Finding the equation of motion for Born-Infeld lagrangian

Click For Summary
SUMMARY

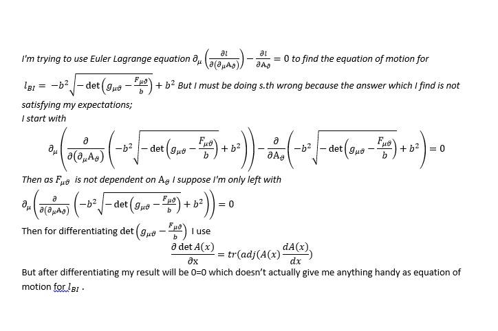
The discussion focuses on deriving the equation of motion for the Born-Infeld Lagrangian, specifically for a scalar field $\phi$. The Lagrangian is defined as $$L=\sqrt{1+\partial_\mu\phi\partial^\mu\phi}-V(\phi)$$, where $V(\phi)$ represents the scalar field's potential. The equation of motion is derived using the Euler-Lagrange equation, resulting in $$\partial_\mu\left(\frac{\partial_\mu\phi}{\sqrt{1+\partial_\nu \phi \partial^\nu \phi}}\right) - \frac{dV}{d\phi}=0$$.

PREREQUISITES
  • Understanding of the Born-Infeld Lagrangian
  • Familiarity with the Euler-Lagrange equation
  • Knowledge of scalar field theory
  • Basic calculus and differential equations
NEXT STEPS
  • Study the derivation of the Euler-Lagrange equation in detail
  • Explore the implications of the Born-Infeld Lagrangian in field theory
  • Investigate potential functions $V(\phi)$ and their effects on motion
  • Learn about variations in Lagrangian mechanics
USEFUL FOR

Physicists, particularly those specializing in field theory, graduate students studying advanced mechanics, and researchers exploring non-linear field theories will benefit from this discussion.

vahdaneh
Messages
6
Reaction score
0
Homework Statement
finding equation of motion for Born-Infeld lagrangian
Relevant Equations
born-infelf lagrangian
Homework Statement: finding equation of motion for Born-Infeld lagrangian
Homework Equations: born-infelf lagrangian

121212.jpg

i do not know where I'm going wrong.
i'll be really grateful for any advice.
 
Physics news on Phys.org
The Born-Infeld Lagrangian for a scalar field $\phi$ is given as$$L=\sqrt{1+\partial_\mu\phi\partial^\mu\phi}-V(\phi)$$where $V(\phi)$ is the potential of the scalar field.The equation of motion can be obtained by taking the Euler-Lagrange equation $$\frac{\partial L}{\partial \phi} - \partial_\mu \left(\frac{\partial L}{\partial (\partial_\mu \phi)}\right)=0.$$Using this equation, the equation of motion for $\phi$ is$$\partial_\mu\left(\frac{\partial_\mu\phi}{\sqrt{1+\partial_\nu \phi \partial^\nu \phi}}\right) - \frac{dV}{d\phi}=0.$$
 

Similar threads

  • · Replies 13 ·
Replies
13
Views
3K
  • · Replies 1 ·
Replies
1
Views
2K
  • · Replies 1 ·
Replies
1
Views
2K
Replies
3
Views
3K
Replies
8
Views
2K
Replies
5
Views
2K
Replies
8
Views
2K
Replies
1
Views
1K
Replies
56
Views
5K
  • · Replies 2 ·
Replies
2
Views
2K