Heat conduction problem in a ring of radius a

Click For Summary
SUMMARY

The discussion focuses on solving the heat conduction problem in a ring of radius 'a'. The solution involves utilizing a geometric series to simplify the problem, leading to a general solution that requires only one integral in the variable ϑ. Participants clarify the origin of the geometric series used in the solution, emphasizing its importance in deriving the final result.

PREREQUISITES
  • Understanding of heat conduction principles
  • Familiarity with geometric series
  • Knowledge of integral calculus
  • Basic concepts of partial differential equations
NEXT STEPS
  • Study the derivation of geometric series in mathematical physics
  • Explore integral techniques for solving partial differential equations
  • Review heat conduction equations in cylindrical coordinates
  • Learn about boundary conditions in heat transfer problems
USEFUL FOR

Students and professionals in physics or engineering fields, particularly those focusing on thermal analysis and mathematical modeling of heat conduction scenarios.

rx24race
Messages
4
Reaction score
0

Homework Statement


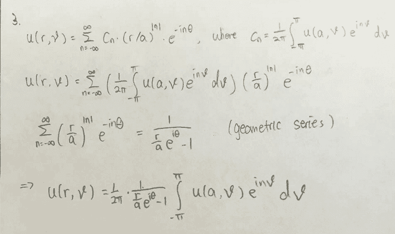
We previously solved the heat conduction problem in a ring of radius a, and the solution is
upload_2016-4-30_17-12-58.png

c into the sum, perform the sum first (which is just a geometric series), and obtain the general solution, which should only involve one integral in ϑ

Homework Equations


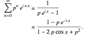
upload_2016-4-30_17-13-50.png


The Attempt at a Solution


upload_2016-4-30_17-14-43.png
[/B]
 
Physics news on Phys.org
where is this geometric series come from Never seen it before
 

Similar threads

Replies
0
Views
1K
  • · Replies 4 ·
Replies
4
Views
2K
Replies
4
Views
2K
  • · Replies 1 ·
Replies
1
Views
2K
  • · Replies 2 ·
Replies
2
Views
3K
Replies
2
Views
2K
  • · Replies 2 ·
Replies
2
Views
3K
  • · Replies 6 ·
Replies
6
Views
2K
  • · Replies 14 ·
Replies
14
Views
2K
Replies
6
Views
2K