CDF measures W mass higher than predicted

Click For Summary

Discussion Overview

The discussion centers around a recent measurement of the W boson mass by the CDF collaboration, which reportedly exceeds theoretical predictions. Participants explore the implications of this finding, its consistency with existing models, and the potential for a paradigm shift in understanding particle physics.

Discussion Character

  • Debate/contested
  • Technical explanation
  • Exploratory

Main Points Raised

  • Some participants express excitement about the new measurement, suggesting it could lead to significant advancements in theoretical physics.
  • Others express skepticism, noting that the difference between the new measurement and theoretical predictions is small but statistically significant, raising questions about the reliability of the result.
  • Concerns are raised regarding the historical context of W boson mass measurements, with some participants questioning whether there has always been uncertainty surrounding this value.
  • One participant emphasizes that the W boson mass is not a direct prediction of the Standard Model but rather an experimentally determined parameter influenced by other constants.
  • There are mentions of previous anomalous results from the CDF collaboration, suggesting a potential decline in data quality or consistency over time.
  • Some participants highlight the need for further scrutiny of the new measurement in light of existing data and models.

Areas of Agreement / Disagreement

Participants do not reach a consensus; there are multiple competing views regarding the validity of the new measurement and its implications for the Standard Model. Some express optimism about the potential for new discoveries, while others remain skeptical and critical of the findings.

Contextual Notes

Participants note that the W boson mass has been historically measured with varying degrees of precision, and the current measurement may not align with previous results. There is ongoing debate about the interpretation of the Standard Model and the role of electroweak fits in determining the W boson mass.

Isopod
Messages
16
Reaction score
111
TL;DR
Scientists just outside Chicago have found that the mass of a sub-atomic particle is not what it should be.

https://www.bbc.co.uk/news/science-environment-60993523
Fermilab Collider Detector 1.jpg


The team has found that the particle, known as a W boson, is more massive than the theories predicted.
The result has been described as "shocking" by Prof David Tobak, who is the project co-spokesperson.
The discovery could lead to the development of a new, more complete theory of how the Universe works.
"The world is going to look different," he told BBC News. "There has to be a paradigm shift. The hope is that maybe this result is going to be the one that breaks the dam.
"The famous astronomer Carl Sagan said 'extraordinary claims require extraordinary evidence'. We believe we have that."

Full story: https://www.bbc.co.uk/news/science-environment-60993523

The world of physics is so exciting at the moment!
 
Last edited by a moderator:
  • Like
Likes   Reactions: Demystifier, vanhees71, ohwilleke and 1 other person
Physics news on Phys.org
I would love for this to true, but I am highly skeptical. From

https://www.nature.com/articles/d41586-022-01014-5

"Although the difference between the theoretical prediction and experimental value is only 0.09%, it is significantly larger than the result’s error margins, which are less than 0.01%. ...

In the latest work, Kotwal and his collaborators aimed to make the most precise measurement ever of the W’s mass. The data had all been collected by 2011, when Fermilab’s Tevatron — a 6-kilometre-long circular machine that collided protons with antiprotons and which was once the world’s most powerful accelerator — shut down. But the latest measurement would not have been possible back then, says Kotwal. Instead, it is the result of a steady improvement of techniques in data analysis, as well as the particle-physics community’s improved understanding of how protons and antiprotons behave in collisions. 'Many of the techniques to achieve that kind of precision we had not even learned about by 2012.'”
 
  • Like
  • Informative
Likes   Reactions: Demystifier, vanhees71, ohwilleke and 3 others
Here is the published paper in Science; according to the abstract, their result "is in significant tension with the standard model expectation":

https://www.science.org/doi/10.1126/science.abk1781

I was not aware that there was any question remaining about the W boson mass, so this new claim is surprising to me. Has there always been significant uncertainty remaining about the W boson mass? Or is there potentially some issue with this new measurement as compared with previous measurements? (The new measurement seems to be inconsistent with previous experimental measurements as well as with the SM expectation.)
 
  • Like
  • Informative
Likes   Reactions: vanhees71, ohwilleke and Isopod
Moderator's note: Thread level changed to "A", since that is the level at which any substantive discussion of these results would need to take place.
 
  • Like
Likes   Reactions: vanhees71, ohwilleke and Isopod
I have a 7 sigma prediction: We will see a lot of papers about this on the arXiv on Monday. :wink:
 
  • Haha
  • Like
  • Informative
Likes   Reactions: artis, protonsarecool, vanhees71 and 3 others
We are not a tabloid here, I changed the title to something meaningful.

It's a measurement of the W boson mass. The Standard Model allows a calculation of the mass from other parameters. The new measurement and these calculations don't fit together, but we should see things in context: There are other measurements of the W boson mass already. These do fit to the calculations.
We have three relevant W mass measurements, two of them fit to the Standard Model, one does not. Want to make a bet?

