Coulomb Force: Is my understanding correct?

Click For Summary

Discussion Overview

The discussion centers on the Coulomb force within atomic nuclei, particularly regarding the electrostatic repulsion between protons. Participants explore the implications of this force in the context of nuclear stability, energy calculations, and the behavior of protons in heavier nuclei. The conversation includes technical explanations, conceptual clarifications, and challenges to the initial understanding of these concepts.

Discussion Character

  • Exploratory
  • Technical explanation
  • Conceptual clarification
  • Debate/contested
  • Homework-related

Main Points Raised

  • Some participants explain that protons in a nucleus repel each other due to the Coulomb force, which is an inverse-square force with infinite range characteristics.
  • There is a discussion about how the electrostatic energy per nucleon increases with atomic number, but the rate of increase is not constant due to the changing ratio of protons to mass number in heavier nuclei.
  • Concerns are raised about the clarity and precision of the initial claims regarding electrostatic repulsion and its quantification.
  • Some participants suggest that the relationship between electrostatic repulsion and nuclear stability is complex and not as straightforward as initially presented.
  • A participant mentions the semi-empirical mass formula as a way to calculate Coulomb energy per nucleon, indicating a more technical approach to the discussion.
  • There are requests for clarification on the assumptions and definitions used in the discussion, particularly regarding the formula for Coulomb energy.
  • Some participants express skepticism about the initial understanding of the concepts and encourage further exploration and refinement of ideas.

Areas of Agreement / Disagreement

Participants do not reach a consensus on the clarity and accuracy of the initial claims regarding the Coulomb force and its implications. There are multiple competing views on how to quantify electrostatic repulsion and its effects on nuclear stability, indicating that the discussion remains unresolved.

Contextual Notes

Some limitations in the discussion include unclear definitions of terms like "electrostatic repulsion" and the lack of a precise formula for the Coulomb force between protons in a nucleus. Additionally, the assumptions underlying the calculations and claims are not fully articulated, leading to confusion.

Who May Find This Useful

This discussion may be useful for those interested in nuclear physics, particularly students seeking to understand the role of the Coulomb force in nuclear stability and the complexities of electrostatic interactions within atomic nuclei.

A M
Messages
83
Reaction score
16
TL;DR
I wanna write a student article specially for those who don't have a background in nuclear physics. I've been suggested to share my basic understanding & ask if they're correct.
I would be grateful if anyone could explain where my mistakes are:
(Please note that diagrams are designed just to give a simple imagination of the article & make it more understandable; they do NOT correspond precise information.)
In a bound state like atom nucleus (except H-1), protons carry a positive charge so repel each other by the Coulomb force. This type of electromagnetic force, (also referred to as electrostatic repulsion) is an inverse-square force (has infinite range characteristics), so a proton added to a nucleus will feel an electrostatic repulsion from all the other protons in the nucleus. The electrostatic energy per nucleon due to the Coulomb force thus grows [without limit] as nuclei atomic number increases:


https://www.physicsforums.com/attachments/1-jpg.248602/​

In general, for naturally occurring elements, the heavier the nuclei the lower ratio of atomic number to mass. This is the reason for the electrostatic repulsion not to grow at an exactly constant rate
 
Physics news on Phys.org
"Wanna" is not a word. It's not even slang. It's baby talk. If you want people to take you seriously about nuclear physics, you shoud use proper English and not baby talk.

"Write what you know" is good advice. A week ago you didn't know any of this. You may want to give it time to sink in.

There is more to writing a good article than just an absence of errors. If you decided to write an article on baseball and spent it all describing the 3rd inning of the April 25th 2018 Red Sox-Blue Jays game, it could be completely error-free, but still not be any good.

Finally, you're not really the one writing an article if you have us doing all the work, are you?
 
*Good cop jumps in*

You have a solid start @A M. Keep picking away at it and asking questions. Writing is itself a learning process. I am sure PF members are willing to work with you. Never give up! Don't lose your confidence!
 
