How to solve for q after finding derivative (derived) equation?

  • Thread starter Thread starter noid
  • Start date Start date
  • Tags Tags
    Derivative
Click For Summary

Homework Help Overview

The discussion revolves around solving for the variable q after deriving an equation involving T, which is expressed as T = 0.5q + 4q^(-1/2) + 9/q. Participants are exploring the challenges of manipulating the derived equation, particularly when dealing with terms that have different bases and exponents.

Discussion Character

  • Exploratory, Mathematical reasoning, Assumption checking

Approaches and Questions Raised

  • Participants discuss the difficulty of subtracting variables with different bases and exponents. One suggests substituting q^(-1/2) with a new variable w to simplify the equation, leading to a quartic equation. Others question the initial derivation and whether mistakes were made in the process.

Discussion Status

The discussion is ongoing, with participants providing insights into potential methods for solving the equation. There is acknowledgment of the complexity of the quartic equation and the possibility of needing numerical methods to find roots. Clarifications about the derivative and the equation's context are also being addressed.

Contextual Notes

Participants are operating under the assumption that T can be set to 0, and there is a focus on the implications of this assumption for solving the equation. The original poster's clarification about the derivative indicates a need for precise communication regarding the mathematical expressions involved.

noid
Messages
8
Reaction score
0
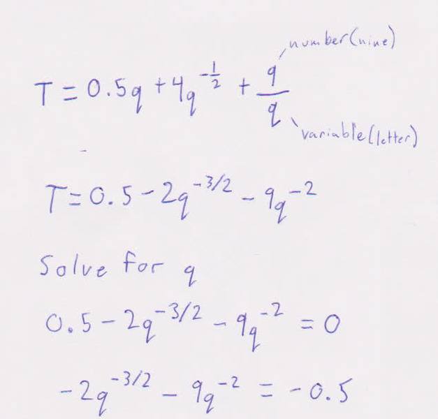
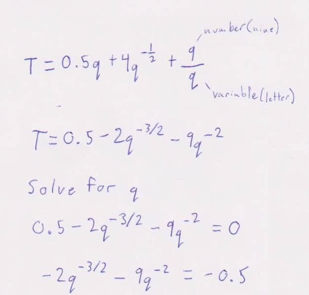
I have started with the formula.

T = 0.5q+4q^(-1/2)+9/q

I have derived and am trying to solve for q but have gotten caught up on how to solve when I have to subtract two variables with different base numbers and different exponents.

2aj3l7q.jpg


Any ideas?
 
Last edited:
Physics news on Phys.org
noid said:
I have started with the formula.

T = 0.5q+4q^(-1/2)+9/q

I have derived and am trying to solve for q but have gotten caught up on how to solve when I have to subtract two variables with different base numbers and different exponents.

2aj3l7q.jpg


Any ideas?

For one thing you made a mistake to start. If you divide both sides by q then the left side should be T/q. The correct way to go is probably to set q^(-1/2)=w, then express the other powers of q in terms w. If you work it through you'll get a quartic equation in w, a polynomial equation with w^4 as the highest power. The good news is that in principle, has a analytic solution. The bad news is that it's so complex as to to be basically useless. Are you sure you haven't made a mistake in deriving the equation you showed us? Where did it come from??
 
Sorry for the misunderstanding: The second line is actually the derivative in respect to q of the first line (I forgot to put ' after T). Then from the second line I want to find what q is (after setting T to 0).
 
noid said:
Sorry for the misunderstanding: The second line is actually the derivative in respect to q of the first line (I forgot to put ' after T). Then from the second line I want to find what q is (after setting T to 0).

Ah, ok. I should have spotted that. If you don't have a T in it then you can still change it into a quartic equation in w. Then you could hope it factors, but I don't think it does. If not you'll just have to find the roots numerically.
 

Similar threads

  • · Replies 7 ·
Replies
7
Views
3K
  • · Replies 3 ·
Replies
3
Views
2K
  • · Replies 1 ·
Replies
1
Views
1K
  • · Replies 3 ·
Replies
3
Views
2K
Replies
1
Views
1K
Replies
9
Views
5K
  • · Replies 1 ·
Replies
1
Views
1K
Replies
3
Views
2K
  • · Replies 6 ·
Replies
6
Views
2K
  • · Replies 7 ·
Replies
7
Views
2K