Help with 2nd order Runge Kutta and series expansion

Click For Summary

Homework Help Overview

The discussion revolves around a homework problem related to the second order Runge-Kutta method and series expansion. Participants are exploring how to expand a function to derive a solution, specifically focusing on the expansion of x(t + τ) to third order in τ and its implications for the problem at hand.

Discussion Character

  • Exploratory, Mathematical reasoning, Assumption checking

Approaches and Questions Raised

  • The original poster attempts to reference their textbook for guidance on series expansion but expresses uncertainty about how to proceed. Other participants raise questions about the relevance of specific equations and the process of expansion itself.

Discussion Status

The discussion is ongoing, with participants seeking clarification on the steps needed for the expansion and how to relate it to the Runge-Kutta method. Some guidance has been provided regarding the nature of the expansions required, but there is no explicit consensus on the approach yet.

Contextual Notes

Participants are working within the constraints of a homework assignment, which may limit the information they can reference or the methods they can use. There is also a noted struggle with the material, indicating a challenging learning environment.

jkthejetplane
Messages
29
Reaction score
4
Homework Statement
2nd order Runge Kutta problem
Relevant Equations
Second order Runge Kutta
So here's my homework question:

1602726341491.png


This is the reference formula along with the Rung-Kutta form with the variables mentioned in the question
1602726470217.png


Here is my attempt so far:
1602726723197.png


Problem is that i am unsure how to expand this to even get going. I tried referencing my text Math Methods by Boas which has a lot on series and expansion but I am kinda stumped. Even after i get it expanded I am not entirely sure where to go with it
Any help? This class is killing me haha

Thanks in advance
 

Attachments

  • 1602726359451.png
    1602726359451.png
    2.2 KB · Views: 197
  • 1602726436520.png
    1602726436520.png
    11.5 KB · Views: 207
Physics news on Phys.org
You need to expand [itex]x(t + \tau)[/itex] to third order in [itex]\tau[/itex], and compare that to what you get from expanding [tex] x(t + \tau) \approx x(t) + w_1 \tau f(x(t),t) + w_2 \tau f(x(t) + \beta \tau f(x(t),t), t + \alpha \tau)[/tex] to third order in [itex]\tau[/itex] (which means that [itex]f(x(t) + \beta \tau f(x(t),t), t + \alpha \tau)[/itex] only has to be expanded to second order, as it is already multiplied by [itex]\tau[/itex]).

Remember that by definition [tex]\frac{dx}{dt}(t) = f(x(t),t)[/tex] and that by the chain rule [tex] \frac{d^n}{dt^n}f(x(t),t) = \left(\frac{dx}{dt}\frac{\partial }{\partial x} + \frac{\partial }{\partial t}\right)^n f<br /> = \left(f\frac{\partial}{\partial x} + \frac{\partial}{\partial t}\right)^n f.[/tex]
 
  • Like
Likes   Reactions: scottdave and etotheipi
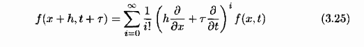
What does eq 3.25 have to do with it? and i have no idea how to expand either of those
 
[tex]\begin{align*}<br /> \left(f\frac{\partial}{\partial x} + \frac{\partial}{\partial t}\right)^2f &=<br /> \left(f\frac{\partial}{\partial x} + \frac{\partial}{\partial t}\right)\left(f\frac{\partial f}{\partial x} + \frac{\partial f}{\partial t}\right) \\<br /> & = f\frac{\partial}{\partial x}\left(f\frac{\partial f}{\partial x} + \frac{\partial f}{\partial t}\right) + \frac{\partial}{\partial t}\left(f\frac{\partial f}{\partial x} + \frac{\partial f}{\partial t}\right)<br /> \end{align*}[/tex] etc.
 

Similar threads

  • · Replies 65 ·
3
Replies
65
Views
9K
  • · Replies 3 ·
Replies
3
Views
8K
  • · Replies 1 ·
Replies
1
Views
1K
  • · Replies 9 ·
Replies
9
Views
4K
  • · Replies 6 ·
Replies
6
Views
3K
Replies
4
Views
9K
  • · Replies 15 ·
Replies
15
Views
3K
  • · Replies 10 ·
Replies
10
Views
3K
  • · Replies 6 ·
Replies
6
Views
4K
  • · Replies 14 ·
Replies
14
Views
3K