Finding the unit vector for an ellipse

Click For Summary

Homework Help Overview

The discussion revolves around finding the unit vectors associated with the axes of a given ellipse defined by the equation 0.084x² − 0.079xy + 0.107y² = 1. Participants are tasked with determining the semi-major and semi-minor axes, as well as the corresponding unit vectors in the direction of each axis.

Discussion Character

  • Exploratory, Mathematical reasoning, Problem interpretation

Approaches and Questions Raised

  • Participants have calculated eigenvalues to find the semi-major and semi-minor axes but express uncertainty about the next steps to derive the unit vectors. There are discussions about using angles and ratios derived from the eigenvalues to find direction vectors.

Discussion Status

Some participants have shared their calculated values for the semi-major and semi-minor axes and are exploring how to utilize these results to find unit vectors. Guidance has been offered regarding the relationship between angles and direction vectors, but there is no explicit consensus on the next steps.

Contextual Notes

Participants mention confusion regarding specific equations and steps from external notes, indicating a reliance on provided resources for their calculations. There is an acknowledgment of the need to clarify the use of ratios and angles in the context of the problem.

InclusiveMonk
Messages
7
Reaction score
0

Homework Statement


Given the ellipse
##0.084x^2 − 0.079xy + 0.107y^2 = 1 ##
Find the semi-major and semi-minor axes of this ellipse, and a unit vector in the
direction of each axis.

I have calculated the semi-major and minor axes, I am just stuck on the final part.

Homework Equations


0c22c5ad34bcf75629605856c56be55c.png

c43200e74795e7e965b35f322575ec1b.png

this is where ##ux^2+2vxy+wy^2=1##

The Attempt at a Solution


I have calculated the two eigenvalues, 0.13664... and 0.05436... and therefore found the semi-major and semi-minor axes. I'm just not sure where to go next. I have worked out the ratios for q/p but I'm not sure how to use them.
 
Physics news on Phys.org
InclusiveMonk said:

Homework Statement


Given the ellipse
##0.084x^2 − 0.079xy + 0.107y^2 = 1 ##
Find the semi-major and semi-minor axes of this ellipse, and a unit vector in the
direction of each axis.

I have calculated the semi-major and minor axes, I am just stuck on the final part.

Homework Equations


0c22c5ad34bcf75629605856c56be55c.png

c43200e74795e7e965b35f322575ec1b.png

this is where ##ux^2+2vxy+wy^2=1##

The Attempt at a Solution


I have calculated the two eigenvalues, 0.13664... and 0.05436... and therefore found the semi-major and semi-minor axes. I'm just not sure where to go next. I have worked out the ratios for q/p but I'm not sure how to use them.

What did you get for the semi-major and semi-minor axes? If you found the angle ##\alpha## that one of them makes with the x-axis, the vector ##<cos(\alpha), sin(\alpha)>## is a unit vector in the direction of one of these axes. ##<-sin(\alpha), cos(\alpha)>## is a unit vector in the other one's direction.
 
Mark44 said:
What did you get for the semi-major and semi-minor axes? If you found the angle ##\alpha## that one of them makes with the x-axis, the vector ##<cos(\alpha), sin(\alpha)>## is a unit vector in the direction of one of these axes. ##<-sin(\alpha), cos(\alpha)>## is a unit vector in the other one's direction.

I got 2.705 for the semi-minor and 4.2890 for the semi-major. As far as I was aware these were just lengths, I solved them by equating those two q/p equations and rearranging to give ##λ^2-(u+w)λ+uw-v^2=0## and solving.
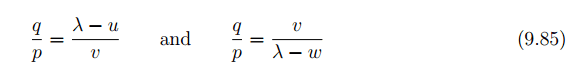
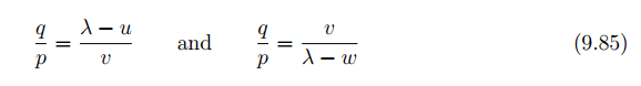
I basically followed the steps on these notes http://quince.leeds.ac.uk/~phyjkp/Files/Teach/phys2370notes4.pdf (It's page 2 on there) but I'm really confused about that last part (9.88)
 
Last edited by a moderator:
If you have u and v, you can use either eigenvalue and equation 9.85 to find the ratio q/p. Then the coordinates of a direction vector are (p, q).
 

Similar threads

  • · Replies 2 ·
Replies
2
Views
3K
  • · Replies 13 ·
Replies
13
Views
3K
  • · Replies 1 ·
Replies
1
Views
2K
  • · Replies 3 ·
Replies
3
Views
3K
  • · Replies 5 ·
Replies
5
Views
3K
  • · Replies 2 ·
Replies
2
Views
3K
  • · Replies 6 ·
Replies
6
Views
3K
Replies
9
Views
7K
  • · Replies 5 ·
Replies
5
Views
2K
  • · Replies 4 ·
Replies
4
Views
3K