Integral with different variables

Click For Summary

Homework Help Overview

The discussion revolves around evaluating an integral involving multiple variables, specifically focusing on the integration with respect to variables r2, theta2, and phi2. Participants are exploring the implications of integrating terms separately and the potential confusion arising from the square root term in the integrand.

Discussion Character

  • Exploratory, Assumption checking, Conceptual clarification

Approaches and Questions Raised

  • Participants discuss the possibility of integrating different parts of the integral separately and question whether the order of integration matters. There are mentions of changing variables and the implications of continuity on the order of integration.

Discussion Status

The discussion is active with participants sharing insights about iterated integrals and referencing Fubini’s Theorem. Some guidance has been offered regarding the order of integration, with suggestions to explore different approaches. However, there is no explicit consensus on the best method to proceed.

Contextual Notes

Participants are considering the continuity of the integrand and its effect on the order of integration, indicating a need for further clarification on this aspect. There are also references to external resources for additional context.

Viona
Messages
49
Reaction score
12
Homework Statement
Integral with different variables
Relevant Equations
Integral with variables
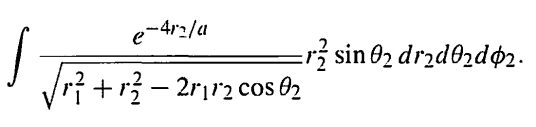
I want to do this integral in the picture:
Untitled.png

where r1 and a are constants. I know I can integrate each part separately. There will be an integral with respect to r2 multiplied by integral with respect to theta2 and the last one with respect to phi2. But the term under square root confuses me. Can I integrate it with r2 part considering theta2 constant or integate it with theta2 part considering r2 constant?
 
Physics news on Phys.org
Change of variable ##t=\cos\theta## would make
[tex]\int_{-1}^1 \frac{dt}{\sqrt{A-Bt}}[/tex]
Does it make sense ?
 
  • Love
Likes   Reactions: Viona
anuttarasammyak said:
Change of variable ##t=\cos\theta## would make
[tex]\int_{-1}^1 \frac{dt}{\sqrt{A-Bt}}[/tex]
Does it make sense ?
Yes. it seems good. But I want to ask: for this type of integral does the order matter? I should start by integrating w.r.t. r2 first or it is optional?
 
scottdave said:
Yes, see this for more clarification - https://tutorial.math.lamar.edu/Classes/CalcIII/IteratedIntegrals.aspx

Check out the example problems (with solutions)
That was helpful. Thanks. I learned that this type of integrals are called iterated integrals. For this type of integral the order is important particularly when the integrand is not continuous on the domain of integration. Then I found a theorem called Fubini’s Theorem. I understood that we can reverse the order if the integrand is continuous on the domain of integration. Now I am wondering how to check if the function is continous or not?
 
Viona said:
But I want to ask: for this type of integral does the order matter? I should start by integrating w.r.t. r2 first or it is optional?
Why don' you try integration by ##\theta## at first. The order should not matter for this exercise at least.
 
  • Like
Likes   Reactions: Viona

Similar threads

  • · Replies 9 ·
Replies
9
Views
2K
  • · Replies 5 ·
Replies
5
Views
2K
  • · Replies 2 ·
Replies
2
Views
3K
Replies
3
Views
2K
  • · Replies 8 ·
Replies
8
Views
2K
  • · Replies 2 ·
Replies
2
Views
2K
Replies
21
Views
3K
Replies
7
Views
2K
  • · Replies 2 ·
Replies
2
Views
3K
Replies
12
Views
5K