  • Like
Likes   Reactions: fresh_42, bhobba and A M
The image doesn't work.
A M said:
This is the reason for the electrostatic repulsion not to grow at an exactly constant rate
It is unclear how you quantify "the electrostatic repulsion" and what you mean by a constant rate, but even with a constant proton to atomic mass ratio nothing would have a rate that could be considered constant.
 
mfb said:
It is unclear how you quantify "the electrostatic repulsion"
As I said, diagrams don't correspond precise information. I haven't quantified the electrostatic repulsion; I just want to express that because of its infinite range characteristics and small size of nuclei, the disruptive energy of the Coulomb force increases as mass number grows.
mfb said:
what you mean by a constant rate, but even with a constant proton to atomic mass ratio nothing would have a rate that could be considered constant.
I don't mean a constant ratio of atomic number to mass number; I mean that the disruptive energy [per nucleon] depends on atomic number, and according to the fact that the heavier the nuclei the smaller its ratio of protons to mass number, the disruptive energy grows at a slower (not constant) rate for heavier nuclei.

But if you think there's still a mistake, I would appreciate hearing your thoughts/suggestions. :smile:
 
A M said:
I mean that the disruptive energy [per nucleon] depends on atomic number
Indeed, but the relation is not as easy as your text suggests.
A M said:
the disruptive energy grows at a slower (not constant) rate for heavier nuclei.
Slower than what? If you use a word that implies an inequality you need to specify what you compare to what. "Grow at constant rate" would be a linear relation, but you don't get anything linear anywhere.

You can look up how the electrostatic repulsion depends on the proton and mass number, and which assumption goes into that formula.
 
  • Like
Likes   Reactions: A M
mfb said:
Indeed, but the relation is not as easy as your text suggests.
Of course, and I've already said it's an introduction topic.
mfb said:
"Grow at constant rate" would be a linear relation
How about:
A M said:
the reason for the electrostatic repulsion NOT to grow at an exactly constant rate
Yes, the diagram doesn't indicate a linear relation, and that's exactly what I want; it is due the reason that has already been said.
mfb said:
You can look up how the electrostatic repulsion depends on the proton and mass number, and which assumption goes into that formula.
Ummm, I tried, but couldn't find any formula for the Coulomb force between the protons of a single nucleus. I'm still searching for results.

Thanks!
 
the reason for the electrostatic repulsion NOT to grow at an exactly constant rate
No, you are making it worse. That's like insisting that a cat does not grow in the same way as an elephant - because it has claws.
A M said:
Ummm, I tried, but couldn't find any formula for the Coulomb force between the protons of a single nucleus. I'm still searching for results.
I find it hard to believe you didn't find at least the Wikipedia article about the topic if you searched.
 
  • Informative
Likes   Reactions: A M
mfb said:
No, you are making it worse.
Yes, you're right. I'll try to correct this part of my article. I didn't know I should find it in semi-empirical mass formulas. Thanks!
 
  • #10
In a bound state like atom nucleus (except ##^{1}H##), protons carry a positive charge so repel each other by the Coulomb force. This type of electromagnetic force, (also referred to as electrostatic repulsion) is an inverse-square force (has infinite range characteristics), so a proton added to a nucleus will feel an electrostatic repulsion from all the other protons in the nucleus.

According to semi-empirical mass formula, the Coulomb energy per nucleon for a nucleus with ##Z## protons and ##A## nucleons, can be calculated by the term ##a_c\frac {Z(Z-1)} {A^{1/3
}}##, where ##a_c## is electrostatic Coulomb constant with an approximated value of ##0.691 MeV##.

The electrostatic energy per nucleon due to the Coulomb force thus grows as nuclei atomic number increases [depending on ##Z(Z-1)/A^{1/3}##]:

1.jpg
 
  • #11
mfb said:
No, you are making it worse.
"Grow at constant rate" would be a linear relation, but you don't get anything linear anywhere.
I removed that confusing sentence and added some information about Coulomb term instead. Then I designed a more precise diagram by some calculations. @mfb , would you please let me know if there's something wrong (or confusing, unclear, ...)?
 
