Can someone confirm my answers on a few torsion problems?

Click For Summary
SUMMARY

The forum discussion centers on a student's uncertainty regarding their answers to specific torsion problems, numbered 26, 27, and 29. The student expresses doubt about their solutions and seeks confirmation and guidance. A fellow forum member confirms that all answers are correct, providing reassurance and validation of the student's work. This interaction highlights the importance of peer support in academic settings.

PREREQUISITES
  • Understanding of torsion problems in mechanics
  • Familiarity with relevant equations in mechanics
  • Basic problem-solving skills in engineering
  • Ability to interpret feedback from peers
NEXT STEPS
  • Review torsion equations and their applications in engineering
  • Practice additional torsion problems for mastery
  • Explore peer review techniques for academic work
  • Learn about common mistakes in solving mechanics problems
USEFUL FOR

Students studying mechanics, engineering students preparing for exams, and anyone seeking to improve their problem-solving skills in torsion-related topics.

EastWindBreaks
Messages
128
Reaction score
3

Homework Statement


QQ图片20170523004452.png


Homework Equations

The Attempt at a Solution


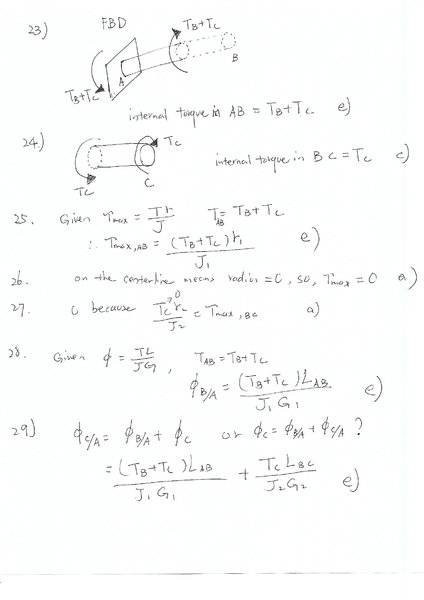
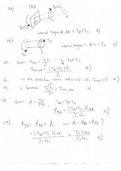
Scan0003.jpg

I feel I did something wrong, but not sure where is my problem. I don't feel conformable on number 26 and 27 and 29, can someone please tell me which answer is incorrect and any tip on solving it would be greatly appreciated!
 
Physics news on Phys.org
EastWindBreaks said:

Homework Statement


View attachment 204067

Homework Equations

The Attempt at a Solution


View attachment 204070
I feel I did something wrong, but not sure where is my problem. I don't feel conformable on number 26 and 27 and 29, can someone please tell me which answer is incorrect and any tip on solving it would be greatly appreciated!
Well you better start feeling comfortable because you got them all correct! Nice work.
 
  • Like
Likes   Reactions: EastWindBreaks and berkeman
PhanthomJay said:
Well you better start feeling comfortable because you got them all correct! Nice work.
wow, I was expecting at least one incorrect answer, thank you for checking my work!
 

Similar threads

  • · Replies 2 ·
Replies
2
Views
4K
  • · Replies 4 ·
Replies
4
Views
3K
  • · Replies 12 ·
Replies
12
Views
3K
Replies
1
Views
3K
Replies
13
Views
5K
  • · Replies 2 ·
Replies
2
Views
2K
  • · Replies 5 ·
Replies
5
Views
6K
Replies
5
Views
18K
Replies
3
Views
2K
  • · Replies 7 ·
Replies
7
Views
2K