How to graph the duffing frequency response

Click For Summary
SUMMARY

The discussion focuses on plotting the frequency response of a Duffing oscillator using the Runge-Kutta method in Excel. The user seeks guidance on isolating amplitude (A) as a function of frequency (w) from the relevant equations. It is established that frequency response analysis is only applicable in the weakly forced regime, and the derivation of the response curves involves a technique called "averaging." For implicit plotting, tools like MATLAB, MATCONT, and AUTO are recommended for accurate representation.

PREREQUISITES
  • Understanding of the Duffing oscillator dynamics
  • Familiarity with the Runge-Kutta method for numerical integration
  • Basic knowledge of implicit plotting techniques
  • Experience with MATLAB or similar software for graphing
NEXT STEPS
  • Research the weakly forced regime in nonlinear systems
  • Learn about the averaging technique in dynamical systems
  • Explore MATLAB for implicit plotting capabilities
  • Investigate MATCONT and AUTO for advanced frequency response analysis
USEFUL FOR

Students and researchers in applied mathematics, physicists studying nonlinear dynamics, and engineers working on oscillator systems will benefit from this discussion.

Takuza
Messages
40
Reaction score
0
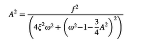
I`ve been able to use excel to plot the trajectory of a harmonically driven duffing oscillator for arbitrary parameters using Runge-Kutta method. I would like to do the same thing for the frequency response, but I simply can not figure out how. I am not very mathematically advanced so the first thing I did was look for a formula. I found things such as those in the attached images, where A is the amplitude which I would like to plot as a function of w (frequency) (and all other terms are knowns). But I have no idea how to make use of these equations. I don't know how to isolate the amplitude and don`t know how to graph it without isolating A.

otherequation.png


Can someone explain to me how one would plot the frequency response to a duffing oscillator ? It must be obvious, as every book I`ve read skips right over it as if it deserves no explicit explanation, but I am at a loss and have been trying for a while. Sorry if this is a dumb issue, I have no background in this area

Edit: I`ve also attached the VBA code I`m using in case that provides some insight somehow
 

Attachments

Last edited:
Physics news on Phys.org
Takuza said:
I`ve been able to use excel to plot the trajectory of a harmonically driven duffing oscillator for arbitrary parameters using Runge-Kutta method. I would like to do the same thing for the frequency response, but I simply can not figure out how.
For arbitrary parameters, you will not be able to obtain a frequency response. It only makes sense in the weakly forced regime, see the section titled "The weakly forced system: nonlinear resonance" here:

http://www.scholarpedia.org/article/Duffing_oscillator

You may find it interesting to look at the curves in Figure 6. As you can see, their derivation is not straightforward, in the sense that it is based on a technique called "averaging".

The graph of the coordinates of the equilibria of the averaged system as a function of the angular driving frequency shows implicit curves. In other words, it will not be possible to obtain explicit expressions as a function of ##\omega##. You can use any software that can do implicit plotting (such as MATLAB) to reproduce them. Free packages written specifically for this purpose are MATCONT and AUTO, although the first one requires MATLAB.
 
Last edited:

Similar threads

  • · Replies 15 ·
Replies
15
Views
2K
  • · Replies 9 ·
Replies
9
Views
3K
  • · Replies 14 ·
Replies
14
Views
3K
  • · Replies 13 ·
Replies
13
Views
2K
  • · Replies 8 ·
Replies
8
Views
3K
  • · Replies 5 ·
Replies
5
Views
1K
  • · Replies 11 ·
Replies
11
Views
6K
  • · Replies 2 ·
Replies
2
Views
1K
  • · Replies 3 ·
Replies
3
Views
2K
  • · Replies 11 ·
Replies
11
Views
2K