Efficiently Integrate Your Homework Statement with These Tips - Expert Solutions

  • Thread starter Thread starter temaire
  • Start date Start date
  • Tags Tags
    Integration
Click For Summary

Homework Help Overview

The discussion revolves around evaluating limits and improper integrals, specifically focusing on the behavior of functions as they approach a critical point, x=4. The participants are examining the implications of approaching this point from the left and right in the context of the functions ln|x-4| and 1/(x^2 - 3x - 4).

Discussion Character

  • Conceptual clarification, Assumption checking, Problem interpretation

Approaches and Questions Raised

  • Participants discuss the necessity of approaching the limit from different sides and question the implications of these approaches on the evaluation of the integral. There are attempts to clarify the behavior of the functions involved and how they relate to the limits being considered.

Discussion Status

The discussion is ongoing, with participants providing insights and clarifications about the limits and the nature of the integrals. Some guidance has been offered regarding the approach to the limits, but confusion remains about the implications of approaching from different sides.

Contextual Notes

There is a focus on the behavior of the functions at x=4, with specific reference to the need for epsilon in defining the limits of integration. The participants are navigating through the complexities of improper integrals and the significance of approaching limits from both sides.

temaire
Messages
275
Reaction score
0
Homework Statement
ixw7ie.jpg



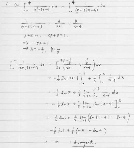
3The attempt at a solution

5d3wbr.jpg


Is this correct?
 
Physics news on Phys.org
Sure, it looks fine to me.
 
Do I need to show that I'm approaching 4 from the right?
 
temaire said:
Do I need to show that I'm approaching 4 from the right?

I would say you are approaching 4 from the left. t<4, correct? Why would you want to approach from the right?
 
Dick said:
I would say you are approaching 4 from the left. t<4, correct? Why would you want to approach from the right?

Because if I were approaching ln|x-4| from the right, the graph goes to -∞. How could you approach it from the left?

Or am I supposed to approach the original graph of 1/(x^2 -3x -4) from the left?
 
The problem with your integral is at x=4. To resolve it as an improper integral you want to integrate from x=0 to x=4-epsilon where epsilon>0. That means you are approaching the upper limit from the left. You don't care what the limit is from the right.
 
Dick said:
The problem with your integral is at x=4. To resolve it as an improper integral you want to integrate from x=0 to x=4-epsilon where epsilon>0. That means you are approaching the upper limit from the left. You don't care what the limit is from the right.

So even though the limit is approaching 4 from the left at ln|x-4|, we're infact evaluating the limit as it approaches 4 from the left of 1/(x^2-3x-4)?
 
temaire said:
So even though the limit is approaching 4 from the left at ln|x-4|, we're infact evaluating the limit as it approaches 4 from the left of 1/(x^2-3x-4)?

Now you are just confusing me. You are approaching x=4 from the left. Period. Approaching ln|x-4| from the left gives you the behavior of the integral of 1/(x^2-3x-4) on the interval [0,4].
 
This is what I was confused about.

66mc28.jpg


In the graph above, you can approach 4 from the right but not from the left.
 
  • #10
It's an absolute value, temaire. |x-4|. Doesn't that mean anything to you? :)
 
  • #11
Oh, so this is the graph. (x is from 3 to 5)

11maiqc.jpg


I understand now.
 
  • #12
You've got it.
 

Similar threads

  • · Replies 3 ·
Replies
3
Views
2K
  • · Replies 5 ·
Replies
5
Views
1K
  • · Replies 3 ·
Replies
3
Views
2K
  • · Replies 18 ·
Replies
18
Views
4K
  • · Replies 5 ·
Replies
5
Views
2K
  • · Replies 2 ·
Replies
2
Views
2K
  • · Replies 8 ·
Replies
8
Views
2K
  • · Replies 18 ·
Replies
18
Views
4K
  • · Replies 3 ·
Replies
3
Views
2K
  • · Replies 1 ·
Replies
1
Views
1K