Last edited:
  • #12
You didn't give a motivation for the formula used, but adding that would add a lot of text.
It is unclear what you used for Z as function of A to make the graph.
 
  • #13
A M said:
Summary: I want to write a student article specially for those who don't have a background in nuclear physics. I've been suggested to share my basic understanding & ask if they're correct.
I would be grateful if anyone could explain where my mistakes are:
(Please note that diagrams are designed just to give a simple imagination of the article & make it more understandable; they do NOT correspond precise information.)

In a bound state like atom nucleus (except H-1), protons carry a positive charge so repel each other by the Coulomb force. This type of electromagnetic force, (also referred to as electrostatic repulsion) is an inverse-square force (has infinite range characteristics), so a proton added to a nucleus will feel an electrostatic repulsion from all the other protons in the nucleus. The electrostatic energy per nucleon due to the Coulomb force thus grows [without limit] as nuclei atomic number increases:


https://www.physicsforums.com/attachments/1-jpg.248602/

In general, for naturally occurring elements, the heavier the nuclei the lower ratio of atomic number to mass. This is the reason for the electrostatic repulsion not to grow at an exactly constant rate

I know a bit about Electromagnetism and I know what the Coulomb force is. But, I don't know anything much about nuclear physics. What you've posted above, to be honest, makes little sense to me.

I know that like charges repel, so my first question is how the atom is possible? Protons in close proximity ought to fly apart under the Coulomb force. What's keeping the nucleus together?

I'm not sure a formula for the "energy per nucleon" is the first thing I'd want to learn about nuclear physics. Also, a "nucleon" is a proton or a neutron, so how does that relate to your formula? Where do the neutrons come in? And, aren't there electrons in an atom as well?

On the face of it, the protons and electrons ought to attract each other and crash into each other. Why doesn't that happen?

I also know that there are several models of the atom: which model are you using?

Assuming I want to learn something about nuclear physics, I'm ready to read your piece. But, to be honest, I'm not learning anything from it. Why don't I just hit Wikipedia?
 
  • #14
mfb said:
It is unclear what you used for Z as function of A to make the graph.

Whatever it is, it's smoother than in real life. (Even assuming spherical nuclei)
 
  • #15
PeroK said:
What you've posted above, to be honest, makes little sense to me.
I'm glad to hear it!
PeroK said:
I know that like charges repel, so my first question is how the atom is possible? Protons in close proximity ought to fly apart under the Coulomb force. What's keeping the nucleus together?
This is exactly the question written in my article. I know you won't wait until my article gets published, so I send you the related part:

Thus, electric forces do not hold nuclei together, because they act in the opposite direction.
What exactly confines these positively charged particles [& neutrons] to a small region of space? The answer is:

The Strong Nuclear Force
The strong nuclear force is the strongest of the four basic forces in nature (the others are: the electromagnetic force, gravity, and the weak nuclear force). But it also has a very short range, meaning that nucleons (protons & neutrons) must be extremely close (~1 fm) before its effects are felt.

The nuclear force can be explicated simply by analogy with the force between two small magnets: magnets are difficult to separate when stuck together, but once pulled a short distance apart, the force between them falls [almost] to zero.

This force between nucleons is done through the exchange of particles called mesons. As long as this meson exchange can happen, the strong force is able to hold the participating nucleons together.

[So there's a stronger attractive force between nucleons that can overcome the Coulomb force.]

PeroK said:
I'm not sure a formula for the "energy per nucleon" is the first thing I'd want to learn about nuclear physics. Also, a "nucleon" is a proton or a neutron, so how does that relate to your formula? Where do the neutrons come in?
To be honest, I wasn't sure to mention that formula in such an introduction topic; thanks for your feed back!

