How did Maxwell's theory predict that c is constant?

Click For Summary

Discussion Overview

The discussion revolves around how Maxwell's theory of electromagnetism predicts that the speed of light is constant. Participants explore the implications of this prediction on concepts of time and space, as well as the mathematical foundations of Maxwell's equations.

Discussion Character

  • Exploratory
  • Technical explanation
  • Conceptual clarification
  • Debate/contested
  • Historical

Main Points Raised

  • Some participants reference Hawking's assertion that Maxwell's theory led to the abandonment of absolute time, prompting questions about how Maxwell concluded the speed of light is constant.
  • Calculations involving the curl of electric and magnetic fields are suggested as a means to understand the constancy of light speed.
  • One participant mentions an analogy Maxwell created using a mechanical model to derive the speed of electromagnetic waves based on the ratio of permittivity and permeability.
  • Another participant questions the feasibility of "catching up" with an electromagnetic wave, citing special relativity's implications on this idea.
  • Some participants express curiosity about Maxwell's experiments regarding light speed at different velocities and the historical context of his work without the framework of relativity.
  • There is a discussion about the general form of wave equations and how Maxwell's equations imply a constant wave velocity in a vacuum, independent of frequency.

Areas of Agreement / Disagreement

Participants express a range of views on the implications of Maxwell's work, with some agreeing on the mathematical basis for the constancy of light speed while others question the historical context and relevance of Maxwell's conclusions in light of modern physics. No consensus is reached on the significance of revisiting Maxwell's theories without the context of relativity.

Contextual Notes

Participants note limitations in understanding Maxwell's conclusions due to the historical context of scientific knowledge at the time, particularly regarding concepts of time and space that have evolved since then.

ajay.05
Messages
46
Reaction score
3
In the book, briefer history of time, hawking says that maxwell's theory of electromagnetism, concluded that speed of light is finite and constant, which made other physicists to give up the idea of absolute time, and think of newer concepts. How did maxwell, through his theories, correctly said that speed of light is constant?
 
Physics news on Phys.org
Calculate [tex]\nabla \times \nabla \times E[/tex] or [tex]\nabla \times \nabla \times B[/tex] and it falls out.
 
Have a look at this link, which shows how the wave speed of an EM wave is the same for all frequencies.
(I don't think there is an arm waving proof of this so you just have to get into the Maths.)
 
Vanadium 50 said:
Calculate [tex]\nabla \times \nabla \times E[/tex] or [tex]\nabla \times \nabla \times B[/tex] and it falls out.
It clears my mind, but the main problem faced by Maxwell, when he said speed of light is constant, was that of Newton's ideas. According to these, if speed of light is constant, one who could catch up with the speed of light, can see a stationary em wave(theoretically, he can see nothing).
Here is my question,
a)What happens if one sees a stationary wave(although, this is impossible, are there any other effects?), and also
b)Maxwell calculated the speed of the waves and said that they matched the speed of light and they are constant. But how did he do this?(that is, how did he came up with the idea that they are constant?)
Any fresh ideas?
 
There is an interesting account in "The Man Who Changed Everything", by Basil Mahon, published by Wiley. According to the book, Maxwell devised an imaginary mechanical analogue of free space - a complicated machine using rotating cells. With this he could find equations for the behaviour of electric and magnetic fields. He then realized that a mechanical wave could travel in his machine, and he calculated its speed. It depended on the ratio of elasticity to inertia, which for his model were the permittivity and permeability of free space. Their ratio had been found from experiments by Weber and Kohlrausch, and from this he found that a wave in his machine traveled at about the speed of light. So wherever there is free space, permeability and permittivity have the same ratio, and the speed of light is a constant.
 
sophiecentaur said:
Have a look at this link, which shows how the wave speed of an EM wave is the same for all frequencies.
(I don't think there is an arm waving proof of this so you just have to get into the Maths.)
Thank you for your reply.
But I didn't mean to ask, how did he prove speed of light is constant for any frequency, but I meant a different thing. Look out my reply for Vanadium50, on this forum.
 
Maxwell didn't just decide that c is constant. The speed came out of the ε and μ in the medium, which are in the final wave equation which is one solution to his basic equations. If you want to understand this then you have to look at the references and be prepared to get your feet wet with the Maths. You can hardly expect a good arm waving explanation.

I don't like the idea of 'catching up with' an em wave. SR tells us that you couldn't so what's the point?
 
tech99 said:
There is an interesting account in "The Man Who Changed Everything", by Basil Mahon, published by Wiley. According to the book, Maxwell devised an imaginary mechanical analogue of free space - a complicated machine using rotating cells. With this he could find equations for the behaviour of electric and magnetic fields. He then realized that a mechanical wave could travel in his machine, and he calculated its speed. It depended on the ratio of elasticity to inertia, which for his model were the permittivity and permeability of free space. Their ratio had been found from experiments by Weber and Kohlrausch, and from this he found that a wave in his machine traveled at about the speed of light. So wherever there is free space, permeability and permittivity have the same ratio, and the speed of light is a constant.
Thank you, helped me a lot.
But what happens at different speeds? Did he do any experiment for that?
 
sophiecentaur said:
Maxwell didn't just decide that c is constant. The speed came out of the ε and μ in the medium, which are in the final wave equation which is one solution to his basic equations. If you want to understand this then you have to look at the references and be prepared to get your feet wet with the Maths. You can hardly expect a good arm waving explanation.

I don't like the idea of 'catching up with' an em wave. SR tells us that you couldn't so what's the point?
Yes, SR does say that. But Maxwell's time was when people believed in "absolute time", that is there were no ideas of time dilation. For "them", it was "possible" to catch up with the speed of anything!
 
  • #10
ajay.05 said:
Thank you, helped me a lot.
But what happens at different speeds? Did he do any experiment for that?
Is there really any point in revisiting what Maxwell did in the absence of Relativity - except for a bit of historical interest?
These giants of past Science could only work within the limits of what they knew. If they had been given the benefit of present knowledge, they would have done things differently.
 
  • #11
sophiecentaur said:
Is there really any point in revisiting what Maxwell did in the absence of Relativity - except for a bit of historical interest?
These giants of past Science could only work within the limits of what they knew. If they had been given the benefit of present knowledge, they would have done things differently.
Ha, well said! Thank you.
 
  • #12
Life's too short, young man, to worry about the past. :smile:
It could give you a warm glow to think you know stuff that even Einstein didn't!
 
  • #13
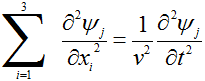
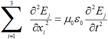
What is wrong by noting simply that the general form of a wave equation is

upload_2015-4-4_17-37-57.png


Which is the same form as Maxwell's equation

upload_2015-4-4_17-48-23.png


where v is the velocity of the wave = (μ0ε0)

Maxwell's equation shown no dependence on frequency or anything else (in a vacuum) therefore v is constant.
 

Similar threads

  • · Replies 4 ·
Replies
4
Views
6K
  • · Replies 3 ·
Replies
3
Views
4K
  • · Replies 0 ·
Replies
0
Views
3K
  • · Replies 1 ·
Replies
1
Views
5K
  • · Replies 7 ·
Replies
7
Views
6K
  • · Replies 26 ·
Replies
26
Views
9K
  • · Replies 46 ·
2
Replies
46
Views
14K
  • · Replies 2 ·
Replies
2
Views
4K
  • · Replies 33 ·
2
Replies
33
Views
10K
  • · Replies 10 ·
Replies
10
Views
5K