Derivative of e^x exponential functions.

Click For Summary

Homework Help Overview

The discussion revolves around understanding the derivative rules specific to exponential functions, particularly the function e^x. The original poster expresses confusion regarding the validity of various methods for evaluating derivatives of exponential functions and seeks clarification on their correctness.

Discussion Character

  • Conceptual clarification, Assumption checking

Approaches and Questions Raised

  • The original poster attempts to categorize methods for finding derivatives of e^x and compares them to those for general exponential functions like b^x. Some participants question the validity of the methods used, particularly regarding the application of the chain rule and the circular reasoning involved in certain approaches.

Discussion Status

Participants are actively engaging in clarifying the rules of differentiation as they apply to exponential functions. Some guidance has been offered regarding the definitions and properties of exponential functions, but there remains a lack of consensus on the effectiveness of the methods discussed.

Contextual Notes

There is an ongoing exploration of the differences between methods applicable to e^x versus b^x, with participants noting specific instances where certain rules yield correct results for one function but not the other. The original poster acknowledges confusion stemming from previous discussions and seeks to organize their understanding of the derivative rules.

LearninDaMath
Messages
295
Reaction score
0

Homework Statement




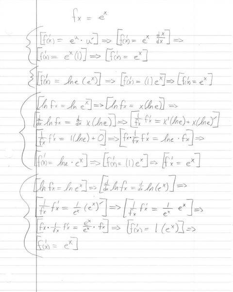
In the last couple threads, it has become apparent that I need to organize my understanding of some of the derivative rules, specifically as they relate to exponential functions, such as e^x.

So I wrote out a couple possible ways of evaluating e^x. Could you tell me if these are valid or invalid methods.

I want to say that they are all correct methods except for the last method. Even though I get the correct answer in the last (4th) attempt, it does not work for any other exponential function, thus is coincident that it works with e^x.

So basically, in terms of functions in which the variable is in the exponent, the methods of exponential rule, chain rule, or taking ln of both sides are valid. However the power rule can not be used. (and of course the inaccurate method of using the chain rule as in attempt #4 also can not be used)

Is this an accurate assessment of taking derivatives of exponential functions? Is there anything I'm missing or anything I'm mixing up?



exponents-1.jpg




Homework Equations





The Attempt at a Solution

 
Physics news on Phys.org
I got to be honest with you: I have no idea what it is that you are trying to do here. One way to define the exponential function is that it is the function whose derivative is equal to itself. If the exponential function is defined in this way, then there is no point in trying to show that this result is true, because it is true by definition.

For instance, in method one, when you used the "chain rule" (which was unnecessary, because you did not have a composition of functions), you used the fact that the derivative of the exponential function is equal to itself in the calculation itself. That's how you got the eu factor. So this is completely circular and ultimately pointless.

For method 2: I have no idea what you did. It makes no sense.

Method 3 is sort of OK. Instead of starting with the definition of ex, you could very well (as an alternative) define ln(x) first as the function whose derivative is equal to 1/x. You could then define the exponential function exp(x) to be the inverse of ln(x), and then show that this inverse function must have a derivative that is equal to itself because of the definition of ln(x) above. This is essentially what you have done. However, you have a bunch of useless and extraneous steps, because you carry ln(ex) through the calculation. Since the exponential function and the natural logarithm are inverse functions, they UNDO each other. In other words ln(ex) = x. So you could have just written:[tex]f(x) = e^x[/tex][tex]\ln[f(x)] = \ln(e^x) = x[/tex][tex]\frac{d}{dx}\ln[f(x)] = \frac{dx}{dx}[/tex][tex]\frac{1}{f(x)}\frac{df}{dx} = 1[/tex][tex]\frac{df}{dx} = f(x)[/tex]

Method 4, as far as I can see, is not any different from method 3, except for the order in which you carry out certain steps. I should point out that the step indicated by the third arrow in method 4 is totally circular as well, because you state that [itex](e^x)^\prime = e^x[/itex] which is the very result that you are trying to show.
 
Last edited:
Okay, I get what you did in method 2. You used the fact that for a general exponential function with arbitrary base a (instead of the natural base e), the derivative is given by:

[tex]\frac{d}{dx}(a^x) = \ln(a)a^x = \textrm{const}*a^x[/tex]

However, this is still somewhat circular, since the definition of the base e and the fact that its natural logarithm is 1 come from finding the value of a such that the constant = 1. So all you're really doing is showing that the definition is self-consistent.
 