CDF has stopped taking data long ago, and in recent years they have published a couple of weird results that disagree with several other experiments. It looks like some internal quality assurance process has deteriorated over time. It's likely this measurement will turn out to be another example.
 
  • Like
  • Informative
Likes   Reactions: malawi_glenn, protonsarecool, vanhees71 and 6 others
mfb said:
CDF has stopped taking data long ago, and in recent years they have published a couple of weird results that disagree with several other experiments. It looks like some internal quality assurance process has deteriorated over time. It's likely this measurement will turn out to be another example.
This will not stop the avalanche of papers in the beginning of next week. ;)

I may or may not be writing one to be released on Tuesday over the weekend depending on how it pans out. 😇
(arXiv deadline for submitting for Monday already passed)

Edit: Ok, I polluted arXiv's Tuesday release already ...
 
Last edited:
  • Haha
Likes   Reactions: protonsarecool, mfb and ohwilleke
mfb said:
in recent years they have published a couple of weird results that disagree with several other experiments.
out of curiosity: could you point me to some examples for that?
 
Reggid said:
out of curiosity: could you point me to some examples for that?
The neutrinos traveling faster than the speed of light by OPERA.
https://arxiv.org/pdf/1109.4897
 
  • Like
Likes   Reactions: jim mcnamara
  • #10
Orodruin said:
The neutrinos traveling faster than the speed of light by OPERA.
https://arxiv.org/pdf/1109.4897
I understood that mfb was talking specifically about the CDF collaboration, not about OPERA or others.
 
  • Like
Likes   Reactions: ohwilleke
  • #11
PeterDonis said:
Here is the published paper in Science; according to the abstract, their result "is in significant tension with the standard model expectation":

https://www.science.org/doi/10.1126/science.abk1781

I was not aware that there was any question remaining about the W boson mass, so this new claim is surprising to me. Has there always been significant uncertainty remaining about the W boson mass? Or is there potentially some issue with this new measurement as compared with previous measurements? (The new measurement seems to be inconsistent with previous experimental measurements as well as with the SM expectation.)
THERE IS NO STANDARD MODEL PREDICTION FOR THE W BOSON MASS

The 80,357 ± 6 MeV value is not a "prediction of the Standard Model" it is an electroweak fit of the Standard Model physical constants utilizing data points like the Higgs boson mass and top quark mass, neither of which have a direct functional relationship to the W boson mass in the electroweak portion of the Standard Model of Particle Physics. See, e.g., https://link.springer.com/article/10.1140/epjc/s10052-018-6131-3

The same global electroweak fit procedure suggested that the Higgs boson had a mass of 90,000 ± 20,000 MeV, when the current inverse error weighted global average of the measured real value of the Higgs boson mass is 125,250 ± 170 MeV (https://pdglive.lbl.gov/Particle.action?node=S126&init=0) with contributing estimates from data used in that fit that ranged from 35 GeV to 463 GeV, each with huge error bars. A global electroweak fit is not analogous to a Standard Model physics calculation or prediction.

The W boson's mass is an experimentally determined free parameter of the Standard Model (in other words, it is an input to the model, not an output).

More precisely, the W boson mass, the Z boson mass, the electromagnetic coupling constant, the weak force coupling constant, and the Higgs vacuum expectation value are five experimentally determined Standard Model physical constants related to each other in the electroweak portion of the Standard Model that have three degrees of freedom. You can take your pick to some extent which of them you treat as input parameters that are measured, and which you treat as derived values.

The W boson mass is the least precisely determined of these five electroweak constants, but all five of these related Standard Model parameters are known quite precisely (note that the table below which I put together uses the Particle Data Group global averages).

ParameterValue1 Sigma ErrorPart Per 1 Sigma Error
W boson mass (MeV)
80,372​
12​
6,697.7​
Z boson mass (MeV)
91,187.6​
2.1​
43,422.7​
Higgs vev (Mev)
246,219.65​
0.06​
4,103,660.8​
Fermi's constant
1.1663787​
0.000006​
194,396.5​
Fine structure constant
0.007297353​
1.7E-12​
4,292,560,333.2​

The global electroweak fit process is not part of the Standard Model and is really not all that much more than a sophisticated informed guessing game.

Calling a global electroweak fit the "standard model expectation" is nothing more or less than misleading, and the fact that the results were spun this way suggests that the authors want to direct attention away from the real story which is that their measurement is an outlier with respect to other experimental measurements, just as one of their original measurements in 2001 was. If I were a peer reviewer of the Science article article that was published yesterday, I would have objected strenuously to that assertion.

Likewise, the paper's discussion early on of the mysteries of the Higgs mechanism, dark matter, and extensions of the Standard Model, while not quite as problematic, is likewise gratuitous window dressing and doesn't belong in a paper that is merely reporting an update of a Standard Model constant measurement from 11 year old data.