Well understanding the definition of 'nuclear binding energy per nucleon' and parameters upon which it depends can help you analyze a broad range of phenomena related to nuclear physics.

The Coulomb force is one of those parameters, so when we want to analyze 'nuclear binding energy per nucleon', we can use the whole disruptive (Coulomb) energy divided by the number of nucleons which equals to 'Coulomb energy per nucleon'. So it gets easier to analyze.

PeroK said:
And, aren't there electrons in an atom as well?
When we study nuclear physics, we analyze the nuclei of atoms (it's NUCLEAR physics after all!).
So, we 'often' ignore what happens to electrons in basic analysis of nuclear reactions.
PeroK said:
I also know that there are several models of the atom: which model are you using?
Models of the ATOM? As I said, we're analyzing the nuclei of atoms; so in this basic analysis, you can use electron cloud or solar system model. (But if you mean the formula, it comes from 'liquid drop model' which has a lot of weaknesses.)
PeroK said:
Assuming I want to learn something about nuclear physics, I'm ready to read your piece. But, to be honest, I'm not learning anything from it. Why don't I just hit Wikipedia?
I know my answers won't satisfy you. It isn't the first part of my article, so no wonder you're confused. If my introduction article gets published, you'll find the answers to most of your questions by reading it (I hope!).:smile:
 
Last edited:
  • #16
A M said:
I'm glad to hear it!

This is exactly the question written in my article. I know you won't wait until my article gets published, so I send you the related part:

Thus, electric forces do not hold nuclei together, because they act in the opposite direction.
What exactly confines these positively charged particles [& neutrons] to a small region of space? The answer is:

The Strong Nuclear Force
The strong nuclear force is the strongest of the four basic forces in nature (the others are: the electromagnetic force, gravity, and the weak nuclear force). But it also has the shortest range, meaning that nucleons (protons & neutrons) must be extremely close (~1 fm) before its effects are felt.

The nuclear force can be explicated simply by analogy with the force between two small magnets: magnets are difficult to separate when stuck together, but once pulled a short distance apart, the force between them falls [almost] to zero.

This force between nucleons is done through the exchange of particles called mesons. As long as this meson exchange can happen, the strong force is able to hold the participating nucleons together.

[So there's a stronger attractive force between nucleons that can overcome the Coulomb force.]To be honest, I wasn't sure to mention that formula in such an introduction topic; thanks for your feed back!

Well understanding the definition of 'nuclear binding energy per nucleon' and parameters upon which it depends can help you analyze a broad range of phenomena related to nuclear physics.

The Coulomb force is one of those parameters, so when we want to analyze 'nuclear binding energy per nucleon', we can use the whole disruptive (Coulomb) energy divided by the number of nucleons which equals to 'Coulomb energy per nucleon'. So it gets easier to analyze.When we study nuclear physics, we analyze the nuclei of atoms (it's NUCLEAR physics after all!).
So, we 'often' ignore what happens to electrons in basic analysis of nuclear reactions.

Models of the ATOM? As I said, we're analyzing the nuclei of atoms; so in this basic analysis, you can use electron cloud or solar system model. (But if you mean the formula, it comes from 'liquid drop model' which has a lot of weaknesses.)

I know my answers won't satisfy you. It isn't the first part of my article, so no wonder you're confused. If my introduction article gets published, you'll find the answers to most of your questions by reading it (I hope!).:smile:

Is there supposed to be a jpeg somewhere?

I'm not sure why you think your answers won't satisfy me. It looks a lot better answering questions. Maybe your audience would have the same questions as me about the Atom and the electrons.

And what about the weak nuclear force? Isn't there that too?
 
  • #17
PeroK said:
what about the weak nuclear force? Isn't there that too?
Yes, answering questions is useful, but a thorough understanding of 'fundamental' definitions is a better choice. (For example if you knew what exactly a radioactive decay is, or how to calculate released/utilized energy in nuclear reactions, you would understand this part better.)