Yes, these rules are the rules that have been mixing me up over the last couple threads so I just wanted to kind of try to organize them into what works and doesn't work. And I'm seeing that these derivative rules seem to yield the correct answers in the specific case, of fx = e^x but don't always seem to work in the general case of fx=b^x.

For instance, using the chain rule on e^x yields e^x, but the chain rule in the same way does not work on b^x.

And the method of taking ln of both sides, then the derivative without bringing down the variable (the 4th method) on e^x yields e^x, but doesn't not yield the correct answer for b^x. Here is the same set of derivative rules as in the original post, but applied to fx=b^x:The first method is the Chain rule: d/dx(eu) = eu * du/dx Which seems to work for e^x but not for b^x

The second method is the exponential rule: [itex]d/dt(a^t) = \ln(a) a^t[/itex] ,which seems to work in both cases

The third method is taking ln of both sides, then the derivative: which seems to work in both cases.

The fourth method is taking ln of both sides, then the derivative without bringing the exponent down, which seems to work for e^x ,but not for b^x
exponential.jpg
Note: The power rule, being relatively the same method as the chain rule, does not work for e^x nor b^x . I think I used the chain rule ( method #1) incorrectly for the b^x function. I think I should have just kept it as b^u*u' = b^x*1 = b^x instead of ub^(u-1)*u'. That would have been more in line with how I was applying the chain rule to e^x in the original post. However, since neither the power rule nor the chain rule with u substitution will not work for b^x, it kind of doesn't matter.

I was just trying to see what methods work and don't work on e^x and compare that to what rules/methods work and don't work on b^x.

For some reason, I think seeing how multiple methods could be used on the same function will help me to evaluate derivatives as they get more complicated (that is, if they continue getting more complicated than I'm already experiencing so far).
 
Last edited:
You know, it's really frustrating when somebody asks me for help, and I explain to them that what they are doing has no point to it, and that it makes no sense, and I elaborate on why that is, but the person doesn't seem to listen, and just responds by trying to do more of the same misguided stuff, instead of trying to learn. It's as though that person either didn't listen, or didn't understand.

Most of your "discrepancies" arise from the fact that you simply haven't learned and undersood the rules of differential calculus at all. For example, let's take a look at your method 1. I don't know why you're trying to apply the chain rule to a function that is not a composition of more than one function. But let's say for the sake of argument that you did have a compositions of functions. You have f(u) = bu, and it turns out that the variable u is itself a function u = u(x). Therefore, you actually have a composition of functions: f(u(x)), and hence the chain rule is appropriate (in this contrived example that we just made up, NOT for bx alone). The chain rule says that:[tex]\frac{df}{dx} = \frac{df}{du}\frac{du}{dx}[/tex][tex]~~~~~= \frac{d}{du}(b^u)\frac{du}{dx}[/tex]Now at this point, the function bu is an exponential function of u. It is NOT a power law function. So WHY the heck are you using the power rule? :confused:
You would use the exponential rule just as you would for any other exponential function:[tex]\frac{df}{dx} = b^u\ln(b)\frac{du}{dx}[/tex]As you can see, the rules work just fine if you actually follow them.

For method 2: In the fourth step, ln(b) is a CONSTANT. Therefore [itex]\frac{d}{dx}(\ln b) = 0[/itex]. The derivative of a constant is 0. There is NO POINT in writing it as b'/b and then carrying all of those useless steps through the calculation, because b' = 0.

For method 3. What do you mean "does not work?" It worked just fine. It was a bunch of useless steps that served no purpose...but it worked. At the end, you obtained:[tex]f^\prime(x) = \frac{(b^x)^\prime}{b^x}b^x[/tex]Notice that you have a bx in both numerator and denominator, and therefore they cancel, leaving[tex]f^\prime(x) = (b^x)^\prime[/tex]So what you've shown is that [itex]f^\prime(x) = f^\prime(x)[/itex]. It's certainly true, it's just not useful.

Note: The power rule, being relatively the same method as the chain rule, does not work for e^x nor b^x.

What? The power rule is NOT the same as the chain rule AT ALL. The power rule is for differentiating power law functions, and the chain rule is for differentiating compositions of functions (i.e. when you have a function of a function). Furthermore, the power rule is for power law functions, NOT exponential functions. Therefore, you should not expect it to work on ex or bx.

I think I used the chain rule ( method #1) incorrectly for the b^x function. I think I should have just kept it as b^u*u' = b^x*1 = b^x instead of ub^(u-1)*u'. That would have been more in line with how I was applying the chain rule to e^x in the original post. However, since neither the power rule nor the chain rule with u substitution will not work for b^x, it kind of doesn't matter.