ADDITIONAL DETAILS FROM THE NEW PAPER AND RELATED ANALYSIS

The body text of the newly announced CDF result clarifies that the bottom line number for their new W boson mass measurement is 80,433.5 ± 6.4 statistical ± 6.9 systemic MeV (a combined uncertainty of ± 9.4 MeV). According to the paper this implies a combined Tevaton of 80427.4 ± 8.9 MeV, and a combined Tevatron and LEP of 80424.2 ± 8.7 MeV. The new result is is exactly the same as one of the the 2001 measurement by CDF (which was also an outlier that was included in but diluted in the current global average) but with a claimed uncertainty of 9.4 MeV instead of 79 MeV.

According to the related press release: "This result uses the entire dataset collected from the Tevatron collider at Fermilab. It is based on the observation of 4.2 million W boson candidates, about four times the number used in the analysis the collaboration published in 2012." https://www.eurekalert.org/news-releases/948608 But, to be honest, my intuition is that a claim to shift the combined average up by 50.4 MeV using four times as much data (all at least 11 years old and 25% of it exactly the same data) from the very same machine while reducing the uncertainty by 44% (7 MeV) raises yellow flags.

It is harder to tell than it should be if the newly calculated CDF number included both the D0 experiment data and the CDF data from Tevatron (as the press release seems to imply), or just the CDF data (as the way the data is talked about in the paper itself seems to imply), but as best as I can tell, except in the combined Tevatron number noted above, only the CDF data from Tevatron is being used.

The paper also provides an updated the Z boson measurement at "91,192.0±6.4stat±4.0syst MeV [ed. combined error 7.5 MeV] (stat, statistical uncertainty; syst, systematic uncertainty), which is consistent with the world average of 91,187.6±2.1 MeV." This is also a source of doubt, rather than confirmation as claimed in the paper. My intuition is that the Z boson uncertainty should be lower than the W boson measurement uncertainty to a larger extent than it is, and instead it was only slightly smaller.

Rather than overturning the Standard Model, all this result should do, at most, is replace the old combined Tevatron value of 80387 ± 16 MeV with a new combined Tevatron value of 80,427.4 ± 8.9 MeV which will pull the global average a little higher than it used to be and tweak the old global electroweak fit.

But, in addition to shifting up the global average, this result will probably actually increase rather than decrease the uncertainty in the overall global average because the contributing data points are now a lot less tightly clustered than they were before relative to their claimed uncertainties, which again undermines the credibility of the assertion that the claimed uncertainties of the new CDF value are correct.

PRIOR EXPERIMENTAL DATA COMPARED

The disagreement with prior experiments is real. See https://pdglive.lbl.gov/DataBlock.action?node=S043M See also a narrative explanation at https://pdg.lbl.gov/2021/web/viewer...g.lbl.gov/2021/reviews/rpp2021-rev-w-mass.pdf

If I were inclined to attribute bad motives, which to some extent I am in this case, I'd say that spinning this result as a deviation from the Standard Model is an attempt to distract attention away from how badly their result deviated from other experimental measurements, which is the real story here.

When your result which claims to have only modestly less uncertainty than the prior measurements of the same quantity by multiple independent groups is a huge outlier with respect to everyone else; it is more likely that you or the scientists who are the source of your data, have done something wrong, than it is that you are right and they are wrong. Perhaps, for example, CDF is underestimating the true uncertainty of their measurement, which is very easy to do even for the most sophisticated HEP scientists, since estimating systemic error is as much an art as it is a science (even though estimating statistical error is almost perfect except for issues related to your assumption that the true distribution of error is Gaussian when it in reality usually has fatter tails in studies of past HEP data gathering).

The inverse error weighted global average of best nine most recent independent measurements of the W boson mass prior to this paper is 80,379 ± 12 MeV.

Where does that come from?

Two of those nine measurements are from CDF (80,433 ± 79 MeV in 2001 and 80,387 ± 19 in 2012) and two more are from CDF's sister experiment from Tevatron called D0 (80483 ± 84 from 2002 and 80375 ± 23 from 2014), with the older values in each case made at 1.8 TeV and the newer values in each case made at 1.96 TeV. The four data point inverse error weighted combined Tevatron average was 80387 ± 16 MeV. Three more superseded W boson masses from CDF and D0 were ignored in the global average and ranged from 80367 MEV to 80413 MeV.

Another four measurements are from the defunct LEP (linear electron positron collider) from 2006 to 2008 at energies from 161-209 GeV with an error weighted average of 80376 ± 33 MeV. The range of the LEP measurements was 80270 MeV to 80440 MeV.

Many far less precise measurements from 1983 to 2018 were ignored in determining the inverse error weighted world average.

One of the measurements is from ATLAS at the LHC is 80,370 ± 18 MeV at an energy of 7 TeV and shares 7 MeV of systemic uncertainty with the Tevatron average.

