How to Find the Center of Mass of a Half-Ball?

Click For Summary
SUMMARY

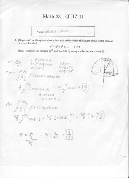
The discussion focuses on finding the center of mass of a half-ball, specifically a hemisphere. Zachary Lindsey seeks validation for his calculations and is advised that integration is unnecessary for determining the volume of the hemisphere, which is simply (1/2)(4π). The conversation emphasizes the importance of understanding geometric properties and volume calculations in physics and mathematics.

PREREQUISITES
  • Understanding of geometric properties of a hemisphere
  • Familiarity with volume calculations in calculus
  • Basic knowledge of integration techniques
  • Concept of center of mass in physics
NEXT STEPS
  • Study the geometric properties of three-dimensional shapes
  • Learn about volume calculations for various solids, including spheres and hemispheres
  • Explore the concept of center of mass in different coordinate systems
  • Review integration techniques relevant to finding volumes and centers of mass
USEFUL FOR

Students in physics and mathematics, educators teaching geometry and calculus, and anyone interested in understanding the principles of center of mass and volume calculations.

CaptainZappo
Messages
92
Reaction score
0
Hi, I've been working on the following question for a little while. I've looked it over several times and I can't find any obvious (to me anyway) errors in my work. Would you please scan it through and let me know if I am correct or, if not, please guide me in the right direction so I can try again.

I have attached a scanned copy of the question and my work.

Thank you in advance,
-Zachary Lindsey
 

Attachments

  • IMG.jpg
    IMG.jpg
    17.8 KB · Views: 602
Last edited:
Physics news on Phys.org
I don't see anything wrong with it.

(Except that you really don't need to integrate to find the volume of the hemisphere: it is (1/2)(4[itex]\pi[/itex])!)
 

Similar threads

  • · Replies 1 ·
Replies
1
Views
2K
  • · Replies 19 ·
Replies
19
Views
7K
  • · Replies 25 ·
Replies
25
Views
2K
  • · Replies 1 ·
Replies
1
Views
1K
  • · Replies 8 ·
Replies
8
Views
1K
Replies
5
Views
2K
  • · Replies 3 ·
Replies
3
Views
2K
  • · Replies 9 ·
Replies
9
Views
3K
  • · Replies 10 ·
Replies
10
Views
5K
  • · Replies 5 ·
Replies
5
Views
2K