Well, the weak interaction has a more complicated definition, and it is not one of those factors nuclear binding energy depends on. But I'll give you a simple definition:

Have you ever thought that why a free neutron is unstable or why in some nuclear reactions neutrons are converted to protons (or the reverse)?

The weak nuclear force, the weak force or the weak interaction is a fundamental force that is responsible for conversion of quarks in radioactive decay of most nuclei (beta decays), the decay of unstable subatomic particles like mesons, and changing the flavor of quarks in some nuclear fusions.

For example consider an isolated neutron; it consists of three quarks, two down quarks and one up quark. Now, the weak interaction changes one of those down quarks to another up quark by exchanging a force carrier particle known as W boson. So, the neutron is now converted to a proton (containing ONE down quark and TWO up quarks), an electron and an electron anti-neutrino.
##^{1}_{0}n~→~^{1}_{1}p~+e^-~+ν ̅##
This reaction can also occur for neutrons in atom nuclei (beta minus decay).

Now, we know why a free neutron is unstable, but how about protons? Why is a free proton stable?

Well, conversion of protons into neutrons is also possible (beta plus decay), but not in Free protons; because the reactant (free proton) is less massive than the products (free neutron +positron +electron neutrino), so this process is endothermic and can't occur naturally.

Now, to understand this part, you should be able to calculate released/utilized energy and know the definition of endothermic & exothermic processes, which I've already included in my article.
 
Last edited:
  • #18
A M said:
Now, to understand this part, you should be able to calculate released/utilized energy and know the definition of endothermic & exothermic processes, which I've already included in my article.

Which article are we talking about? Has anyone but you seen it?
 
  • #19
PeroK said:
Which article are we talking about? Has anyone but you seen it?
The article I want to publish in PF 'insights blog'. I'm told to share my basic understanding first and ask if they're correct. The post #10 is a small part of that article.
 
  • #20
mfb said:
You didn't give a motivation for the formula used, but adding that would add a lot of text.
I've just decided to remove that formula; because the Liquid Drop Model & SEMF provide a poor (and even wrong) fit for lightest nuclei. And also as you said, if I mention this formula in an introduction article, I should give a motivation and thus a lot of text would be added.
mfb said:
It is unclear what you used for Z as function of A to make the graph.
SEMF: Coulomb term

##E_C=a_c\frac {Z(Z-1)} {A^{1/3}}##

Because electrostatic repulsion will only exist for more than one proton, we use ##Z(Z-1)##. But for a more precise calculation, ##Z(Z-1)## becomes ##Z^2## when we know the Coulomb energy for hydrogen is zero. So:

##E_C=a_c\frac {Z^2} {A^{1/3}}##

The Coulomb energy per nucleon of a nucleus, is its Coulomb energy devided by mass number. So, for ##E_C/A## we could write:

##E_C/A=a_c\frac {\frac {Z^2} {A^{1/3}}} {A}##

And according to some sources, the Coulomb constant has an approximated value of 0.711 MeV. Now we could say:

##E_C/A=0.711(Z^2) (A^{-4/3})##

Now, for the diagram, I've chosen consistent mass numbers and found a common number of protons for each of them. So, I calculated the electrostatic Coulomb energy per nucleon of those nuclides, as indicated in the table: (If you don't trust me, you can try them!)

A
Z
Coulomb Energy Per Nucleon (MeV)
10
5
0.82504241517467144812589107137593
20​
10​
1.3096731977666574383547270173376​
40​
20​
2.0789766118693477725753258130581​
60​
28​
2.3731070502363552605146235364512​
80​
35​
2.5266923964724313098855414060888​
100​
44​
2.9655707330901278154667805571396​
120​
50​
3.003087235314366341293607217633​
140​
58​
3.2901942593683050836412430369323​
160​
65​
3.4583557878525797981554510301572​
180​
73​
3.7280807808229717942208753820972​
200​
80​
3.8905372738788209901761933068118​
220​
86​
3.9594627552307058369555999815452​
240​
93​
4.1230681081804578142669633347108​
260​
102​
4.45764501351304836462737746102​

