Electrostatic repulsive force between parallel plates

Click For Summary

Discussion Overview

The discussion revolves around calculating the electrostatic repulsive force between two parallel plates with the same charge. Participants explore various methods for estimation, including Coulomb's law and energy differentiation, while addressing the implications of electric fields in this context.

Discussion Character

  • Exploratory
  • Technical explanation
  • Debate/contested
  • Mathematical reasoning

Main Points Raised

  • One participant inquires about calculating the repulsive force between two parallel plates with the same charge, noting that there is no electric field between them.
  • Another participant explains that for infinite parallel planes of charge, the net field between them is zero, suggesting that the force can be computed similarly to that between point charges.
  • A participant proposes using Coulomb's law to estimate the repulsive force based on the available charges on each plate, but expresses confusion regarding the attraction force between oppositely charged plates of a capacitor, highlighting discrepancies between different approaches.
  • Further clarification is sought on the relationship between electric fields and forces, with a focus on how to apply these concepts to parallel plates.
  • Participants discuss the importance of considering the electric field due to one plate when calculating the force on the other plate, emphasizing that the total field is not used for this calculation.
  • One participant suggests that the force can be derived from the energy stored in the system, comparing results from different methods and noting the need for calculus in this approach.
  • There is mention of the assumption of a uniform charge distribution and how it affects the calculations.

Areas of Agreement / Disagreement

Participants express differing views on how to approach the calculation of the repulsive force, with no consensus reached on the best method or the implications of the electric fields involved.

Contextual Notes

Participants highlight the complexity of the problem, including the undefined nature of the electric field at the position of the charges and the need for careful consideration of how forces are calculated in electrostatic systems.

Arjang Sh
Messages
5
Reaction score
1
Hi

I was thinking about two parallel plates with same charges (there's no electrical field between them). How can we calculate the repulsive force? Does anyone have any ideas besides numerical integration?

Thanks
 
Physics news on Phys.org
Welcome to PF,
For two infinite parallel planes of charge (note: not two real parallel pates) the net field between them is zero.

Consider a situation you are familiar with, two point charges: the field at each point charge is infinite - how do you normally compute the force between them (using fields)? It's the same for each plate.
 
  • Like
Likes   Reactions: Arjang Sh
Thanks for your prompt response.

So what I understand from your suggestion is that I can have a first order estimation of repulsive force by calculating available charges on each plate (Q1 = Q2) and use Coulomb's law as k.Q1.Q2/(d^2), is that right?

But I'm a little confused here since I have reached a contradiction for attraction force between oppositely charged plates of a capacitor:

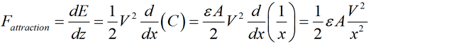
Approach 1 = Force is calculated by differentiating electrostatic energy as:
eqn_1.png

Approach 2 = Coulomb's Law:
eqn_2.png


Neglecting constant coefficients, the effect of distance "x" is 2 orders of magnitude different. What am I missing here? Would it be possible for you to clarify this for me?

Thanks
Simon Bridge said:
Welcome to PF,
For two infinite parallel planes of charge (note: not two real parallel pates) the net field between them is zero.

Consider a situation you are familiar with, two point charges: the field at each point charge is infinite - how do you normally compute the force between them (using fields)? It's the same for each plate.
 
So what I understand from your suggestion is that I can have a first order estimation of repulsive force by calculating available charges on each plate (Q1 = Q2) and use Coulomb's law as k.Q1.Q2/(d^2), is that right?
No.

I am saying that you should think more carefully about how you normally do other, simpler, electrostatic calculations.
In the case of 2 point charges, the electric field at each charge is infinite and yet you can still get a sensible answer for the force between them.
How do you do that?

This goes to the heart of your initial misunderstanding.
The net field is zero - between the plates, but you don't use the net field everywhere to calculate the force.
(Technically the net field at the position of the plates is undefined, anyway.)
 
Simon Bridge said:
In the case of 2 point charges, the electric field at each charge is infinite and yet you can still get a sensible answer for the force between them.
How do you do that?

Well in this case I know that electric field around each point charge is calculated as: kQ/(r2) (undefined at the position of point charge) and the force is defined as F=q.E which results in kQq/(r2).

I believe I can use the same approach for attracting parallel plates: Total net field between plates is Q/(ε*Area) and Force is equal to total charge on each plate multiplied by this electric field. So I can write F = Q.E = (Q2)/(ε*Area) and substituting for Q we end up having F=½*Area*ε*V2/d2. This is the exact same thing when I differentiate the electrostatic energy.

I don't know what I am missing here that I cannot relate this basic concept to repulsive parallel plate, as you mentioned this originates from my initial misunderstanding of the concept. I really appreciate if you could provide me with more hints so I can get back onto right track.
Thank you
 
Well in this case I know that electric field around each point charge is calculated as: kQ/(r2) (undefined at the position of point charge) and the force is defined as F=q.E which results in kQq/(r2).
... you skipped over a bit there ... please concentrate: what did you say the electric field at the position of the charge was?

Basically - the field at the charge is undefined, but that does not stop you calculating the force on the charge due to the other charge.
For the force on charge 1 due to charge two you write: ##\vec F = q_1\vec E_2##

Notice what E2 isn't? It is not the total field from both charges combined. It is the field from the second charge alone ... as if q1 were not there.
For this problem, the charge does not see its own electric field.

It's the same with the plates - the force on plate 1 due to plate 2 is what you want to calculate.
But in post #1 you observed that the field between the plates is zero! But the field due to plate 2 between the plates is not zero.
It is the total combined field that is zero.

If the field due to plate 1 is E1 and the field due to plate 2 is E2, then a charge q somewhere other than on one of the plates gets force ##\vec F = q(\vec E_1+\vec E_2)##, this will be zero between the plates... but the same charge at[*] the position of plate 1 gets force ##\vec F = q\vec E_2## ... see?

There are two basic ways to work out the force by brute, um, force... you can use coulombs law on each charge element, or you can work out how the energy stored in that system changes with the separation of the plates. I suspect this is something you should do ... compare the result with the electric fields for each plate separately.
Involves calculus I'm afraid - but after that you just remember the result.

The shortcut would be to realize that it is the same force as for oppositely charged plates, but with the opposite sign. In fact, we are assuming a uniform charge distribution - that only happens for an insulator.

-----------------------------

[*] ... when q is a part of the plate. All charges in the plate will see the forces due to all the other charges in the plate. But, since this is an electrostatic system, the internal forces all cancel out.
 
Last edited:

Similar threads

  • · Replies 10 ·
Replies
10
Views
3K
  • · Replies 9 ·
Replies
9
Views
2K
  • · Replies 1 ·
Replies
1
Views
2K
  • · Replies 1 ·
Replies
1
Views
2K
  • · Replies 8 ·
Replies
8
Views
2K
  • · Replies 11 ·
Replies
11
Views
3K
  • · Replies 3 ·
Replies
3
Views
3K
  • · Replies 7 ·
Replies
7
Views
2K
  • · Replies 18 ·
Replies
18
Views
2K
  • · Replies 17 ·
Replies
17
Views
2K