To re-iterate what I said above: you WERE indeed using the chain rule wrong, but not for the reason you think. The chain rule works just fine for a composition of functions, provided you use it correctly.

I was just trying to see what methods work and don't work on e^x and compare that to what rules/methods work and don't work on b^x.

For some reason, I think seeing how multiple methods could be used on the same function will help me to evaluate derivatives as they get more complicated (that is, if they continue getting more complicated than I'm already experiencing so far).

That's fair enough, but it only really makes sense to use method 2 and method 3 from your original post on exponential functions. It's an exponential function, so either use the rule that applies to exponential functions, or get rid of the exponential using a ln.

Based on the kinds of mistakes you've been making in your work, I think you need to brush up on the basic differentiation rules before moving on to more advanced stuff. For example: the derivative of a constant is 0. That's a rule you ought to know and understand before continuing.
 
Sorry about that Cepheid, it was late and I was struggling just to keep my eyes open. I didn't really understand what you meant by the process being circular, but now I get it to be something that simply proves that f'(x) = f'(x), but does not produce an actual evaluation of the derivative.

There were always some gaps in knowledge, but they only became apparent and relevant about 2 threads ago when I was trying to find the derivative of s(t) = (976(.835)^t - 1) +176t.

My professor wrote out the answer for the class as something to look at before an exam. He skipped some steps and since I saw that ln appeared, I figured he must have took ln of both sides. (I was unaware of the use of the exponential rule within a polynomial at this time). So I began trying to solve it by taking ln of both sides, but this was proving complicated for me. So I asked for guidance here on PF. Here I learned that I could use the exponential rule, even if the other terms of the equation are not exponential functions. It was also explained that, if I preferred, I could actually take ln of both sides, and with some extra work, still arrive at the correct solution. This was news to me. I didn't know you could have a function and use different methods to find its derivative. Furthermore, it was explained that I could even use the chain rule. However, I didn't actually delve into solving using the chain rule, as seeing how to use the exponential function, and take ln was good enough for the moment. However, in light of a more recent thread, I have become confused as to why the chain rule would work on s(t) = (976(.835)^t - 1) +176t. Because, from my view, there is no composition of functions here. And after taking ln of both sides, there is still no composition of functions. And as you explain, the chain rule can only be applied if there is a composition of functions. So can the chain rule be applied to s(t) = (976(.835)^t - 1) +176t if there is no (readily apparent) composition of functions present?--------------------------------------------------------------
https://www.physicsforums.com/showthread.php?t=583591

Post#2

Office_Shredder said:
ln does not do what you want it to do. Once you take ln you're basically done as far as simplifying the equation is concerned. Of course, at that point you could just use the chain rule, but that requires differentiating the original equation as well, which begs the question: why are you taking ln before differentiating if all you want is the derivative of s(t)?
---------------------------------------------------------------

So, I was under the impression that there was reason to believe that I could be more liberal with the rules, such as the chain rule, since multiple rules seems to have the ability to be applicable to each function. This prompted me to want to investigate further into which rules would apply for various types of functions.

Also, in the thread before this one:

https://www.physicsforums.com/showthread.php?p=3798949#post3798949

Post #10
Mark44 said:
d/dx(eu) = eu * du/dx
You can apply this when you differentiate ex1/2

And when I see u substitution, I think chain rule, so if chain rule could be work on e^x^1/2, and could also work on just e^x, combining that with office shredder saying that chain rule could somehow be applied to s(t) = (976(.835)^t - 1) +176t, I figured it would be a good bet to try to apply chain rule to b^x and b^2x and see what happens. Unfortunately, when attempting to apply chain rule to b^x and b^2x, I realized another, separate piece of confusion, which was that I've been putting the chain rule and power rule under the same umbrella, since for power functions, fx=x^2, the chain rule seems to have a similar pattern as the power rule. And now that I cleared up the confusion between the chain rule and power rule, I have gone back to trying to apply the chain rule to b^x and b^2x, and I'm finding that the chain rule does not work on b^x (only the exponential rule). And the chain rule does not work on b^2x (only the exponential rule would work).

