Calculating Stress Along a Cantilever Beam

  • Thread starter Thread starter X1088LoD
  • Start date Start date
  • Tags Tags
    Beam Stress
Click For Summary
SUMMARY

The discussion focuses on calculating stress along a cantilever beam, specifically using the formula stress = (M*c)/I, where M represents the bending moment, c is the distance from the neutral axis to the outer fibers (1.5 mm in this case), and I is the moment of inertia (56.25 mm4). The beam dimensions are 250 mm long, 3 mm high, and 25 mm deep, with a modulus of elasticity E of 68927 N/mm2. The user seeks confirmation on the correctness of their approach to determining the stress along the beam.

PREREQUISITES
  • Understanding of cantilever beam mechanics
  • Familiarity with stress and strain concepts
  • Knowledge of bending moment calculations
  • Proficiency in using Roark's Formulas for Stress and Strain
NEXT STEPS
  • Review the derivation of the bending moment for cantilever beams
  • Explore advanced applications of Roark's Formulas for Stress and Strain
  • Learn about the impact of varying beam dimensions on stress distribution
  • Investigate finite element analysis (FEA) tools for stress analysis
USEFUL FOR

Mechanical engineers, structural analysts, and students studying beam mechanics who are involved in stress analysis of cantilever beams.

X1088LoD
Messages
21
Reaction score
0
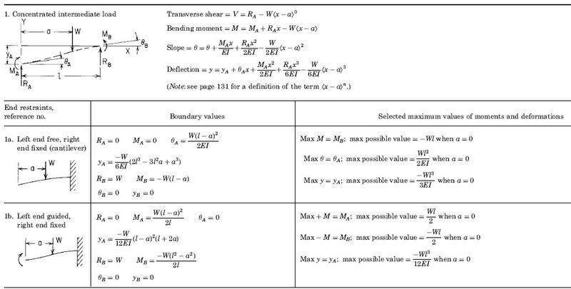
I am using a cantilever beam, guided on one end and fixed on the other, (example 1b from Roark's Formulas for Stress and Strain), I have included the page from the book as an attachment.

I want to determine an equation for the stress along the top of the beam.

The beam is 250 mm long, 3 mm high, 25 mm deep.
The modulus of elasticity E is 68927 N/mm^2
The moment of inertia I is 56.25 mm^4
a = 0

From what I have been able to determine
stress = (M*c)/I
where M is the bending moment, c is the distance from the neutral axis to the proper fibers (therefore this is half of the height, 1.5 mm), and I is the moment of inertia.
The bending moment is outlined in the attached file

Is this correct or am I taking the wrong approach? I appreciate any help.
 

Attachments

  • cantilever.jpg
    cantilever.jpg
    37.9 KB · Views: 1,960
Engineering news on Phys.org
Well, you wrote down the relation between stress and the bending moment function, so try to work something out.
 

Similar threads

  • · Replies 30 ·
2
Replies
30
Views
10K
Replies
2
Views
1K
  • · Replies 2 ·
Replies
2
Views
4K
  • · Replies 5 ·
Replies
5
Views
6K
  • · Replies 9 ·
Replies
9
Views
4K
  • · Replies 1 ·
Replies
1
Views
2K
  • · Replies 1 ·
Replies
1
Views
4K
  • · Replies 2 ·
Replies
2
Views
2K
  • · Replies 16 ·
Replies
16
Views
3K
  • · Replies 8 ·
Replies
8
Views
3K