {1 - \frac {u_2^2} {c^2}}}##
##\sum P=β_1 {m_0} { u_1} +β_2 {m_0} { u_2}##
 
  • #61
Note, it is true that you cannot have two particles of different velocities in some inertial frame have invariant mass equal to sum of rest masses. This is easy to show with 4-vectors. You desire that norm (m1 U1 +m2 U2) = m1 + m2. This requires that U1 dot U2 = 1. This requires that the vectors are equal.
 
Last edited:
  • #62
PAllen said:
Note, it is true that you cannot have two particles of different velocities in some inertial frame have invariant mass equal to sum of rest masses. This is easy to show with 4-vectors. You have that norm (m1 U1 +m2 U2) = m1 + m2. This requires that U1 dot U2 = 1. This requires that the vectors are equal.

At floor 42
liuxinhua said:
The calculation shows that a rigid body does not rotate and accelerates along the x direction, but its invariant mass will change.

U1 and U2 is along the x direction.
The same positive and negative
U1 dot U2 = 1
 
Last edited:
  • #63
liuxinhua said:
U1 and U2 is along the x direction.
The same positive and negative
U1 dot U2 = 1
You are thinking of 3 vectors and the Euclidean dot product. I was referring to 4-vectors and the Minkowski dot product. The comment was meant for someone with the appropriate background. Please read about 4-vectors before commenting, as your comment above indicates you have not.

Very briefly, the notation U means a unit 4-vector. The dot product of two unit timelike 4-vectors will result in gamma of their relative velocity, noting that this is as determined by relativistic velocity addition/subtraction. The result is always positive as long as the two vectors are both future pointing or both past pointing. The result is 1 only if the the unit vectors are the same, otherwise it is greater than 1. Note that use of 4 vectors unifies energy and momentum into one vector quantitiy.
 
  • #64
Thank PAllen very much for pointing out my mistakes and carelessness. I will recalculate my process.

##E_1=γ_1 {m_0} {c^2}##

##\frac {i E_1} c =iγ_1 {m_0} c##

## u_{1x}= u_1####P_1= \begin{bmatrix}
γ_1 m_0 u_{1} \\
0 \\

0 \\
iγ_1 m_0c
\end{bmatrix}####P= \begin{bmatrix}
γ_1 m_0 u_{1}+γ_2 m_0 u_{2} \\
0 \\

0 \\
iγ_1 m_0c+ iγ_2 m_0c
\end{bmatrix}##

##{\left\| P \right\|}^2 =\left| (γ_1 m_0 u_1 +γ_2 m_0 u_2) ^2– (γ_1 +γ_2) ^2 {m_0}^2c^2 \right|##

##{\left\| P \right\|}^2 ≠(γ_1 m_0 u_1 +γ_2 m_0 u_2) ^2##

I have change βto γ
 
Last edited:
  • #65
Don’t you mean gamma where you have beta?
 
  • #66
I have a new puzzle .

A particle is rest in ##K##. Its rest mass is ## m_0##

How much is its invariant mass##m_{i0}##?

##E= {m_0} {c^2}##

##P= \begin{bmatrix}
0 \\
0 \\

0 \\
i m_0c
\end{bmatrix}##

##{\left\| P \right\|}^2 = \left|-{m_0} ^2{c^2}\right|={m_0} ^2{c^2}##

##{m_{i0}^2}{c^2}=(\frac E {c})^2-{\left\| P \right\|}^2##

##= {m_0}^2 {c^2}-{m_0} ^2{c^2}##

##=0##If ##m_{i0}=0\ ? ##
 
  • #67
liuxinhua said:
A particle is rest in ##K##. Its rest mass is ##m_0##

How much is its invariant mass ##m_{i0}##?

It's ##m_0##.

You wrote ##P## as a 4-vector, not a 3-vector, so the invariant mass in this formalism is not ##E^2 - P^2##, it's just the norm of ##P##, which, in natural units, is just ##m_0##. (If you insist on using units in which ##c## is not 1, you need to divide the norm by ##c##.)
 
  • #68
PeterDonis said:
It's ##m_0##.

You wrote ##P## as a 4-vector, not a 3-vector, so the invariant mass in this formalism is not ##E^2 - P^2##, it's just the norm of ##P##, which, in natural units, is just ##m_0##. (If you insist on using units in which ##c## is not 1, you need to divide the norm by ##c##.)