However, the last sentance of the above paragraph seems to conflict with your statement (or I am misunderstanding what is meant by having a composition in the exponent).
If I assume that f(x)=b^2x means that there is as composition in the exponent, and therefore I can use chain rule, then I would have:
cepheid said:
[tex]\frac{df}{dx} = \frac{df}{du}\frac{du}{dx}[/tex][tex]~~~~~= \frac{d}{du}(b^u)\frac{du}{dx}[/tex]

= (b^2x)(2)

which would be correct if b = special case e. But how does it actually compute if b is any other constant?

It seems chain rule can not provide the correct answer of b^2x(lnb)? So I must not be understanding what is meant by "Therefore, you actually have a composition of functions: f(u(x)), and hence the chain rule is appropriate." I understand this is a contrived example for the sake of argument, but it feels important to make these distictions and appreciate your on going efforts to help me understand.

In one case, the chain rule can not be applied because there is no composition of functions. For example, fx=b^x is not a composition of functions, thus u substitution (chain rule) will not yield b^x(lnb), thus can not be computed with chain rule.

However, you say that if b^x was somehow a composition, then, technically, chain rule could be applied. Is there an example? I tried to use b^2x, as that seems to be a composition (but perhaps I'm incorrect in thinking that making x a multiple of 2 automatically makes this term a composition). So I can't think of how to make b^x into a composition that would allow the chain rule to apply.

And lastly, how does this align with Office shredder's quote from the other thread? If the chain rule can't be applied to b^x, then how can it apply to s(t) = (976(.835)^t - 1) +176t.
 
LearninDaMath said:
Sorry about that Cepheid, it was late and I was struggling just to keep my eyes open. I didn't really understand what you meant by the process being circular, but now I get it to be something that simply proves that f'(x) = f'(x), but does not produce an actual evaluation of the derivative.

It's true that your example above is circular, but that's not what I was referring to when I first brought it up. I was referring to the fact that in your original post, on several occasions you used the fact that [itex]\frac{d}{dx}(e^x) = e^x[/itex] in order to show that [itex]\frac{d}{dx}(e^x) = e^x[/itex]. Needless to say, this is circular reasoning!

LearninDaMath said:
There were always some gaps in knowledge, but they only became apparent and relevant about 2 threads ago when I was trying to find the derivative of s(t) = (976(.835)^t - 1) +176t.

My professor wrote out the answer for the class as something to look at before an exam. He skipped some steps and since I saw that ln appeared, I figured he must have took ln of both sides. (I was unaware of the use of the exponential rule within a polynomial at this time).

This function s(t) is not a polynomial.

LearninDaMath said:
So I began trying to solve it by taking ln of both sides, but this was proving complicated for me. So I asked for guidance here on PF. Here I learned that I could use the exponential rule, even if the other terms of the equation are not exponential functions.

You can do this because of a differentiation rule: the derivative of a sum of functions is equal to the sum of the derivatives of those functions. In other words[tex]\frac{ds}{dt} = \frac{d}{dt}[976(0.835)^t - 1 +176t][/tex][tex]~~~~~= \frac{d}{dt}[976(0.835)^t] + \frac{d}{dt}(-1) + \frac{d}{dt}(176t)[/tex]This rule, that the derivative of the sum is the sum of the derivatives is one of those basic rules that I said you really ought to know before moving on to the more advanced stuff. So, the point is that you can differentiate each term in the sum separately. You would then apply the exponential rule only to the term that has the exponential in it.

LearninDaMath said:
It was also explained that, if I preferred, I could actually take ln of both sides, and with some extra work, still arrive at the correct solution. This was news to me. I didn't know you could have a function and use different methods to find its derivative.

I'm not sure why this example is so surprising. If you do the same thing to both sides of an equation, the equation is still true. And if you apply different techniques to find the derivative of a function, then they should all give you the same answer (provided all of those techniques are valid). After all, mathematics has to be internally consistent! This doesn't mean, however, that you can use any differentiation method on any function. You have to know which methods are appropriate in which situations. This knowledge comes from studying calculus, although in some cases it is fairly obvious. I mean, obviously you can't use the power rule on a function that is not a power law. If you don't understand that, then you haven't understood what the power rule is in the first place, and how it was derived.

LearninDaMath said:
Furthermore, it was explained that I could even use the chain rule. However, I didn't actually delve into solving using the chain rule, as seeing how to use the exponential function, and take ln was good enough for the moment. However, in light of a more recent thread, I have become confused as to why the chain rule would work on s(t) = (976(.835)^t - 1) +176t. Because, from my view, there is no composition of functions here.

You're right there isn't.

LearninDaMath said:
And after taking ln of both sides, there is still no composition of functions.

