Electric field between two cylinders in a vial

Click For Summary

Homework Help Overview

The discussion revolves around calculating the electric field between two cylindrical electrodes in a glass vial, with one electrode grounded and a voltage of up to 400 V applied. The setup involves considerations of dielectric materials and the geometry of the electrodes.

Discussion Character

  • Exploratory, Assumption checking, Problem interpretation

Approaches and Questions Raised

  • The original poster attempts to calculate the electric field and voltage as a function of distance, expressing uncertainty about the electric field gradient in an inhomogeneous field. They question the validity of their approach and the assumptions regarding the potential at the electrodes and the surrounding environment.
  • Some participants question the boundary conditions related to the glass vial and whether it can be considered an equipotential ground, suggesting the need to account for the dielectric properties of the materials involved.
  • Others suggest considering the external surface of the vial and its potential influence on the electric field, proposing alternative methods to establish boundary conditions.

Discussion Status

The discussion is ongoing, with participants exploring different interpretations of the problem and the implications of the dielectric materials. Some guidance has been offered regarding the boundary conditions and potential modeling approaches, but no consensus has been reached on the best method to calculate the electric field.

Contextual Notes

Participants note the complexity introduced by the asymmetric geometry of the electrodes and the presence of multiple dielectrics, which complicates the modeling of the electric field. There is also uncertainty regarding whether the problem is a standard homework question or part of an experimental design.

CMLeo
Messages
2
Reaction score
1

Homework Statement



Hello everyone,

I am writing here regarding a doubt I have about electric fields. Our set up consists on two rod shape electrodes in a cylindrical glass vessel separated by 6 mm from each other, with one of the electrodes grounded (electrodes dimensions: 0.5 mm diameter and 10 cm long). As far as I know the electric field between the electrodes is constant for uniform DC fields, but we have here an inhomogeneous field and I am not quite sure how to calculate the electric field gradient. A voltage up to 400 V is supplied within the system (dielectric solvent, so no current is induced and no chemical reaction is expected).

upload_2018-1-15_9-53-25.png

Homework Equations



Calculate the electric field and voltage in 1, 2, and 3 as a function of the distance.

The Attempt at a Solution


[/B]
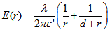
The voltage and electric field of a charge cylinder as a function of the distance is given by:

E(r)= λ/(2πεr) r≥a
V(r)= (λ ln(a/r))/(2πε) r≥a

where λ is the charge per unit length, ε is the permittivity of the free space, a is the radius of the cylinder, and R is the distance from one of the electrodes. V=400 V at the charged electrode and 0 V at the grounded electrode.

First, I think I should replace the permittivity of the free space for the medium (ε'=ε x εm). For a point co-linear with the centres of each cylinder we have an electric field in 2 equal to:
upload_2018-1-15_10-16-40.png


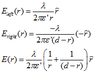
At 1:
upload_2018-1-15_10-17-41.png


At 3:
upload_2018-1-15_10-19-30.png


For the potential difference between the electrodes:

At 2:
upload_2018-1-15_10-48-24.png


At 1 and 3, respectively:
upload_2018-1-15_10-53-5.png


I am not sure whether this attempt is right or not. Besides, I would like to have the electric field without the charge per unit length since I do not know how to calculate with the information I have. So, I thought in obtain λ as a function of the voltage (I have the supply voltage) and replace it in the E equation. However, I do not know if this would work since the voltage at the second electrode is 0 V, should I assume that beyond the second electrode I have 0 V and the walls of the vial are 0 V as well?

Thanks in advance for any help.
 

Attachments

  • upload_2018-1-15_9-29-15.png
    upload_2018-1-15_9-29-15.png
    12 KB · Views: 747
  • upload_2018-1-15_9-53-25.png
    upload_2018-1-15_9-53-25.png
    11.7 KB · Views: 2,109
  • upload_2018-1-15_9-55-33.png
    upload_2018-1-15_9-55-33.png
    892 bytes · Views: 654
  • upload_2018-1-15_9-59-14.png
    upload_2018-1-15_9-59-14.png
    890 bytes · Views: 685
  • upload_2018-1-15_10-16-40.png
    upload_2018-1-15_10-16-40.png
    1.7 KB · Views: 1,169
  • upload_2018-1-15_10-17-41.png
    upload_2018-1-15_10-17-41.png
    981 bytes · Views: 1,107
  • upload_2018-1-15_10-19-30.png
    upload_2018-1-15_10-19-30.png
    984 bytes · Views: 1,058
  • upload_2018-1-15_10-48-24.png
    upload_2018-1-15_10-48-24.png
    2 KB · Views: 1,111
  • upload_2018-1-15_10-53-5.png
    upload_2018-1-15_10-53-5.png
    1.1 KB · Views: 1,096
  • Like
Likes   Reactions: BvU
Physics news on Phys.org
Welcome to PF.

The distribution or movement of charges outside the vial will connect to the internal electrodes through the glass wall, it is a glass dielectric capacitor. Should you now consider the outside surface of the vial to be an equipotential ground?

You need to identify the boundary condition. Is either vial surface an equipotential, or is the glass a series capacitance to the unspecified external environment. There are three dielectrics involved, the liquid, the glass and the air. The ratio of dielectric constant of the liquid to the glass will determine relative field gradient.
 
I would say that the glass is a equipotential ground. The air should not be consider, I assumed that the electrode surface is complete immerse within the dielectric solvent.
Regarding the boundary conditions, I am not what else I can consider to establish them. Any advise?

Thanks.
 
The problem is that glass is a dielectric insulator. One solution I can see would be to wind a helix of thin wire around the outside of the vial and connect it to ground. That would define the external glass surface as the ground potential boundary condition. In the real world I would also paint the external glass surface with ethylene glycol = radiator anti-freeze, which is hygroscopic so it will remain conductive and reduce the sensitivity to external electric fields.

The capacitance or electric field model will will need to include the glass and the liquid, but the asymmetric geometry makes it difficult. You might simplify the model by considering the two electrodes at symmetrical voltages ±V/2, about the external ground. Also, if the glass and liquid dielectric constants were of similar value, then the inner glass surface would "disappear" and so simplify the model.

You might look at the capacitance modelling of transmission lines such as coaxial cable, or more specifically the model for "twinax" screened cable.

I am not sure if you are presenting a set homework problem, or designing a small part of some experimental equipment.
 

Similar threads

Replies
12
Views
2K
  • · Replies 4 ·
Replies
4
Views
2K
  • · Replies 5 ·
Replies
5
Views
2K
  • · Replies 7 ·
Replies
7
Views
3K
  • · Replies 17 ·
Replies
17
Views
3K
  • · Replies 3 ·
Replies
3
Views
2K
  • · Replies 2 ·
Replies
2
Views
3K
  • · Replies 7 ·
Replies
7
Views
7K
  • · Replies 13 ·
Replies
13
Views
6K
Replies
2
Views
3K