We should be seeing a Run-2 W boson mass determination from ATLAS, and both Run-1 and Run-2 W boson mass determinations from CMS before too long.

My predisposition is to expect that those results will be more credible than this lagging Tevatron value because the actual experimental apparatus is more state of the art at LHC than it was at Tevatron, and because the best scientists with the most rigorous quality control get assigned to the new shiny data and not the eleven year old archived data from an experiment that is no longer operating.

FOOTNOTE RE DEFINITIONAL ISSUES

The CDF value and all of the other values (except the global electroweak fits) are probably about 20 MeV too high due to a definitional issue in how the W boson mass is extracted from the experimental data. See Scott Willenbrock, "Mass and width of an unstable particle" arXiv:2203.11056 (March 21, 2022).
 
Last edited:
  • Like
  • Informative
Likes   Reactions: apostolosdt, Maarten Havinga, Imager and 3 others
  • #12
ohwilleke said:
Rather than overturning the Standard Model, all this result should do, at most, is replace the old combined Tevatron value of 80387 ± 16 MeV with a new combined Tevatron value of 80,427.4 ± 8.9 MeV which will pull the global average a little higher than it used to be and tweak the old global electroweak fit.
ohwilleke said:
The W boson mass is the least precisely determined of these five electroweak constants, but all five of these related Standard Model parameters are known quite precisely
A quite concise summary. Nicely put. However, I do disagree that a value like the one reported would not be in tension with the standard model precisely because the parameters are related. Computing the W mass from the fine structure constant, the Fermi constant, and MZ (the first two having negligible errors) does give a value that is incompatible with the measurement, which at face value would indicate trouble for the SM.
 
  • Like
Likes   Reactions: Isopod
  • #13
Reggid said:
out of curiosity: could you point me to some examples for that?
It looks like CDF put their list of publications behind a login, and search engines are flooded with the W boson mass now, but they had e.g. a 4.5 sigma peak in some B physics measurement in 2011/2012 (?) and claimed to see a new particle. LHCb checked and found nothing with far larger statistics. Not the only instance of this.
They had "ghost events", an excess in jets, and probably more, in each case claiming statistical significance but with no other experiment seeing anything like that.
 
  • Like
Likes   Reactions: ohwilleke and Orodruin
  • #14
Orodruin said:
A quite concise summary. Nicely put. However, I do disagree that a value like the one reported would not be in tension with the standard model precisely because the parameters are related. Computing the W mass from the fine structure constant, the Fermi constant, and MZ (the first two having negligible errors) does give a value that is incompatible with the measurement, which at face value would indicate trouble for the SM.
If the global electroweak value were just based upon the fine structure constant, the Fermi constant, and MZ, I'd agree, but, the global electroweak fit model used goes far beyond those and is heavily influenced by the Higgs boson mass and top quark mass, for example, that are not related at all to MW at tree level and only slightly at all, even considering higher order loops.
 
  • #15
mfb said:
It looks like CDF put their list of publications behind a login
You can look at Inspire.

mfb said:
in recent years they have published a couple of weird results
Inspire says there have been 3000+ publications. Some are conference proceedings, so there is some overlap, but with this many publications, you expect some 1:1000 statistical fluctuations.

mfb said:
It looks like some internal quality assurance process has deteriorated over time.
Maybe, maybe not. The author list is half the size as it was at the peak. And more than a few names on the author list have moved on to other things.

Is this really in tension with the SM? Unless there was a lot of work over the weekend, we just don't know. The right thing to do is to take all the values that goes into the global electroweak fits with and without the new data and see how much the chi-squared changes. In particular, there is about a 1 GeV, perhaps 2 GeV, uncertainty on the top quark mass just from the definition one chooses for the top mass. The best fit might have a lousy chi-squared when the new data is included. Or it might not.

The best evidence that this is not a screw-up is that the electron and muon datasets agree. It is difficult for a single mistake to do this.
 
  • Like
Likes   Reactions: ohwilleke
  • #16
I mean, what we are discussing is essentially this (figure linked from the Science paper):
science.abk1781-f5.jpg
The main tension if one considers only direct measurements of ##M_W## is between CDF II on the one side and D0 II and ATLAS on the other. Taking the global average for measurements of ##M_W## other than the CDF II one, the disagreement is significant, but not enormous at around ##3.6\sigma##. Unlikely, but not unfathomable by any means.

Then there is the issue of the "SM" in the plot, which @ohwilleke mentioned. This is extracted from other measurements, mainly ##G_F##, the fine-structure constant, and ##M_Z##, but also significantly affected by loop corrections (you would not get a value close to the correct one without those). This is where the 7 sigma anomaly arises, but then it becomes a question of whether or not you trust the errors on that extraction.
 
