Finding the coefficients of a polynomial given some restriction

Click For Summary

Homework Help Overview

The discussion revolves around finding the coefficients \(a, b, c \in \mathbb{R}\) for a cubic polynomial \(az^3 + z^2 + bz + c = 0\) under the condition that the zeros satisfy the relation \(z_1^3 + z_2^3 + z_3^3 = 3z_1z_2z_3\). Participants are exploring the implications of this relationship and how it connects to Vieta's formulas.

Discussion Character

  • Exploratory, Conceptual clarification, Mathematical reasoning

Approaches and Questions Raised

  • Participants discuss the use of Vieta's formulas to relate the coefficients of the polynomial to the sums and products of its roots. There is an attempt to derive further relationships from the given condition, with some participants questioning how to initiate the problem effectively.

Discussion Status

The discussion is ongoing, with participants sharing insights and attempting to clarify the relationships between the roots and coefficients. Some have noted the complexity of the problem and are seeking tips to approach it, while others have introduced additional considerations regarding the nature of the roots.

Contextual Notes

There are mentions of symmetry in the roots, particularly when one root is real and the others are complex. Additionally, there are concerns about the readability of mathematical expressions shared in the thread.

MatejNeumann
Messages
1
Reaction score
0

Homework Statement


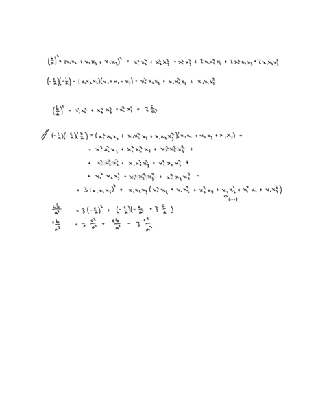
Find all ##a,b,c\in\mathbb{R}## for which the zeros of the polynomial ##az^3+z^2+bz+c=0## are in this relation $$z_1^3+z_2^3+z_3^3=3z_1z_2z_3$$

Homework Equations


we know that if we have a polynomial of degree 3 the zeroes have relation in this case
##z_1+z_2+z_3=-1/a##
##z_1z_2+z_1z_3+z_2z_3=b/a ##
##z_1z_2z_3=-c/a##

The Attempt at a Solution


I've tried doing something with the vietto rules but I have not really gotten anything. Any tip on how to even start the problem would be really appreciated
b0cb62256bf80e1babd12ebc716ce9a9f6bb641c.png
be7630baf32627b0927dfb9d6ca49d3e409057a0.png
 

Attachments

  • b0cb62256bf80e1babd12ebc716ce9a9f6bb641c.png
    b0cb62256bf80e1babd12ebc716ce9a9f6bb641c.png
    8.3 KB · Views: 647
  • be7630baf32627b0927dfb9d6ca49d3e409057a0.png
    be7630baf32627b0927dfb9d6ca49d3e409057a0.png
    7.7 KB · Views: 597
Physics news on Phys.org
There is another symmetry. Say ##z_1\in \mathbb{R}##, then ##z_{2,3}=x \pm iy##.
 
The images in post #1 are unreadable, at least by me.
 
MatejNeumann said:

Homework Statement


Find all ##a,b,c\in\mathbb{R}## for which the zeros of the polynomial ##az^3+z^2+bz+c=0## are in this relation $$z_1^3+z_2^3+z_3^3=3z_1z_2z_3$$

Homework Equations


we know that if we have a polynomial of degree 3 the zeroes have relation in this case
##z_1+z_2+z_3=-1/a##
##z_1z_2+z_1z_3+z_2z_3=b/a ##
##z_1z_2z_3=-c/a##

The Attempt at a Solution


I've tried doing something with the vietto rules but I have not really gotten anything. Any tip on how to even start the problem would be really appreciated
View attachment 232485 View attachment 232486

If ##z_i## is a root then $$z_i^3 = -\frac{c}{a} - \frac{b}{a} z_i - \frac{1}{a} z_i^2,$$
and we can find ##\sum z_i^2## from the expansion of ##(z_1+z_2+z_3)^2.##
 

Similar threads

Replies
14
Views
3K
  • · Replies 3 ·
Replies
3
Views
3K
  • · Replies 1 ·
Replies
1
Views
1K
Replies
3
Views
1K
Replies
3
Views
2K
  • · Replies 1 ·
Replies
1
Views
2K
  • · Replies 2 ·
Replies
2
Views
2K
  • · Replies 4 ·
Replies
4
Views
2K
Replies
4
Views
3K
  • · Replies 5 ·
Replies
5
Views
2K