Fractional uncertainty of g on the surface of the Sun

Click For Summary

Homework Help Overview

The discussion revolves around calculating the fractional uncertainty of gravitational acceleration (g) on the surface of the Sun, with participants addressing potential errors in numerical values and terms used in their calculations.

Discussion Character

  • Exploratory, Assumption checking, Mathematical reasoning

Approaches and Questions Raised

  • Participants are examining the calculations related to uncertainties, with some noting discrepancies in the numerical values presented and questioning the correctness of terms used in equations.

Discussion Status

The conversation includes attempts to clarify calculations and identify errors, with some participants providing feedback on the accuracy of the values and terms used. There is no explicit consensus, but guidance has been offered regarding the significance of uncertainties in different variables.

Contextual Notes

Participants are working under the constraints of homework rules, which may limit the information they can share or the methods they can use to arrive at their conclusions.

Jozefina Gramatikova
Messages
62
Reaction score
9

Homework Statement



upload_2018-8-13_20-50-56.png

Homework Equations


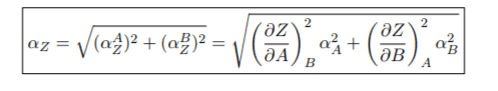
upload_2018-8-13_20-50-36.png


The Attempt at a Solution


39154928_2130599527158088_4581274140983427072_n.jpg

it looks like I got too big numbers for the uncertainty
 

Attachments

  • upload_2018-8-13_20-50-31.png
    upload_2018-8-13_20-50-31.png
    4.8 KB · Views: 463
  • upload_2018-8-13_20-50-36.png
    upload_2018-8-13_20-50-36.png
    5 KB · Views: 762
  • upload_2018-8-13_20-50-56.png
    upload_2018-8-13_20-50-56.png
    15.9 KB · Views: 904
  • 39184894_511119012661732_3809923548202401792_n.jpg
    39184894_511119012661732_3809923548202401792_n.jpg
    17.3 KB · Views: 424
  • 39154928_2130599527158088_4581274140983427072_n.jpg
    39154928_2130599527158088_4581274140983427072_n.jpg
    16.9 KB · Views: 655
Physics news on Phys.org
Looks like you got the calculus part correct. The numbers you entered after that are too small and not written neatly enough to be able to see them.
 
You seem to have crossed over terms, e.g. you have ##\frac{\partial Z}{\partial A}\alpha_B## instead of ##\frac{\partial Z}{\partial A}\alpha_A##.
 
haruspex said:
You seem to have crossed over terms, e.g. you have ##\frac{\partial Z}{\partial A}\alpha_B## instead of ##\frac{\partial Z}{\partial A}\alpha_A##.
Oh, thank you so much I got 38.98 now for part b). I hope that this is correct.
 
Jozefina Gramatikova said:
Oh, thank you so much I got 38.98 now for part b). I hope that this is correct.
Looks ok. Notice that the fractional uncertainty in d (1 in 14) is far higher than that in M. This means you can ignore the uncertainty in M and write down immediately that the uncertainty in g is 1 in 7 (doubled because of d2).
 
haruspex said:
Looks ok. Notice that the fractional uncertainty in d (1 in 14) is far higher than that in M. This means you can ignore the uncertainty in M and write down immediately that the uncertainty in g is 1 in 7 (doubled because of d2).
Thanks
 

Similar threads

Replies
15
Views
2K
  • · Replies 4 ·
Replies
4
Views
1K
Replies
15
Views
3K
  • · Replies 2 ·
Replies
2
Views
2K
  • · Replies 2 ·
Replies
2
Views
2K
  • · Replies 2 ·
Replies
2
Views
2K
  • · Replies 9 ·
Replies
9
Views
3K
  • · Replies 16 ·
Replies
16
Views
3K
Replies
6
Views
3K
Replies
1
Views
2K