Equation of normal line and tangent plane

Click For Summary

Homework Help Overview

The problem involves a cup represented by the surface equation -(z-1)² + x² + y² = 1, which intersects a table defined by the plane z=0. The tasks include finding the angle of intersection, the equation of the normal line at a specific point, and the equation of the tangent plane at that point.

Discussion Character

  • Mixed

Approaches and Questions Raised

  • Participants discuss the use of gradients to find normals for both the cup and the table, and the calculation of the angle of intersection using the cosine formula. There are attempts to derive equations for the normal line and tangent plane at the point (0, √2, 2). Some participants question the accuracy of calculations, particularly regarding the angle and simplifications of the tangent plane equation.

Discussion Status

There are varying opinions on the correctness of the calculations presented, with some participants affirming the results while others suggest simplifications or corrections. The discussion reflects an ongoing exploration of the problem without a clear consensus on all aspects.

Contextual Notes

Participants note potential errors in calculations, such as forgetting to take square roots and miscalculating constants. There is an emphasis on ensuring accuracy in the mathematical expressions derived from the problem.

catch22
Messages
62
Reaction score
0

Homework Statement


A cup is represented by the surface -(z-1)2 + x2 + y2 = 1
and it is on a table represented by the plane z=0

a) find the angle at which the cup intersects the table

b) find the equation of the normal line to the cup at the point (0, √2 , 2)

c) find the equation the tangent plane at the point (0, √2 , 2)

Homework Equations

The Attempt at a Solution


for a) I use cos θ = a⋅b / |a||b|

a and b are normals of the cup and table at the point of intersect, which are found by finding the gradients.

∇ƒcup = <Fx, Fy, Fz> = < 2x , 2y, -2(z-1) >

∇ƒtable = <Fx, Fy, Fz> = < 0 , 0 , 1 >

so at the point of contact between the cup and table, z is 0.

plugging that into the equation of the surface of the cup :

-(0-1)2 + x2 + y2 = 1

x2 + y2 = 2

so the intersection between the cup and table is a circle with radius √2

then I find a point on the circle x2 + y2 = 2 , setting x = 0 then y = √2
then a point is (0,√2, 0)

plugging this point into < 2x , 2y, -2(z-1) > and < 0 , 0 , 1 >:

< 0, 2√2, 2 > and < 0 , 0 , 1 >

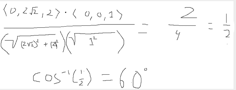
∴ cos θ = a⋅b / |a||b|b) plugging the point (0,√2, 2) into < 2x , 2y, -2(z-1) >:

< 0, 2√2, -2 >

equation of the normal line to the cup at point (0,√2, 2) =

(0,√2, 2) + t < 0, 2√2, -2 > = ( 0 , √2 + 2√2 t , 2-2t )

c) equation of tangent plane at point (0,√2, 2) :

2√2(y- √2) -2(z-2) = 0can someone check my work?
 

Attachments

  • upload_2015-11-5_19-10-54.png
    upload_2015-11-5_19-10-54.png
    9.4 KB · Views: 859
Last edited:
Physics news on Phys.org
catch22 said:

Homework Statement


A cup is represented by the surface -(z-1)2 + x2 + y2 = 1
and it is on a table represented by the plane z=0

a) find the angle at which the cup intersects the table

b) find the equation of the normal line to the cup at the point (0, √2 , 2)

c) find the equation the tangent plane at the point (0, √2 , 2)

Homework Equations

The Attempt at a Solution


for a) I use cos θ = a⋅b / |a||b|

a and b are normals of the cup and table at the point of intersect, which are found by finding the gradients.

∇ƒcup = <Fx, Fy, Fz> = < 2x , 2y, -2(z-1) >

∇ƒtable = <Fx, Fy, Fz> = < 0 , 0 , 1 >

so at the point of contact between the cup and table, z is 0.

plugging that into the equation of the surface of the cup :

-(0-1)2 + x2 + y2 = 1

x2 + y2 = 2

so the intersection between the cup and table is a circle with radius √2

then I find a point on the circle x2 + y2 = 2 , setting x = 0 then y = √2
then a point is (0,√2, 0)

plugging this point into < 2x , 2y, -2(z-1) > and < 0 , 0 , 1 >:

< 0, 2√2, 2 > and < 0 , 0 , 1 >

∴ cos θ = a⋅b / |a||b|

View attachment 91386

b) plugging the point (0,√2, 2) into < 2x , 2y, -2(z-1) >:

< 0, 2√2, -2 >

equation of the normal line to the cup at point (0,√2, 2) =

(0,√2, 2) + t < 0, 2√2, -2 > = ( 0 , √2 + 2√2 t , 2-2t )

c) equation of tangent plane at point (0,√2, 2) :

2√2(y- √2) -2(z-2) = 0can someone check my work?
You forgot to take the square root when calculating the angle.
 
  • Like
Likes   Reactions: catch22
ehild said:
You forgot to take the square root when calculating the angle.
 

Attachments

  • upload_2015-11-5_23-6-39.png
    upload_2015-11-5_23-6-39.png
    7.1 KB · Views: 566
  • upload_2015-11-5_23-7-14.png
    upload_2015-11-5_23-7-14.png
    8.5 KB · Views: 847
Last edited:
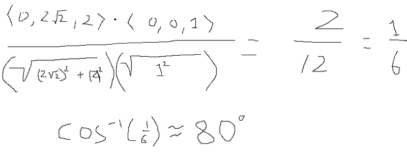
ehild said:
It is not correct yet. √12 is not 4.
upload_2015-11-5_23-19-30.png

sorry, it is late over here :(
 
It is right now!
 
  • Like
Likes   Reactions: catch22
ehild said:
It is right now!
b and c are correct as well?
 
catch22 said:
b and c are correct as well?
They are correct but you can simplify the equation of the tangent plane.
 
ehild said:
They are correct but you can simplify the equation of the tangent plane.
√2(y- √2) -(z-2) = 0
 
  • #10
Expand the parentheses. What will be the resultant constant?
 
  • #11
ehild said:
Expand the parentheses. What will be the resultant constant?
√2y- 2 - z + 2 = 0

√2y - z = 0
 
  • #12
It is much nicer, isn't it?
 

Similar threads

Replies
1
Views
2K
  • · Replies 6 ·
Replies
6
Views
2K
  • · Replies 1 ·
Replies
1
Views
1K
  • · Replies 9 ·
Replies
9
Views
3K
  • · Replies 5 ·
Replies
5
Views
2K
  • · Replies 6 ·
Replies
6
Views
2K
  • · Replies 11 ·
Replies
11
Views
5K
Replies
3
Views
2K
  • · Replies 9 ·
Replies
9
Views
2K
  • · Replies 1 ·
Replies
1
Views
2K