Last edited:
  • Like
Likes   Reactions: BvU
  • #17
See also with one new LHCb measurement from August 2021, not yet in PDG and not mentioned in the paper:

1649633167032.png


Chart via this blog which also has quality commentary, which notes that:
The main problem . . . is that the new measurement is in disagreement with all other available measurements. I think this could have been presented better in their paper, mainly because the measurements of the LEP experiments have not been combined, secondly because they don't show the latest result from LHCb. Hence I created a new plot (below), which allows for a more fair judgement of the situation. I also made a back-of-envelope combination of all measurements except of CDF, yielding a value of 80371 ± 14 MeV. It should be pointed out that all these combined measurements rely partly on different methodologies as well as partly on different model uncertainties. The likelihood of the consistency of such a (simple) combination is 0.93. Depending (a bit) on the correlations you assume, this value has a discrepancy of about 4 sigma to the CDF value.
In fact, there are certainly some aspects of the measurement which need to be discussed in more detail (Sorry, now follow some technical aspects, which most likely only people from the field can fully understand): In the context of the LHC Electroweak Working Group, there are ongoing efforts to correctly combine all measurements of the W boson mass; in contrast to what I did above, this is in fact also a complicated business, if you want to do it really statistically sound. My colleague and friend Maarten Boonekamp pointed out in a recent presentation, that the Resbos generator (which was used by CDF) has potentially some problems when describing the spin-correlations in the W boson production in hadron collisions. In fact, there are remarkable changes in the predicted relevant spectra between the Resbos program and the new version of the program Resbos2 (and other generators) as seen in the plot below.
On first sight, the differences might be small, but you should keep in mind, that these distributions are super sensitive to the W boson mass. I also attached a small PR plot from our last paper, which indicates the changes in those distributions when we change the W boson mass by 50 MeV, i.e. more than ten times than the uncertainty which is stated by CDF. I really don't want to say that this effect was not yet considered by CDF - most likely it was already fixed since my colleagues from CDF are very experienced physicists, who know what they do and it was just not detailed in the paper. I just want to make clear that there are many things to be discussed now within the community to investigate the cause of the tension between measurements.
Plot_CDF_Resbos_MBoonekamp.png
ATLAS_WMass2.png

Difference in the transverse mass spectrum between Resbos and Resbos2 (left); impact of different W boson mass values on the shapes of transverse mass.
And this brings me to another point, which I consider crucial: I must admit that I am quite disappointed that it was directly submitted to a journal, before uploading the results on a preprint server. We live in 2022 and I think it is by now good practice to do so, simply because the community could discuss these results beforehand - this allows a scientific scrutiny from many scientists which are directly working on similar topics.
And, again, I also have to think that there are additional LHC results for the W boson mass waiting in the wings, and that those are likely to confirm the ATLAS 2016 and LHCb 2021 results within reason.
 
Last edited:
  • Like
Likes   Reactions: protonsarecool
  • #18
Vanadium 50 said:
Inspire says there have been 3000+ publications. Some are conference proceedings, so there is some overlap, but with this many publications, you expect some 1:1000 statistical fluctuations.
I think that the notion was that it is the straggler Tevatron papers rehashing old data after the experiment was shut down with residual program staff assigned to that project that may be somewhat unreliable, rather than the entire Tevatron research program when it was more active.
 
  • #19
The following people can produce a paper in a day (or had advance notice or had the code written already). My summary in parentheses:

Inert Higgs Dark Matter for New CDF W-boson Mass and Detection Prospects
Authors: Yi-Zhong Fan, Tian-Peng Tang, Yue-Lin Sming Tsai, L. Wu
https://arxiv.org/abs/2204.03693
(What it sounds like.)

Electroweak Precision Fit and New Physics in light of $W$ Boson Mass
Authors: Chih-Ting Lu, Lei Wu, Yongcheng Wu, Bin Zhu
https://arxiv.org/abs/2204.03796
(Computing the oblique parameters and showing new physics needed. Exemplified by two-Higgs doublet model.)

The $W$ boson Mass and Muon $g-2$: Hadronic Uncertainties or New
Physics?
Authors: Peter Athron, Andrew Fowlie, Chih-Ting Lu, Lei Wu, Yongcheng Wu, Bin
Zhu
https://arxiv.org/abs/2204.03996
(The muon g-2 and CDF measurement pull the hadronic contribution in opposite directions meaning you cannot explain both with uncertainties in the hadronic part.)

$W$-boson mass anomaly: probing the models of axion-like particle, dark
photon and Chameleon dark energy
Authors: Guan-Wen Yuan, Lei Zu, Lei Feng, Yi-Fu Cai
https://arxiv.org/abs/2204.04183
(Testing the separate impacts of the three models mentioned in the title on the W mass. First two viable, last one severely constrained.)

