Integral involving powers of trig functions

Click For Summary

Homework Help Overview

The discussion revolves around the integral ∫(sinx + sin^3x)dx/(cos2x), focusing on the methods of integration and verification of results. Participants are exploring the intricacies of trigonometric integrals and the application of the Fundamental Theorem of Calculus.

Discussion Character

  • Exploratory, Mathematical reasoning, Assumption checking

Approaches and Questions Raised

  • Participants discuss the correctness of integration methods and the possibility of simpler solutions. There are inquiries about how to verify the correctness of an antiderivative by differentiation.

Discussion Status

Some participants have provided guidance on checking answers through differentiation, while others have pointed out potential mistakes in the integration process. Multiple interpretations of the problem and its solution methods are being explored.

Contextual Notes

There are mentions of specific mistakes in the integration steps, such as missing terms in the numerator and the complexity of the integral suggesting that a simpler method may not exist.

Memo
Messages
35
Reaction score
3
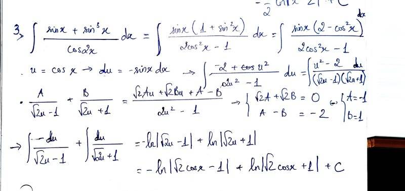
Homework Statement
∫(sinx+sin^3x)dx/(cos2x)
Relevant Equations
cos2x=2cos^2x-1
368064999_867353445000190_1304311522445404453_n.jpg

Could you check if my answer is correct? Thank you very much!
Is therea simpler way to solve the math?
 
Physics news on Phys.org
Memo said:
Homework Statement: ∫(sinx+sin^3x)dx/(cos2x)
Relevant Equations: cos2x=2cos^2x-1

View attachment 334635
Could you check if my answer is correct?
You can do that yourself by differentiating your answer and checking you get the original integrand.
Memo said:
Thank you very much!
Is therea simpler way to solve the math?
Your method looks good to me. Maybe there's a trick, but not always.
 
  • Like
Likes   Reactions: Gavran
PeroK said:
You can do that yourself by differentiating your answer and checking you get the original integrand.
Could you tell me how?
 
PeroK said:
You can do that yourself by differentiating your answer and checking you get the original integrand.

Memo said:
Could you tell me how?
If you integrate a function f(x) and get an antiderivative F(x) + C, you can check your answer by differentiating F(x). If your antiderivative is correct, the result will be f(x).

In symbols...
If ##\int f(x) dx = F(x) + C##, then ##\frac d{dx}\left(F(x) + C\right) = f(x)##
 
  • Like
Likes   Reactions: WWGD and PeroK
Mark44 said:
If you integrate a function f(x) and get an antiderivative F(x) + C, you can check your answer by differentiating F(x). If your antiderivative is correct, the result will be f(x).

In symbols...
If ##\int f(x) dx = F(x) + C##, then ##\frac d{dx}\left(F(x) + C\right) = f(x)##
It appears that I was wrong
 
## \text { The method is good, but there are two mistakes. } ##
## \text { The first one is: } u ^ 2 \text { is missed } ##
## \text { in the part where } \int \frac { u ^ 2 – 2 } { ( \sqrt 2 u – 1 ) ( \sqrt 2 u + 1 ) } \, du \text { becomes } \int \frac { 1 } { \sqrt 2 u + 1} \, du - \int \frac { 1 } { \sqrt 2 u – 1 } \, du \text { . } ##
## \text { The second one is: } \sqrt 2 \text { is missed } ##
## \text { in the part where } \int \frac { 1 } { \sqrt 2 u + 1 } \, du - \int \frac { 1 } { \sqrt 2 u – 1 } \ , du \text { becomes } \ln | \sqrt 2 u + 1 | - \ln | \sqrt 2 u - 1 | \text { . } ##

## \text { ... and there is not a simpler way. } ##
 
  • Like
Likes   Reactions: PeroK
Mark44 said:
If you integrate a function f(x) and get an antiderivative F(x) + C, you can check your answer by differentiating F(x). If your antiderivative is correct, the result will be f(x).

In symbols...
If ##\int f(x) dx = F(x) + C##, then ##\frac d{dx}\left(F(x) + C\right) = f(x)##
Look up the Fundamental Theorem of Calculus.
 
Memo said:
Homework Statement: ∫(sinx+sin^3x)dx/(cos2x)
Relevant Equations: cos2x=2cos^2x-1

View attachment 334635
Could you check if my answer is correct? Thank you very much!
Is therea simpler way to solve the math?

You have correctly obtained [tex] \int \frac{\sin x + \sin^3 x}{\cos 2x}\,dx = \int \frac{u^2 - 2}{2u^2 - 1}\,du.[/tex] But you then obtain the partial fraction decomposition of [itex]\frac{1}{2u^2 - 1}[/itex], which is not your integrand; the numerator is [itex]u^2 - 2[/itex] not 1. So you need a further step first: [tex]\begin{split}<br /> \int \frac{u^2 - 2}{2u^2 - 1}\,du &= \frac12 \int \frac{2u^2 - 4}{2u^2 - 1}\,du \\<br /> &= \frac 12 \int 1 - \frac{3}{2u^2 - 1}\,du \\<br /> &= \frac u2 - \frac{3}{4} \int \frac{1}{u^2 - \frac12}\,du\end{split}[/tex] and now you can use your partial fraction decomposition.
 
  • Like
Likes   Reactions: PeroK

Similar threads

  • · Replies 4 ·
Replies
4
Views
1K
Replies
12
Views
1K
Replies
31
Views
3K
  • · Replies 17 ·
Replies
17
Views
2K
  • · Replies 15 ·
Replies
15
Views
2K
  • · Replies 18 ·
Replies
18
Views
4K
Replies
7
Views
2K
  • · Replies 5 ·
Replies
5
Views
2K
Replies
20
Views
2K
  • · Replies 14 ·
Replies
14
Views
2K