Calculating Fluid Flow: Help with Q, A1, A2, Delta h, g & C

Click For Summary
SUMMARY

The discussion focuses on the calculation of fluid flow rates using the orifice flow equation, specifically addressing the variables Q (flow rate), A1 and A2 (areas), Delta h (head loss), g (gravity), and the discharge coefficient C_d. Participants emphasize the importance of understanding the relationship between these variables and provide references to authoritative texts such as Perry's Chemical Engineers Handbook (8th Edition) and ASME Fluid Meters for comprehensive insights into orifice calculations. The conversation highlights the necessity of distinguishing between incompressible and compressible flow conditions when applying these equations.

PREREQUISITES
  • Understanding of fluid dynamics principles
  • Familiarity with orifice flow equations
  • Knowledge of discharge coefficients (C_d)
  • Basic grasp of head loss and pressure drop concepts
NEXT STEPS
  • Research the derivation of the orifice flow equation
  • Study the impact of discharge coefficients on flow rates
  • Learn about the differences between incompressible and compressible flow
  • Explore the contents of ASME Fluid Meters for detailed applications
USEFUL FOR

Hydro engineers, fluid mechanics students, and professionals involved in fluid flow calculations will benefit from this discussion, particularly those seeking to deepen their understanding of orifice flowmeter applications and calculations.

tomtomtom1
Messages
160
Reaction score
8
Hello all

I was hooping someone could help shed some light on the following:-

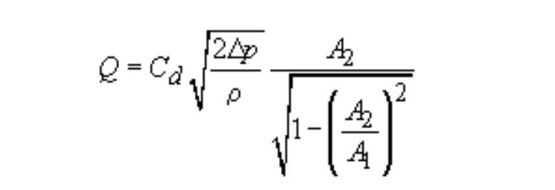
I have the equation shown below:

flow rate.png


This equation relates to flow rates of fluids.

I know:-
Q = flow rate
A1 & A2 = Area
Delta h = Difference in Head Loss
g = Gravity

But what does C relate to or even mean?

Can anyone working in the field of hydro engineering or working with fluid flow help?

Thank you.
 
Engineering news on Phys.org
It looks a lot like this orifice flow equation:
Orifice.jpg

Which is derived here: https://www.efunda.com/formulae/fluids/calc_orifice_flowmeter.cfm. I have not gone through the derivation myself, so don't know if swapping A1 and A2 changes it to match yours. Yours has head loss, which is equal to ##\Delta p / \rho##. The ##C_d## would be the discharge coefficient. Good search terms are orifice flow equation and orifice discharge coefficient.

The following are standard reference books that have sections on orifice calculations:
Perry's Chemical Engineers Handbook is currently in the 8th Edition. My 5th Edition has orifices, so the 8th should also.
Marks' Standard Handbook for Mechanical Engineers is currently in the 12th Edition. My 8th Edition has orifices, so the 12th should also.
Unit Operations of Chemical Engineering by McCabe and Smith is currently in the 7th Edition. My 3rd Edition has orifices, so the 7th should also.
And THE definitive source: ASME Fluid Meters Their Theory and Application. It's 273 pages of more than most people ever want to know about orifice, venturi, and other types of fluid meters.

Any of the above references is a better, and more complete, source of orifice flowmeter information than any of the web sites that I found. It makes a difference whether the flow is incompressible, compressible, or sonic. And these sources go into the details of which equation to use in each case.

Nitpick: It's head loss or pressure drop or pressure difference, but not difference in head loss.
 
Can you provide the source of your equation?
 

Similar threads

  • · Replies 1 ·
Replies
1
Views
2K
  • · Replies 8 ·
Replies
8
Views
2K
  • · Replies 3 ·
Replies
3
Views
6K
  • · Replies 1 ·
Replies
1
Views
2K
  • · Replies 2 ·
Replies
2
Views
3K
  • · Replies 6 ·
Replies
6
Views
3K
Replies
6
Views
2K
  • · Replies 45 ·
2
Replies
45
Views
7K
  • · Replies 5 ·
Replies
5
Views
3K
  • · Replies 6 ·
Replies
6
Views
14K