Interpreting electroweak precision data including the $W$-mass CDF
anomaly
Authors: Alessandro Strumia
https://arxiv.org/abs/2204.04191
(Another fit of the T parameter. Using Z’/little Higgs/higher dimensions as tentative explanations.)

Low energy SUSY confronted with new measurements of W-boson mass and
muon g-2
Authors: Jin Min Yang, Yang Zhang
https://arxiv.org/abs/2204.04202
(Fitting MSSM to both the CDF W measurement and muon g-2. Finding region compatible at 2 sigma.)

Impact of the recent measurements of the top-quark and W-boson masses on
electroweak precision fits
Authors: J. de Blas, M. Pierini, L. Reina and L. Silvestrini
https://arxiv.org/abs/2204.04204
(Mixing CMS top measurement impact on precision observables with focus on the CDF II result. Discussing effective operators at d=6.)
 
  • #20
Orodruin said:
The $W$ boson Mass and Muon $g-2$: Hadronic Uncertainties or New
Physics?
Authors: Peter Athron, Andrew Fowlie, Chih-Ting Lu, Lei Wu, Yongcheng Wu, Bin
Zhu
https://arxiv.org/abs/2204.03996
(The muon g-2 and CDF measurement pull the hadronic contribution in opposite directions meaning you cannot explain both with uncertainties in the hadronic part.)
It is worth noting that the BMW calculation of Hadronic Vacuum Polarization in the Standard Model expectation for muon g-2 produces an overall Standard Model expectation that is not a statistically significant deviation between the Standard Model expectation and the experimental value (the 14-person BMW team is named after Budapest, Marseille and Wuppertal, the three European cities where most team members were originally based). The BMW Standard Model expectation calculation shows only a 1.1 sigma discrepancy from the new Fermilab result, which is a difference of 86(77) x 10^-11, and a 1.6 sigma discrepancy from the combined result, which is a difference of 107(68.6) x 10^-11.

An independent calculation of the Hadronic Light by Light component of the muon g-2 Standard Model expectation (which also reduces the relative margin of error in that calculation from 20% to 14%) which has also been published, does not overlap with the BMW work (which focused only on a different part of the hadronic contribution) and also differs from the Theory Initiative result, is not enough on its own to address the difference between the Standard Model expectation and experiment. But, when combined with the BMW calculation, the difference between the Standard Model expectation and the new Fermilab result falls to 73.7(77) x 10^-11 (which is less than 1 sigma) and the deviation from the combined measurement falls to 92.3(68.6) x 10^-11 (which is 1.3 sigma). These calculations of the Standard Model expectation thus show excellent agreement between theory and experiment.

So, if the BMW calculation and the related Hadronic light by light calculation by Chao, et al., rather than the more widely touted Theory Initiative calculation is correct, then the analysis is a bit different.

In that case, all the give has to come from the CDF measurement, a joint comparison doesn't really make sense, and the constraints on BSM physics from the muon g-2 experimental result confirming the Standard Model expectation is much more strict (because many BSM proposals to explain the CDF measurement would also impact the muon g-2 theoretical expectation calculation). Of course, the preprint released today doesn't engage with that possibility.

If the BMW and Chao calculations are correct, this even more heavily favors a most plausible explanation for the CDF anomaly, that is supported by its large deviation from past measurements, that the anomaly is due not to New Physics, but to an inaccurate measurement or understated error bars by CDF.

This is boring, but much more likely to be true.

I have good company in thinking that this might be the case. For example, physicist blogger Matt Strassler considers the matter at his blog (also here). The money quote there (emphasis in the original, paragraph breaks inserted editorially for ease of reading) is:

A natural and persistent question has been:
“How likely do you think it is that this W boson mass result is wrong?”
Obviously I can’t put a number on it, but I’d say the chance that it’s wrong is substantial.
Why?
This measurement, which took several many years of work, is probably among the most difficult ever performed in particle physics. Only first-rate physicists with complete dedication to the task could attempt it, carry it out, convince their many colleagues on the CDF experiment that they’d done it right, and get it through external peer review into Science magazine. But even first-rate physicists can get a measurement like this one wrong. The tiniest of subtle mistakes will undo it.
 
Last edited:
  • Like
Likes   Reactions: mfb
  • #21
ohwilleke said:
Boring, but much more likely to be true.
Oh yes, I agree that the CDF measurement being wrong is the most likely explanation. That won't stop me from theorising about what it could mean if it was not. I think it is also good exercise. Even if the CDF measurement is a fluke, we may have a different situation by the time the LHC experiments get stronger bounds and they may be off (although by a smaller amount). The current situation leads us to consider what types of physics could lead to a mismatch between the W mass measurement and the expectation.
 
  • Like
Likes   Reactions: vanhees71, protonsarecool and ohwilleke
  • #22
This morning I counted 19 or so papers discussing the CDF measurement (excluding one by a friend of mine that was in the works already and just added a part on it).