So, by this calculated information, I've made an almost precise diagram:

Coulomb Energy Diagram.jpg

Vanadium 50 said:
Whatever it is, it's smoother than in real life. (Even assuming spherical nuclei)
It isn't that smooth anymore! :smile:
 
Last edited:
  • #21
A M said:
for a more precise calculation, ##Z(Z-1)## becomes ##Z^2## when we know the Coulomb energy for hydrogen is zero

You have this backwards. ##Z(Z - 1)## is the more precise version, which goes to zero for hydrogen (##Z = 1##). ##Z^2## is an approximation for large ##Z##.
 
  • #22
PeterDonis said:
You have this backwards. Z(Z−1)Z(Z−1)Z(Z - 1) is the more precise version, which goes to zero for a single proton (hydrogen-1 nucleus). Z2Z2Z^2 is an approximation for large ZZZ.
But I don't agree. As I said we can consider the Coulomb energy of hydrogen as zero, and then use ##Z^2## for other nuclides. As written in Wikipedia & int.washington.edu , a more reliable version is ##Z^2##, but since ##Z^2≈Z(Z-1)## and it goes to zero for hydrogen, we use ##Z(Z-1)##.
 
  • #23
A M said:
As written in Wikipedia & int.washington.edu , a more reliable version is ##Z^2#,

That's not what those sources are saying. The washington.edu link does not mention ##Z(Z - 1)## at all, but it does say that ##Z^2## applies "if we have a nucleus of charge ##Z## with ##Z >> 1##". It does not say that ##Z^2## is accurate for all values of ##Z## except the ##Z = 1## of hydrogen. For small ##Z##, due to the small size of the Coulomb constant compared to the other coefficients in the formula, the Coulomb term is small enough compared to the other terms that the error introduced by using ##Z^2## instead of a more accurate formula doesn't matter. That is not the same as ##Z^2## being "more reliable".

The Wikipedia article does mention ##Z(Z - 1)##. It does not say it is less reliable or that ##Z^2## is more reliable.
 
  • #24
PeterDonis said:
The Wikipedia article does mention Z(Z−1)Z(Z−1)Z(Z - 1).
Yes, I know, but I think the explanation of most online sources isn't correct;
For example I've seen Wikipedia, washington.edu, and Lecture 19.

In washington and lecture, it's written that the dependence is on ##Z^2##. And also the way ##Z(Z-1)## is explained in wiki and lecture, can be by implication be taken to mean ##Z(Z-1)## is the approximation. (E.g. when wiki says ##Z^2≈Z(Z-1)## and then continues the equation with ##Z(Z-1)##.)
None of these sources say that ##Z(Z-1)## is more precise for lightest nuclei except hydrogen. [When it says ##Z>>1## how can I really understand that Z(Z-1) -which isn't mentioned- is more precise?] All of these made me think that Z^2 is more reliable.

I don't want to justify my mistake, but I think my problem was due to their unclear explanations.

Even the coulomb constant in Wikipedia is 0.691, in washington is 0.71, and in lecture is 0.72 !

I just want to say that if the approximation is that rough, it doesn't really matter if I use ##Z^2## instead (specially when I don't need to mention the formula in my article).

I think we're just discussing about something off topic. Anyway, thanks for your correction!
 
  • #25
A M said:
I think the explanation of most online sources isn't correct

Given your admitted level of knowledge, this is extremely presumptuous.

A M said:
For example I've seen Wikipedia, washington.edu, and Lecture 19.

And the third one specifically talks about ##Z - 1## as a better formula than ##Z^2##, at the bottom of p.1, where it says: "the equation says even one proton, i.e. ##Z= 1##, gives a correction to the binding energy, even though there is nothing to repel it. This means the correction to the binding energy should not be quite as big. A better form is ##a_c Z (Z - 1) / A^{1/3}##, which is now zero for ##Z= 1##.". So you are citing a source that says the opposite of what you are claiming.

