Finding The Coordinates of The Center Of Curvature

Click For Summary

Homework Help Overview

The problem involves finding the coordinates of the center of curvature for a given curve defined by the function y = f(x). The discussion centers around the curvature of the curve and its implications for the coordinates at a specific point.

Discussion Character

  • Exploratory, Conceptual clarification, Assumption checking

Approaches and Questions Raised

  • Participants discuss the implications of the second derivative of the function on the concavity of the curve and its relationship to the center of curvature. There is an attempt to clarify how the curvature affects the position of the center of curvature relative to the curve itself.

Discussion Status

Some participants are engaging with the concepts of concavity and curvature, exploring how these affect the coordinates of the center of curvature. Guidance has been offered regarding the relationship between the second derivative and the position of the curvature circle relative to the curve.

Contextual Notes

There is a mention of the original poster's focus on reviewing multivariable calculus and electricity and magnetism, which may indicate constraints on their availability for further discussion.

Bashyboy
Messages
1,419
Reaction score
5

Homework Statement


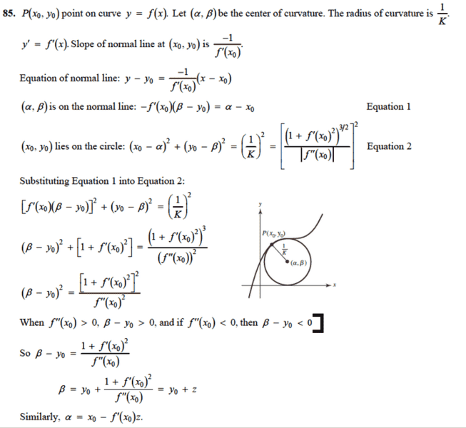
Let C be a curve given by y = f(x). Let K be the curvature ([itex]K \ne 0[/itex]) and let [itex]z = \frac{1+ f'(x_0)^2}{f''(x_0)}[/itex]. Show that the coordinates [itex]( \alpha , \beta )[/itex] of the center of curvature at P are [itex]( \alpha , \beta ) = (x_0 -f'(x_0)z , y_0 + z)[/itex]


Homework Equations





The Attempt at a Solution



I attached a picture of the solution. The portion of the solution with a half-box I would appreciate someone helping me with.
 

Attachments

  • Capture.PNG
    Capture.PNG
    37.3 KB · Views: 3,767
Last edited:
Physics news on Phys.org
No, it is no longer that day in which I learn Linear Algebra. Today is devoted to reviewing multivariable calculus and electricity and magnetism. Tomorrow is when I resume Linear Algebra.
 
With respect to your question in this thread, if f'' > 0 the curve is concave up, so the circle is above the curve. At the point shown, f'' < 0 so the curve is concave down and the circle is below the curve. That determines whether ##\beta## is less or greater than ##y_0##.
 
Ooh, you are very right. Thank you much for your help.
 

Similar threads

  • · Replies 1 ·
Replies
1
Views
2K
Replies
3
Views
2K
  • · Replies 1 ·
Replies
1
Views
3K
  • · Replies 6 ·
Replies
6
Views
2K
  • · Replies 2 ·
Replies
2
Views
1K
  • · Replies 3 ·
Replies
3
Views
1K
  • · Replies 6 ·
Replies
6
Views
2K
Replies
9
Views
2K
  • · Replies 10 ·
Replies
10
Views
5K
  • · Replies 0 ·
Replies
0
Views
4K