Integral form of Navier-Stokes Equation

Click For Summary

Discussion Overview

The discussion revolves around the integral form of the Navier-Stokes equation, particularly in the context of fluid dynamics. Participants explore the transition from integrals over a control volume to closed surface integrals, referencing Gauss' theorem and discussing various mathematical identities and notations relevant to the equations.

Discussion Character

  • Technical explanation
  • Mathematical reasoning
  • Debate/contested

Main Points Raised

  • Some participants inquire about the transition from the integral over the control volume to closed surface integrals, questioning whether Leibniz's integral rule or Reynolds Transport theorem is necessary.
  • One participant suggests that the first equation assumes constant density, allowing multiplication by density, and presents an identity related to the Navier-Stokes equation.
  • Another participant expresses confusion regarding the identity presented, particularly the right-hand side involving vector multiplication, and seeks clarification on the nature of this multiplication.
  • There is a discussion about the representation of the material derivative, with one participant noting a preference for a different notation and suggesting writing it in component form for clarity.
  • One participant introduces the concept of dyadic tensor notation to explain the vector multiplication involved in the identity, asserting its relevance in fluid mechanics.
  • Another participant confirms the use of tensor notation and provides a component-wise breakdown of the terms in the Navier-Stokes equation, emphasizing the assumption of incompressibility.
  • Participants reference the continuity equation as part of the discussion on the Navier-Stokes equation.

Areas of Agreement / Disagreement

Participants express differing views on notations and identities related to the Navier-Stokes equation, indicating that multiple competing interpretations and understandings exist. The discussion remains unresolved regarding the clarity and application of certain mathematical identities.

Contextual Notes

Limitations include potential misunderstandings of vector multiplication, the assumptions regarding fluid incompressibility, and the need for clarity in notation and mathematical identities. Some participants suggest writing expressions in component form to aid understanding.

FluidStu
Messages
25
Reaction score
3
The Navier-Stokes equation may be written as:
upload_2016-6-9_9-44-35.png


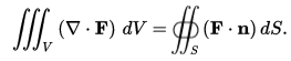
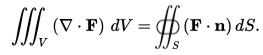
If we have a fixed volume (a so-called control volume) then the integral of throughout V yields, with the help of Gauss' theorem:
upload_2016-6-9_9-44-20.png

(from 'Turbulence' by Davidson).

The definition of Gauss' theorem:
upload_2016-6-9_9-44-2.png


Could someone show me how to go from the integral over the control volume to the closed surface integrals on the left of the second equation? Do we need to use Leibniz's integral rule or Reynolds Transport theorem?
 
Physics news on Phys.org
FluidStu said:
The Navier-Stokes equation may be written as:
View attachment 101838

If we have a fixed volume (a so-called control volume) then the integral of throughout V yields, with the help of Gauss' theorem:
View attachment 101837
(from 'Turbulence' by Davidson).

The definition of Gauss' theorem:
View attachment 101836

Could someone show me how to go from the integral over the control volume to the closed surface integrals on the left of the second equation? Do we need to use Leibniz's integral rule or Reynolds Transport theorem?
I think you meant "right", not "left". The first equation assumes that the density is constant, so you can multiply both sides by ##\rho##. You have the identity:
$$\rho\vec{u}\cdot \nabla \vec{u}+\rho \vec{u}\nabla \cdot \vec{u}=\nabla \cdot (\rho \vec{u} \vec{u})$$
But, for an incompressible fluid, the second term on the left is equal to zero. Therefore, $$\rho\vec{u}\cdot \nabla \vec{u}=\nabla \cdot (\rho \vec{u} \vec{u})$$
Does this help?
 
Chestermiller said:
I think you meant "right", not "left". The first equation assumes that the density is constant, so you can multiply both sides by ##\rho##. You have the identity:
$$\rho\vec{u}\cdot \nabla \vec{u}+\rho \vec{u}\nabla \cdot \vec{u}=\nabla \cdot (\rho \vec{u} \vec{u})$$
But, for an incompressible fluid, the second term on the left is equal to zero. Therefore, $$\rho\vec{u}\cdot \nabla \vec{u}=\nabla \cdot (\rho \vec{u} \vec{u})$$
Does this help?

I have not encountered this identity. Secondly, the RHS of the identity has two vectors multiplied, which I don't understand since vector multiplication is either dot product, cross product or combinations thereof?
 
Last edited:
FluidStu said:
Firstly, I can't see why the author chose to represent the material derivative as (U.∇)U - I've previously always encountered it as U.(∇U), which makes more intuitive sense to me. Clearly these must be the same, but I can't see how?
Write it out in component form for Cartesian coordinates and you will see how.
Secondly, I have not encountered this identity.
Again, write it out in component form for Cartesian coordinates.
Thirdly, the RHS of the identity has two vectors multiplied, which I don't understand since vector multiplication is either dot product, cross product or combinations thereof?
I guess you are not familiar with dyadic tensor notation. A dyad consists of two vectors placed in juxtaposition, without any operation such as dot product or cross product implied between the two. Such an entity is a 2nd order tensor. In this case, the tensor ##\rho \vec{u} \vec{u}## represents the momentum flux per unit volume of fluid. To learn more about the powerful use of dyadic tensor notation and the implementation of mathematical operations using dyadics, see Transport Phenomena by Bird, Stewart, and Lightfoot (Appendices). In my judgment, it is something very worthwhile to learn by those learning and using Fluid Mechanics.

By the way, when you wrote ##(\vec{\nabla} \vec{u})##, you were already employing a dyadic of the vector operator ##\vec{\nabla}## and the vector ##\vec{u}##.
 
  • Like
Likes   Reactions: FluidStu
Chestermiller is obviously using a tensor notation with the abbreviation ##\vec{u} \vec{u}=\vec{u} \otimes \vec{u}##. It's easier in components. The term in the NS equation we are discussing we have (in Cartesian coordinates)
$$(\vec{u} \cdot \vec{\nabla} \vec{u})_j=u_k \partial_k u_j=\partial_k(u_k u_j)-u_j \partial_k u_k.$$
Now obviously, it's tacidly assumed that the fluid is incompressible and thus
$$(\vec{u} \cdot \vec{\nabla} \vec{u})_j = \partial_k(u_k u_j),$$
i.e., a total divergence that can be transformed to a surface term when integrating over ##V##.

What's also used is the continuity equation
$$\partial_t \rho+\vec{\nabla}(\rho \vec{v})=0.$$
 
  • Like
Likes   Reactions: FluidStu

Similar threads

  • · Replies 4 ·
Replies
4
Views
2K
  • · Replies 1 ·
Replies
1
Views
5K
  • · Replies 1 ·
Replies
1
Views
5K
  • · Replies 18 ·
Replies
18
Views
3K
  • · Replies 17 ·
Replies
17
Views
3K
  • · Replies 4 ·
Replies
4
Views
4K
  • · Replies 7 ·
Replies
7
Views
2K
  • · Replies 6 ·
Replies
6
Views
2K
  • · Replies 30 ·
2
Replies
30
Views
4K
  • · Replies 6 ·
Replies
6
Views
2K