We confirm a thing first .

##P## as a 4-vector, ##p## as a 3-vector.

##{m_{i0}^2}{c^2}=(\frac E {c})^2-{\left\| P \right\|}^2## is right .

Or ##{m_{i0}^2}{c^2}=(\frac E {c})^2-{\left\| p\right\|}^2## is right.

Or just ##{m_{i0}^2}{c^2}={\left\| P\right\|}^2## is right.Of course in natural units where c = 1,

##{m_{i0}^2}= E ^2-{\left\| P \right\|}^2## is right.

Or ##{m_{i0}^2}= E^2-{\left\| p\right\|}^2## is right.

Or just ##{m_{i0}^2}={\left\| P\right\|}^2## is right. In fact ## E^2-{\left\| p\right\|}^2={\left\| P\right\|}^2##I think :

##{m_{i0}^2}{c^2}=(\frac E {c})^2-{\left\| p\right\|}^2## is right.
In natural units where c = 1,
##{m_{i0}^2}= E^2-{\left\| p\right\|}^2## is right.I don’t know whether PAllen and PeterDonis is the same means with me .

My previous calculation on the 57 floor use ##{m_{i0}^2}{c^2}=(\frac E {c})^2-{\left\| p\right\|}^2##

(##{m_{i0}^2}= E^2-{\left\| p\right\|}^2##).

On the 57 floor, there are two clerical errors. ##β## should be ##γ##

##P=γ_1 {m_0} { u_1} +γ_2 {m_0} { u_2}## should be ##p=γ_1 {m_0} { u_1} +γ_2 {m_0} { u_2}##
 
  • #69
liuxinhua said:
##P## as a 4-vector, ##p## as a 3-vector.

Ok.

liuxinhua said:
##{m_{i0}^2}{c^2}=(\frac E {c})^2-{\left\| P \right\|}^2## is right .

No.

liuxinhua said:
Or ##{m_{i0}^2}{c^2}=(\frac E {c})^2-{\left\| p\right\|}^2## is right.

Yes.

liuxinhua said:
Or just ##{m_{i0}^2}{c^2}={\left\| P\right\|}^2## is right.

Yes, since ##{\left\| P\right\|}^2 = (\frac E {c})^2-{\left\| p\right\|}^2##.
 
  • Like
Likes vanhees71
  • #70
I'd also like to point out some of the usual sign conventions that are different than what the OP used

Modifying wiki's sign conventions to use "i c t", https://en.wikipedia.org/wiki/Four-momentum, we'd write the following for the 4-momentum, which we'll calll ##\vec{P}##, where E is the energy, p_x, p_y, and p_z are the x, y, and z components of the 3-momentum.

We've basically just added the "i" to wiki's approach, wiki doesn't use the i.

$$
\vec{P}= \begin{bmatrix}
i E / c \\
p_x \\

p_y \\
p_z
\end{bmatrix}
$$

Here ##p_x, p_y, p_z## of the 3-momentum, and ##\vec{P}## is the energy- momentum 4 vector.

Then the squared magnitude of the 4-vector, ##\vec{P} \cdot \vec{P}##, is just the sum of the squares of it's components, giving

$$\vec{P} \cdot \vec{P} = -E^2/c^2 + p_x^2 + p_y^2 + p_z^2$$

given that ##i^2 = -1##

With this sign convention ##\vec{P} \cdot \vec{P} = -m_0^2 c^2##, if I haven't made an error with the factors of c, which I usually set to 1, personally. The simplest way to see this is to set all the momentum components to zero. Then ##\vec{P} \cdot \vec{P} = -(m_0^2 c^4)/c^2##

This is equivalent to Wiki's relationship

$$
E^2/c^2 = p_x^2 + p_y^2 + p_z^2 + m_0^2 c^2
$$

with a re-arrangement of terms. As far as the factors of c goes, ##m_0 c## has units of momentum, mass times velocity, so ##m_0^2 c^2## has units of momentum squared, which is what we want. The minus sign comes from the -+++ metric signature, which is convenient as we only have one factor of "i", in the 4-vector.

Note that we can write ##E = \gamma m_0 c^2##, ##p_x = \gamma m_0 v_x##, ##p_y = \gamma m_0 v_y##, ##p_z = \gamma m_0 v_z##, where ##\gamma## is the relativistic gamma factor, ##1/\sqrt{1- (v_x/c)^2 - (v_y/c)^2 - (v_z/c)^2}##.