A M said:
the way ##Z(Z-1)## is explained in wiki and lecture, can be by implication be taken to mean ##Z(Z-1)## is the approximation

The lecture explicitly says the opposite. See above.

A M said:
I don't want to justify my mistake, but I think my problem was due to their unclear explanations.

Given your admitted level of knowledge, this is also extremely presumptuous.

A M said:
Even the coulomb constant in Wikipedia is 0.691, in washington is 0.71, and in lecture is 0.72 !

Yes, that's because this is an empirically derived number, not something calculated from first principles, which means different sources might have different estimates of its value. The entire semi-empirical mass formula is an estimate derived from various plausible assumptions and empirical data, not calculated directly from first principles.

A M said:
I just want to say that if the approximation is that rough, it doesn't really matter if I use ##Z^2## instead

That's correct, and I explicitly said so in post #23.

A M said:
(specially when I don't need to mention the formula in my article)

If you're not going to talk about binding energy per nucleon at all in your article, then of course you don't need to mention the semi-empirical mass formula. But if you're not going to talk about binding energy per nucleon in your article, this entire thread is pointless since it's discussing something that you would only mention in a discussion of binding energy per nucleon.

If you are going to talk about binding energy per nucleon, then you do need to mention the semi-empirical mass formula since it's where the binding energy per nucleon curve comes from.
 
  • #26
A M said:
the way ##Z (Z-1)## is explained in wiki and lecture, can be by implication be taken to mean ##Z(Z-1)## is the approximation

The entire semi-empirical mass formula is an approximation. We don't know how to calculate entirely from first principles what the binding energy of a nucleus should be. The formula, as I said in my last post, includes plausible assumptions about what the important things are that determine the binding energy, plus numbers put in by hand and derived from empirical data.

So the question isn't which of ##Z^2## and ##Z(Z - 1)## is the approximation; they both are. The question is which one is the better approximation. Of the sources you linked to, only one explicitly talks about that, the lecture19 PDF; and as I noted in my last post, it says ##Z ( Z - 1 )## is a "better form".
 
  • #27
PeterDonis said:
Given your admitted level of knowledge, this is extremely presumptuous.
Z.JPG

Just think a 'beginner' with "admitted level of knowledge" wants to read this from Wikipedia.
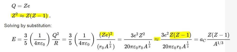
At first it says ##Q=Ze##; so ##E## 'equals' ##(Ze)^2/(r_0 A^{1/3})##. But because ##Z^2≈Z(Z-1)##, ##E## is 'almost equal to' ##3e^2{Z(Z-1)}/20πε_0r_0 A^{1/3}##.

Doesn't it really mean that ##Z(Z-1)## is the approximated version?

Q.JPG

It explicitly says that the dependence is on ##Z^2##, but "because electrostatic repulsion will only exist for more than one proton", we use ##Z(Z-1)##.
It doesn't directly say that ##Z^2## is also inaccurate for 'lightest nuclei except hydrogen'.

W2.JPG

In Washington.edu, it has directly been said the Coulomb term is dependent on ##Z^2##.
W.JPG


Although that it says ##Z>>1##, but at least to me (with admitted level of knowledge) it doesn't mean that ##Z(Z-1)## is more precise for lightest nuclei except hydrogen.

I know my impression might be wrong, but I believe that many people visiting these sources, don't have much information about SEMF. Thus clear (=more than correct) explanation is an important factor in order to avoid confusion for 'beginners' like me.

But if you think it's still "extremely presumptuous", I'm very sorry. It was just an implication understood by a 'beginner' with 'very low level of knowledge' who has never been 'taken seriously'.

Thanks!
 
  • #28
A M said:
Just think a 'beginner' with "admitted level of knowledge" wants to read this from Wikipedia.

Wikipedia is not a good source to learn from in any case. You should be looking at textbooks. At least the other sites you linked to were college lecture notes, but those are still likely to be incomplete; see below.

