Deriving expression for resistance in terms of current density

Click For Summary

Discussion Overview

The discussion revolves around deriving an expression for resistance in terms of current density, particularly in the context of electromotive force (emf) and its effects on electric fields. Participants explore different approaches to relate current, current density, and resistance while considering the influence of emf on the electric field.

Discussion Character

  • Technical explanation
  • Debate/contested
  • Mathematical reasoning

Main Points Raised

  • One participant questions the validity of using the equation \( j = \sigma E \) without considering the effect of emf, suggesting that \( j \) should be expressed as \( j = \sigma (E + E') \).
  • Another participant agrees with the reasoning behind the equation and sees no issues with it.
  • A participant presents an equation relating voltage difference, current, resistance, and emf, emphasizing that the voltage difference in a circuit with emf is not simply \( IR \) but includes a term for emf.
  • There is a repeated assertion that \( j \) must account for the emf, reinforcing the idea that it should be expressed in terms of both \( E \) and \( E' \).
  • One participant expresses frustration with the discussion around the split electric field concept, indicating a desire to move past that topic.

Areas of Agreement / Disagreement

Participants express differing views on the treatment of the electric field in relation to emf. While some agree on the necessity of including the effect of emf in the expression for current density, others are less certain or challenge the framing of the discussion.

Contextual Notes

There are unresolved assumptions regarding the definitions of electric fields and the role of emf in the derivation of resistance. The discussion reflects varying interpretations of these concepts.

spindecide
Messages
3
Reaction score
0
Is there a way to obtain equation 9.42 (I is current, j is current density, and sigma is conductivity) in the following image (from Modern Electrodynamics by Andrew Zangwill, the part on electromotive force) besides using V=IR and substituting the line integral of j/conductivity for V? The aforementioned way requires that j=conductivity*E, but due to the emf, j should be equal to conductivity*[E + E'], where E' is a fictitious electric field representing the effect of any source of EMF.
Untitled.jpg
 
Physics news on Phys.org
I think this equation is reasonable and I don't see any problem with it.

Circuit-30.jpg
 
alan123hk said:
I think this equation is reasonable and I don't see any problem with it.

But how is R written as the first integral?
 
spindecide said:
But how is R written as the first integral?
My personal opinion as follow.

Circuit-31.jpg
 
But j is not just equal to sigma times E as the effect of the emf needs to be considered, so that j equals sigma times (E + E').
 
A very useful equation is shown here
Circuit-33.jpg
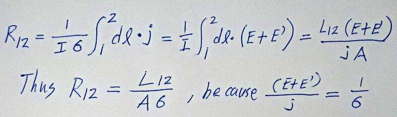
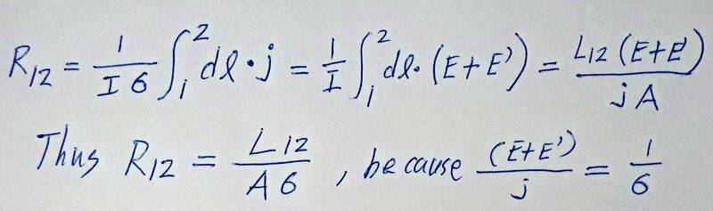
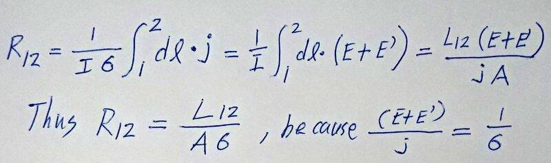
$$ V_1-V_2=IR_{12}-\varepsilon _{12}~~~~~\Rightarrow ~~~~~V_1-V_2=IR_{12}-\int_1^2~dl\cdot~E^{'} $$ That is to say, the voltage difference in a circuit with EMF is not equal to IR, but equal to IR minus EMF. This is actually an equation very familiar and commonly used by electrical and electronics engineers when conducting circuit analysis.

It is also worth noting that $$IR_{12}=(V_1-V_2)+\varepsilon _{12}=\int_1^2~dl\cdot~(E+E^{'}),~~~~\text{so}~~R=\frac {1}{I} \int_1^2~dl\cdot~(E+E^{'}) $$
Everything is in perfect harmony, without contradictions. :smile:
 
Last edited:
spindecide said:
But j is not just equal to sigma times E as the effect of the emf needs to be considered, so that j equals sigma times (E + E').
You are right, I accidentally wrote the equation wrong.
 
alan123hk said:
You are right, I accidentally wrote the equation wrong.
Can we please stop this split electric field nonsense???
Please.
 
  • Love
  • Like
Likes   Reactions: weirdoguy and vanhees71

Similar threads

  • · Replies 10 ·
Replies
10
Views
2K
  • · Replies 1 ·
Replies
1
Views
2K
  • · Replies 3 ·
Replies
3
Views
2K
  • · Replies 1 ·
Replies
1
Views
1K
  • · Replies 2 ·
Replies
2
Views
7K
Replies
44
Views
5K
  • · Replies 0 ·
Replies
0
Views
2K
  • · Replies 7 ·
Replies
7
Views
3K
  • · Replies 4 ·
Replies
4
Views
17K
  • · Replies 2 ·
Replies
2
Views
3K