The relativistic gamma factor was apparently omitted in the OP's original formulation I believe. Wiki incoroporates it in their dicusssion in a different way.
 
  • #71
Now, we can sure: The invariant mass of a “Rigid body or Born rigid body" can’t keep constant when it is accelerated.
Any rigid body is bound systems.
The invariant mass of bound systems can’t keep constant when it is accelerated.

Wikipedia article may need to be modified.
https://en.wikipedia.org/wiki/Mass_in_special_relativity
proposed:
Conservation of invariant mass also requires the system to be enclosed so that no heat and radiation (and thus invariant mass) can escape. As in the example above, a physically enclosed or bound system does not need to be completely isolated from external forces for its mass to remain constant, because for bound systems these merely act to change the inertial frame of the system or the observer.Ibix said:
That seems to me to be saying that the mass of a bound system can be constant even when not isolated from external forces, not that it must be constant even when not isolated.
Ibix think :
the (invariant) mass of a bound system can be constant even when not isolated from external forces.

I think it means: sure, not can.
Because if it is “can”,then, for any system , its invariant mass can be constant for some process.
So if it is “can”, they say this here “That seems to me to be saying that the mass of a bound system can be constant even when not isolated from external forces, not that it must be constant even when not isolated. ”has no means.
 
  • #72
liuxinhua said:
Now, we can sure: The invariant mass of a “Rigid body or Born rigid body" can’t keep constant when it is accelerated.

That's not quite what has been shown in this thread. What has been shown is that the invariant mass of a spatially extended body is frame-dependent.

The invariant mass of a body undergoing Born rigid acceleration, relative to a fixed inertial frame, does indeed increase as the body accelerates; as @PAllen noted some posts back, this is fine because the body by itself is not a closed system, there is also whatever is producing the acceleration.

However, as @PAllen also noted some posts back, the invariant mass of a body undergoing Born rigid acceleration, in an inertial frame momentarily comoving with the body, stays the same as it accelerates; it is just the sum of the rest masses of the constituents. Intuitively, this is what most people probably think of when they are asked what happens to the invariant mass of a body as it accelerates. But of course this requires changing the inertial frame you are evaluating the invariant mass relative to, as the body accelerates.

So before one can even make statements about the invariant mass of a spatially extended body, one has to specify what inertial frame is being used.
 
  • Like
Likes PAllen
  • #73
Let me emphasize this: the very notion of what a body is is frame dependent, to the extent you want treat it as a 3 d spatial object. This is simply because different frames use completely different sequences of sets of events to describe the body’s history due to relativity of simultaneity. The invariant notion of an extended body is world tube containing worldlines of constituent elements. In the general case, you cannot define any meaningful notion of invariant mass, even in SR. Only in the special case of Born rigid object do you have the feature that an MCIF of one world line is also an MCIF for all the world lines, and thus you can give a mass for the sequence of different MCIFs, and this mass does not change, and is the sum of rest masses. However, for any frame in which the rigid body is not at rest [edit: and not moving inertially], the invariant mass per that frame is greater than the sum of rest masses.

This, of course, suggests a fundamental limitation of the notion of invariant mass for extended bodies. The mass is invariant given a specified slice through the world tube. But in general, there is no natural slice through the world tube. It is entirely frame dependent.
 
Last edited:
  • Like
Likes PeterDonis
  • #74
I think there are clearly inaccuracies in the Wikipedia description, not just bad wordings. This is not surprising and I long ago gave up on trying to maintain wiki accuracy on areas I know.

[edit: perhaps all that’s needed is a statement that an accelerating particle or body is not a closed or isolated system; you must include the sources of acceleration]
 
Last edited:
  • #75
I guess another point worth mentioning is that invariant mass for systems of particles in particle physics is well defined because the extent of the interaction region is tiny. In contrast, the problematic case of realistic extended bodies accelerating to substantial fractions of c per some observer have never been achieved.
 
Last edited:
  • #76
pervect said:
I'd also like to point out some of the usual sign conventions that are different than what the OP used

Modifying wiki's sign conventions to use "i c t", https://en.wikipedia.org/wiki/Four-momentum, we'd write the following for the 4-momentum, which we'll calll ##\vec{P}##, where E is the energy, p_x, p_y, and p_z are the x, y, and z components of the 3-momentum.