A M said:
Doesn't it really mean that ##Z(Z-1)## is the approximated version?

Both are approximations. Go back and read my post #26.

A M said:
I know my impression might be wrong, but I believe that many people visiting these sources, don't have much information about SEMF.

People visiting Wikipedia might have all kinds of levels of knowledge, but as above, Wikipedia is not a good source to learn from anyway.

The expected level of knowledge of people reading college lecture notes will depend on the level of the course the notes are for. And lecture notes would be expected to be explained further in class, so unless you went to the class itself you're missing information and the notes will not be the best source to learn from.

Once again, textbooks are the best source for someone at your level of knowledge to learn from; they are at least expected to be reasonably comprehensive and not to leave things out.

A M said:
clear (=more than correct) explanation

Huh? You mean a clear explanation that's incorrect is preferable to you?

A M said:
It was just an implication understood by a 'beginner' with 'very low level of knowledge' who has never been 'taken seriously'.

You started this thread to check if your understanding is correct. If you're going to keep insisting on an implication you got from a Wikipedia page even after we have given you a better answer here, what's the point of this thread? The purpose of this thread is not to fix Wikipedia or to catalogue all the ways in which Wikipedia and other online sources are wrong; it's for you to improve your understanding. If you're not going to be satisfied with the answers you get here, then go work your way through a textbook.
 
  • #29
In addition to what was said before:

I think you are even misinterpreting what the Wikipedia article is doing. The calculation there is an estimate for ##a_C##, assuming that you can approximate ##Z(1-Z)## by ##Z^2##. So they start out with a spherical symmetrical charge distribution, for which the Energy would be proportional to ##Z^2## and then compare it to the ##Z(1-Z)## term in the empirical formula. The article in no way talks about how to derive the form of the coulomb term. In that light the 0.69 they calculate are not really on the same footing as the results of the fits.

A M said:
Even the coulomb constant in Wikipedia is 0.691, in washington is 0.71, and in lecture is 0.72 !

But even ignoring that, I think this statement is a bit premature. The numbers only differ by about 5%, only at ##Z\approx20## will the difference between the two versions of the coulomb term be of the same order (of course, the overall effect of the coulomb term might be so small that 5% don't matter, but you don't just get the statement that the form of the coulomb term does not matter from looking at these numbers).
 
  • #30
PeterDonis said:
Huh? You mean a clear explanation that's incorrect is preferable to you?
The reverse; an unclear explanation that's correct is not preferable to me!
PeterDonis said:
If you're going to keep insisting on an implication you got from a Wikipedia page even after we have given you a better answer here
I'm not.
If you see my first posts, you'll understand that I accepted my mistakes, improved my understanding, and edited my article.
If you consider the post#20, you'll know that I worked hard to improve my understanding and correct my article. There was a mistake -which wasn't so important- from the post that you mentioned. At first, I didn't agree but then you convinced me I'm wrong.

Then, I just told you my misunderstanding was due to unclear explanations from online sources.
I've already accepted my mistakes, and I know the more precise version is ##Z(Z-1)##.

I never kept insisting on my understanding.

Would you please tell me if it is necessary to mention this formula? The liquid drop model is not correct for lightest nuclei; if someone read my article and calculated the binding energy of for example α particle, and found it inaccurate, what should I say? Is it really essential to mention such a formula in an introduction topic?
 

Similar threads

  • · Replies 1 ·
Replies
1
Views
2K
  • · Replies 28 ·
Replies
28
Views
3K
  • · Replies 5 ·
Replies
5
Views
2K
  • · Replies 1 ·
Replies
1
Views
2K
  • · Replies 8 ·
Replies
8
Views
3K
  • · Replies 4 ·
Replies
4
Views
3K
  • · Replies 14 ·
Replies
14
Views
4K
  • · Replies 13 ·
Replies
13
Views
3K
  • · Replies 12 ·
Replies
12
Views
5K
  • · Replies 5 ·
Replies
5
Views
3K