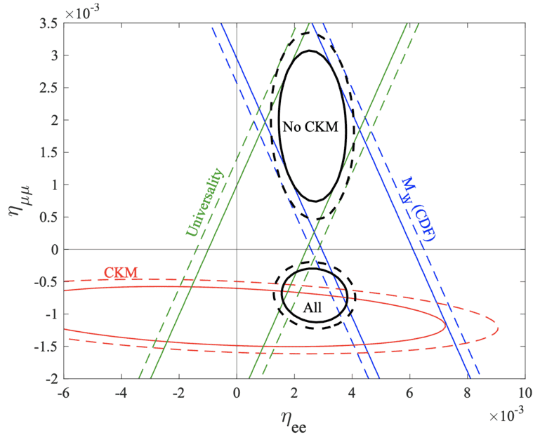
Here's a quick summary of my own (https://arxiv.org/abs/2204.04559):

We considered the impact of right-handed neutrinos on the W mass. Integrating the right-handed neutrinos out leads to a single d=6 operator and the parameters relevant to the W mass are ##\eta_{ee}## and ##\eta_{\mu\mu}## (essentially diagonal elements in the non-unitarity of the resulting PMNS matrix). With right-handed neutrinos only, these parameters must be positive. We fitted these parameters to the CDF measurement, lepton universality constraints, and the CKM unitarity measurements of ##V_{ud}## and ##V_{us}## in beta and kaon decays. This is the result:
1649747742236.png

Without the CKM measurements, the larger W mass could result from positive values of the ##\eta## parameters. However, including the CKM results both leads to a quite lousy fit that is not really compatible with any of the three data sets. If instead one applies the global average (without the CDF measurement), the situation changes:
1649748130576.png

The fit is actually pretty good, but since ##\eta_{\mu\mu}## is negative it cannot be the result of right-handed neutrinos only. Instead, other exotic contributions to the d=6 operator would be required to accommodate this fit.

Bagnaschi et al discuss a more general SMEFT approach in their paper https://arxiv.org/abs/2204.05260
 
  • Like
Likes   Reactions: ohwilleke and vanhees71
  • #23
Vanadium 50 said:
Inspire says there have been 3000+ publications. Some are conference proceedings, so there is some overlap, but with this many publications, you expect some 1:1000 statistical fluctuations.
I'm only talking about later publications. Inspire has 608 results from 2011 to 2022, 181 of them are labeled as published (5 of them with fewer than 10 authors).
In that list we have the 4.5 sigma B-physics deviation and we have the diboson measurement called "significant" by CDF (I see 3.2 and 3.5 sigma mentioned in the paper). Now we have a W mass measurement that's ~4 sigma away from the average of previous measurements even if we completely ignore theory predictions - CDF calls it 7 sigma away from theory. That's just what I can remember or found with a quick search.
The "ghost events" I linked above (claimed to be significant by CDF but I don't find out how significant) were 2008 so let's skip these.

Many uncertainties are correlated between electron and muon channel, so seeing a deviation in both doesn't mean that much.

Digging through Inspire I found this interesting June 2012 PhD thesis (before we had a good Higgs mass value): An Improved W Boson Mass Measurement Using the Collider Detector at Fermilab
(80.374 ± 0.015 stat. ± 0.016 syst.) GeV using 2.2/fb.
A measurement that's almost exactly matching the D0/ATLAS results.
 
  • Like
Likes   Reactions: MathematicalPhysicist, ohwilleke and vanhees71
  • #24
mfb said:
Digging through Inspire I found this interesting June 2012 PhD thesis (before we had a good Higgs mass value): An Improved W Boson Mass Measurement Using the Collider Detector at Fermilab
(80.374 ± 0.015 stat. ± 0.016 syst.) GeV using 2.2/fb.
A measurement that's almost exactly matching the D0/ATLAS results.
Oh good grief another book of at least 200 pages to read... :oldbiggrin:
 
  • Haha
Likes   Reactions: ohwilleke
  • #25
MathematicalPhysicist said:
Oh good grief another book of at least 200 pages to read... :oldbiggrin:
I like Sabine Hossenfelder. She has been a little cynical regarding particle physics recently and with the LHC switching on again I had a look to see what she would say.
With reference to the subject in the thread I thought I would get a pf view. What do you think?
(Edit: I have removed the link as it probably is not appropriate given the technical discussion in the thread. This is just an opinion from Sabine. It is on YouTube if you want to look it up)
 
Last edited:
  • #26
pinball1970 said:
I like Sabine Hossenfelder. She has been a little cynical regarding particle physics recently and with the LHC switching on again I had a look to see what she would say.
With reference to the subject in the thread I thought I would get a pf view. What do you think?

When I took the graduate course particle theory 1, I cannot recall the entire talk that was once in class.
But I do remember saying to the lecturer, and what if it's wrong (the SM):"and he asked:how can it be?".
It's a vague memory, nowadays everything gets recorded, and I took the course back in 2017.
It's hard following the physics, when the math is being glossed off very quickly, if you don't do it rigorously mistakes are bound to pop up.
 