We've basically just added the "i" to wiki's approach, wiki doesn't use the i.
Wikipedia is better than many people think! At least they seem not to commit the sin to use the outdated "##\mathrm{i}c t##" formulation of SR. It's not plain wrong but very confusing, particularly for me as I'm involved in relativistic many-body QFT. There time is real as it must be. It's real since the very beginning of modern physics! So there's a real-time formalism, applicable to all of physics and a mathematical trick, called imaginary-time or Matsubara formalism, which simplifies calculations tremendously in thermal equilibrium, where you need the vertical part of the extended Schwinger-Keldysh time contour only. Another use of imaginary-time formulations is also vacuum QFT (which is of coarse also thermal equilibrium at 0 temperature and 0 chemical potentials), where the Euclidean formulation helps to do some calculations. Of course you have to pay a prize, because at the end you have to analytically contnue back to real time quantities, which is everything than straight forward. This holds the more true for lattice calculations which also are done in the imainary-time formulation for obvious reasons.
 
  • #77
PAllen said:
In the general case, you cannot define any meaningful notion of invariant mass, even in SR. Only in the special case of Born rigid object do you have the feature that an MCIF of one world line is also an MCIF for all the world lines, and thus you can give a mass for the sequence of different MCIFs, and this mass does not change, and is the sum of rest masses. However,
Is there have any detailed information ?
What term is MCIF abbreviated?
Many of the information I saw was not in English.
So I may have some low-level problems. Excuse me.
 
  • #78
PeterDonis said:
So before one can even make statements about the invariant mass of a spatially extended body, one has to specify what inertial frame is being used.

Always measure the invariant mass of this born rigid body in ##K##, the invariant mass of this born rigid body is changed.
 
  • #79
liuxinhua said:
Is there have any detailed information ?
What term is MCIF abbreviated?
Many of the information I saw was not in English.
So I may have some low-level problems. Excuse me.
MCIF is momentarily comoving inertial frame.

Not sure of a good reference for relativistic treatment of extended bodies, other than the special case of Born rigid motion.
 
  • #80
PAllen said:
[edit: perhaps all that’s needed is a statement that an accelerating particle or body is not a closed or isolated system; you must include the sources of acceleration]
That's indeed a very important point. Many misunderstandings (at least I had them, when I started to learn relativity) comes from not carefully keeping in mind that defining the total energy and momentum of extended systems is difficult. The only exception are indeed closed systems.

Math is, as always, your friend, and it's easy to see, where this problem comes from. First of all the natural description of relativistic physics are local laws for fields (classical and quantum, but I'll stay here within the realm of classical physics), i.e., you usually deal with local field equations of motion like, e.g., classical electrodynamics, where you describe matter naturally in terms of continuum mechanics, i.e., in terms of the energy-momentum tensor and electric charge and current densities.

Now, if you want to consider extended objects, you have to somehow integrate in a meaningful way the corresponding densities, well defined as relativistic field quantities. The mathematical difficulty is that naively taking spatial integrals in a given (inertial) reference frames in general do not lead to tensor quantities, but only when you have a conserved quantity in a closed system.

E.g. if you have electric charges and currents, it's described by the four-current density ##j^{\mu}##, which fulfills (from the Maxwell equations alone due to Noether's 2nd theorem/gauge invariance) the continuity equation,
$$\partial_{\mu} j^{\mu}=0.$$
Then the total charge of the system is given by
$$Q=\int_{\mathbb{R}^3} \mathrm{d}^3 r j^0(t,\vec{r}).$$
The equation of continuity immediately guarantees that this is a conserved quantity, i.e.,
$$\dot{Q}=\int_{\mathbb{R}^3} \mathrm{d}^3 r \partial_t j^0(t,\vec{r})=-\int_{\mathbb{R}^3} \mathrm{d}^3 r \vec{\nabla} \cdot \vec{j}(t,\vec{r}=0,$$
because for realistic situation the current goes to 0 at infinity sufficiently large so that the surface integral at infinity from Gauss's theorem vanishes.