Yes, of course, there is a composition! You have ln( s(t) ), which is clearly a function of a function.

LearninDaMath said:
And as you explain, the chain rule can only be applied if there is a composition of functions.

That's not quite what I meant. You can always treat a single function as though it were a composition. Let's take one of your previous examples. Let's say you're trying to differentiate f(x) = bx with respect to x. You could always write f(x) = bx as f(u(x)) = bu(x), where we have defined the function u(x) = x. Now if you apply the chain rule, you get:[tex]\frac{df}{dx} = \frac{df}{du}\frac{du}{dx}[/tex][tex]~~~~~= \frac{d}{du}(b^u)\frac{dx}{dx}[/tex][tex]~~~~~=\frac{d}{du}b^u[/tex]As you can see, these steps have been wasted. In the end, we're back to square one, because we're still stuck having to differentiate the function bu that we were trying to differentiate in the first place. All that has occurred is a change of symbol.

So, in conclusion, it's not that you can't use the chain rule on a function that isn't a composition of functions. You can. It's just that it's unnecessary and doesn't gain you anything. In hindsight, it should be no surprise to you that the substitution, "let u = x" accomplishes nothing.

LearninDaMath said:
So can the chain rule be applied to s(t) = (976(.835)^t - 1) +176t if there is no (readily apparent) composition of functions present?


--------------------------------------------------------------
https://www.physicsforums.com/showthread.php?t=583591

Post#2

Office_Shredder said:
ln does not do what you want it to do. Once you take ln you're basically done as far as simplifying the equation is concerned. Of course, at that point you could just use the chain rule, but that requires differentiating the original equation as well, which begs the question: why are you taking ln before differentiating if all you want is the derivative of s(t)?

---------------------------------------------------------------

You misinterpreted what Office_Shredder said. I have put the key phrase in boldface. He was saying that after you take the natural log of both sides, then at that point you will be faced with a composition of functions, which will require you to use the chain rule. He also rightly points out that this is a waste of time and it is better to just differentiate s(t) directly, instead of taking the ln of both sides, which only introduces more work for you once you do end up differentiating.

LearninDaMath said:
I have gone back to trying to apply the chain rule to b^x and b^2x, and I'm finding that the chain rule does not work on b^x (only the exponential rule).

You can apply the chain rule to bx and I've just shown you how to do so above. It just doesn't help you at all, since you still need to know the exponential rule to compute the derivative of what you end up with. Like I said, it doesn't gain you anything.

LearninDaMath said:
And the chain rule does not work on b^2x (only the exponential rule would work).

Yes, it does work, and in this case, it is required in order to do the derivative correctly.

LearninDaMath said:
However, the last sentance of the above paragraph seems to conflict with your statement (or I am misunderstanding what is meant by having a composition in the exponent).
If I assume that f(x)=b^2x means that there is as composition in the exponent, and therefore I can use chain rule, then I would have:

= (b^2x)(2)

which would be correct if b = special case e. But how does it actually compute if b is any other constant?

It seems chain rule can not provide the correct answer of b^2x(lnb)?

Once again, you're simply doing it wrong. It seems like you don't know how to apply the chain rule properly. If f(x) = b2x, then you can say, let u(x) = 2x, then f(u) = bu. This is a composition of functions (I could have written that explicitly as f(u(x)) = bu(x)). So, the chain rule says that

[tex]\frac{df}{dx} = \frac{df}{du}\frac{du}{dx}[/tex][tex]~~~~~=\frac{d}{du}(b^u)\frac{d}{dx}(2x)[/tex][tex]~~~~~=b^u\ln(b)(2)[/tex][tex]~~~~~=2b^{2x}\ln(b)[/tex]

I think I have answered all of the questions that you asked in the remainder of your post
 
Thanks for breaking it down. I'm much more comfortable with this concept, however there are still a few examples that still seem conflicting. But I'm going to make a new thread for each function that seems not to coincide with the rules presented thus far. Thanks for helping me see this concept in such detail.
 

Similar threads

  • · Replies 5 ·
Replies
5
Views
2K
Replies
2
Views
2K
Replies
7
Views
2K
Replies
4
Views
2K
  • · Replies 14 ·
Replies
14
Views
2K
  • · Replies 1 ·
Replies
1
Views
2K
  • · Replies 3 ·
Replies
3
Views
2K
  • · Replies 4 ·
Replies
4
Views
1K
  • · Replies 7 ·
Replies
7
Views
2K
  • · Replies 12 ·
Replies
12
Views
4K