  • Like
Likes   Reactions: protonsarecool, ohwilleke and vanhees71
  • #27
BTW @pinball1970 the link you gave for the YT video sounds more like a commercial.
But, nowadays everybody is trying to sell you something...
 
  • Like
Likes   Reactions: vanhees71 and pinball1970
  • #28
MathematicalPhysicist said:
BTW @pinball1970 the link you gave for the YT video sounds more like a commercial.
But, nowadays everybody is trying to sell you something...
Apologies it was not meant that way, I will change the wording and remove the link.
She is critical of plans to put more money into bigger/better colliders as she has mentioned this before, I know this gets a little political.
She has a sponsor (I will not name) and she always drops a plug towards the end of the video it's just part of the industry now.
I am still looking forward to the LHC finding something new even if I struggle to understand what is!
 
  • Like
Likes   Reactions: ohwilleke
  • #29
pinball1970 said:
Apologies it was not meant that way, I will change the wording and remove the link.
She is critical of plans to put more money into bigger/better colliders as she has mentioned this before, I know this gets a little political.
She has a sponsor (I will not name) and she always drops a plug towards the end of the video it's just part of the industry now.
I am still looking forward to the LHC finding something new even if I struggle to understand what is!
She wants the money to be invested into her avenues, which she said what they are.
But those anomalies seem interesting. What she said about SUSY is correct or partially correct, it's a set of models, Superstring theories require SUSY and Supergravity; but from what I understand Bosonic String theory (the one with 26 dimensions) doesn't require it.
You know, they don't even have a definition of what is M-theory; so it's a lot of conjectures.

After I'll finish reading Mueller's handbook on QCD, I am thinking of giving Zweibach's text a chance.
It's a long road...
And no one guarantees there's an ultimate theory, though string theorists' hope there is.
 
  • Haha
  • Like
Likes   Reactions: protonsarecool, ohwilleke, pinball1970 and 1 other person
  • #30
I have an opposite opinion to Hossenfelder's, particularly concerning the point of view "against symmetry" in her popular book. I think the discovery of the Standard Model is the culminated success of 20th century's physics which is entirely based on symmetry concepts. The idea was of course around much earlier, but it really started to get an expclicit method to describe nature with Einstein's paper on special relativity of 1905. One highlight is of course Noether's paper of 1918 with her theorems (including both the meaning of global and local gauge symmetries) as an answer to the question of energy-momentum conservation in GR.

The most important application of the symmetry principles is of course in the formulation of quantum theory. As Weinberg puts it in his 3-volume QFT textbook: It explains (to a large extent) why the physical laws look the way they look. Using the special-relativistic spacetime symmetries alone already defines the most important general observables of "particles" (mass and spin) and thus governs the general structure of the field equations (point particles are strangers in both classical and quantum relativistic physics anyway!).

The Standard Model, being developed in the 1950ies to 1973, is a paradigmatic example for finding a very successful description of Nature in a fascinating interplay between theory and experiment, with the theory's overarching concept being group-representation theory providing the mathematical machinery to build models given empirically found conservation laws.

It's of course clear that the Standard Model is not complete since it does not describe the necessary extent of CP violation to explain our very existence. Also it's pretty obvious that we don't know all kinds of elementary "particles" making up "dark matter", whose existence is only seen via its gravitational interactions with "usual baryonic matter.

For me it's not so surprising that we haven't found a theory by pure theoretical guessing like imposing SUSY, although it's a pretty obvious idea to go beyond the concepts of the Standard Model. I don't think that we can find a model by "pure thought" but we need empirical input. You may critically ask, whether it's likely to find this input with ever larger and more and more expensive accelerators or whether it lies in the development of ever more precise detectors (becoming unfortunately also more and more expensive) or in something else. Maybe it's found in some astronomical observation. Who knows? Who can say, which new idea/paradigm/method will lead to success? But to just criticize the most successful methodology of the past without any concrete idea, how to substitute it, is a bit too cheap!
 
  • Like
Likes   Reactions: protonsarecool, pinball1970 and mfb

Similar threads

  • · Replies 6 ·
Replies
6
Views
2K
  • · Replies 11 ·
Replies
11
Views
4K
  • · Replies 4 ·
Replies
4
Views
4K
  • · Replies 3 ·
Replies
3
Views
2K
  • · Replies 2 ·
Replies
2
Views
2K
  • · Replies 11 ·
Replies
11
Views
4K
  • · Replies 9 ·
Replies
9
Views
4K
  • · Replies 38 ·
2
Replies
38
Views
9K
  • · Replies 1 ·
Replies
1
Views
2K
  • · Replies 1 ·
Replies
1
Views
4K