Nothing in the above calculation, however ensures that ##Q## is a scalar. But that's also easy to prove from the equation of continuity! Just use the 4D Gauss's theorem. As integration four-volume take a "cylindrical" volume with two time-like bottom and top non-overlapping hyper-surfaces and let the space-like "rim" of the cylinder go to infinity. Then the continuity equation shows
$$\int_{V^{(4)}} \mathrm{d}^4 x \partial_{\mu} j^{\mu}(t,\vec{x})=\int_{\partial V^{(4)}} \mathrm{d}^3 \sigma_{\mu} j^{\mu}(t,\vec{x})=0.$$
This shows that the integral over the top and bottom time-like hypersurface exactly cancel. As one of the hypersurfaces you can choose ##t=\text{t}_0=\text{const}## of the "lab frame" of the observer, which shows that the quantity which you get from integrating over either the top or the bottom is simply ##Q##, and this value doesn't depend on the chosen time-like hypersurface. That's why ##Q## is a Lorentz scalar, and it's only a Lorentz scalar, because the equation of continuity holds.

In the same way it's clear that energy and momentum are field-theoretically described by the (symmetric) energy-momentum tensor ##T^{\mu \nu}##, and the total momentum
$$P^{\mu}=\int_{\mathbb{R}^3} \mathrm{d}^3 r T^{\mu 0}(t,\vec{r})$$
is in general only a four-vector, if ##\partial_{\nu} T^{\mu \nu}=0##, i.e., if you consider the total energy-momentum tensor of a closed system. Then the total energy and momentum defined by the non-covariantly written integral is nevertheless a four-vector, and it's conserved: ##\dot{P}^{\mu}=0##.
 
  • #81
PAllen said:
MCIF is momentarily comoving inertial frame.

Not sure of a good reference for relativistic treatment of extended bodies, other than the special case of Born rigid motion.
A nice example is the following paper on the problem of radiation reaction of classical "point charges". Of course there's no such thing as a classical point charge, but the paper treats the case of an extended charged quasi-rigid body as a model of a classical "point charge", including the necessary Poincare stresses with a very careful analysis also of the issue of self-energy and momentum:

https://arxiv.org/abs/physics/0508031v3
 
  • Like
Likes PAllen
  • #82
liuxinhua said:
Always measure the invariant mass of this born rigid body in ##K##, the invariant mass of this born rigid body is changed.

Yes, I've already said that we agree on that now. But measuring everything relative to one fixed ##K## is not the only possible choice.
 
  • #83
In my previous remarks, the Bound system I mentioned refers to Born rigid system.
Here, this should be a more formal definition of Born rigid body on three-dimensional

Under Newton's classical space-time, the Born rigid system is a system that the distance between any components not changes over time. It can also be understood as: there is no relative movement between any components.

Born rigid system is actually a rigid body. In the special relativity, rigid bodies do not exist.

And The distance between objects needs the coordinates of two positions measuring at the same time. But the simultaneity is no longer absolute. Therefore, we must redefine Born rigid system in the special theory of relativity.

There is no transformation between matter and energy in the Born rigid system.

Defined Born rigid system as: Give a unique markup for every component of the system, such as Ma, Mb…. For every component of the system, such as Ma, it may be non inertial motion and it has its own original timeτ. For every component and its every original time, such as Ma at time τ1, there exists an inertial reference frameK1. And at time t1 of K1 the component of the system Ma is rest in K1. Measured in K1 at time t1, the system has a material distribution and shape. For Ma at timeτ2, there exists another inertial reference frame K2. And at time t2 of K2 the component of the system Ma is rest inK2. Measured in K2 at timet2, the system has another material distribution and shape. If the material distribution and shape of the system don’t change with time τ(τ1,τ2…), the system is a Born rigid system.
 
  • #84
liuxinhua said:
Born rigid system is actually a rigid body.

No, it is a body undergoing rigid motion. There is a difference.

liuxinhua said:
In the special relativity, rigid bodies do not exist.

In SR, bodies which respond instantly to applied forces all throughout the body do not exist; effects of applied forces, like anything else, can only propagate through the body at the speed of light (or much slower, in the case of most actual bodies).

But in SR, it is perfectly possible for Born rigid motions of bodies to exist. You just have to arrange the applied forces appropriately on the different parts of the body. (Or, you can apply a constant force at one part and wait for the body to reach equilibrium; for an elastic body where the applied force is not above the elastic limit, the equilibrium motion of the body will in general be Born rigid.)

liuxinhua said:
Defined Born rigid system as

Your definition is much too cumbersome. See here:

https://en.wikipedia.org/wiki/Born_rigidity#Definition
 
Back
Top