Can anyone see if this is right? (problem with discs and parabolas)

  • Thread starter Thread starter jaumzaum
  • Start date Start date
Click For Summary
SUMMARY

The discussion centers on a mathematical problem involving two disks in a plane and the intersection of parabolas. The proposed solution asserts that by selecting two points exterior to the disks, one can ensure that all parabolas passing through these points will intersect at least one of the disks. The reasoning provided highlights that no two points on a parabola share the same slope, thus making it impossible for a parabola to be tangent to both points on the disks simultaneously. However, slight movements away from the disks could allow for parabolas to avoid intersection, indicating a delicate balance in the problem's conditions.

PREREQUISITES
  • Understanding of basic geometry, specifically properties of parabolas and circles.
  • Familiarity with the concept of tangents and slopes in calculus.
  • Knowledge of mathematical proof techniques, particularly in geometry.
  • Ability to visualize geometric configurations in a plane.
NEXT STEPS
  • Explore the properties of parabolas and their intersections with circles.
  • Study geometric proof techniques, focusing on problems involving tangents and slopes.
  • Investigate the implications of moving points in geometric configurations.
  • Learn about advanced topics in plane geometry, such as theorems related to conic sections.
USEFUL FOR

Mathematicians, geometry enthusiasts, educators, and students seeking to deepen their understanding of geometric relationships and proof strategies involving curves and shapes.

jaumzaum
Messages
433
Reaction score
33
My teacher proposed the following problem in the classroom as a challenge:
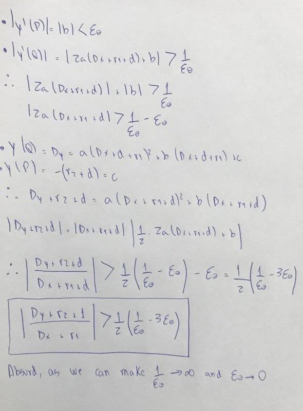
Consider 2 disks in the plane. Prove that you can always find 2 points exterior to the disks so that all the parabolas that pass through both points will intersect at least one of the disks.

I think I found a solution, can anyone check if it is right?
246465

246466
 
Physics news on Phys.org
I'm not sure about this.

What about this reasoning:
No two points on a parabola will have the same slope.
Therefore, picking two points - each on one of the spheres and each with the same slope will make it impossible for a parabola to be drawn that is tangent at both points. Thus any parabola passing through those two points will cross into one of the circles.

But, having picked those two points, moving the slightest distance away will both bring you into compliance with the rules - and allow a parabola to be drawn that avoids both circles.

It seems like a very marginal situation. You create the possibility of avoiding both disks as soon as you become "exterior" to the disk.
 

Similar threads

  • · Replies 21 ·
Replies
21
Views
4K
  • · Replies 11 ·
Replies
11
Views
5K
  • · Replies 6 ·
Replies
6
Views
2K
Replies
2
Views
2K
  • · Replies 2 ·
Replies
2
Views
2K
Replies
1
Views
937
  • · Replies 8 ·
Replies
8
Views
4K
  • · Replies 3 ·
Replies
3
Views
2K
  • · Replies 25 ·
Replies
25
Views
4K
Replies
4
Views
2K