Integration by Parts without using u, v

Click For Summary
SUMMARY

The discussion centers on a novel approach to Integration by Parts, where the traditional variables u and v are not explicitly stated. The technique involves substituting dv for dx, simplifying the process. The user proposes renaming Integration by Parts as the "reverse product rule," emphasizing its similarity to the product rule for differentiation. The example provided illustrates the integration of ln(x) multiplied by x, leading to a clear solution without the need for additional variables.

PREREQUISITES
  • Understanding of basic calculus concepts, particularly integration and differentiation.
  • Familiarity with the Integration by Parts formula.
  • Knowledge of logarithmic functions and their properties.
  • Ability to manipulate integrals and derivatives effectively.
NEXT STEPS
  • Study the traditional Integration by Parts formula and its derivation.
  • Explore the concept of the product rule in differentiation and its inverse.
  • Practice solving integrals involving logarithmic functions and polynomials.
  • Investigate alternative integration techniques, such as substitution and partial fractions.
USEFUL FOR

Undergraduate students in calculus, mathematics educators, and anyone seeking to deepen their understanding of integration techniques and their applications.

Sang Ho Lee
Messages
4
Reaction score
0
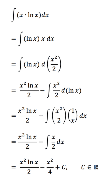
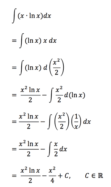
Hello, I'm currently taking calc 1 as an undergraduate student, and my professor just showed us a new? way of solving Integration By Parts.

This is the example he gave"

nht7MtzfGAU-Rje5sUvqRKRVDv0USCmVtHRQd4UQTtW3EeglrdPKleQtaVWuuXTOAycrQTG-eXPW933y_Uw=w514-h858-no.png


Is there a name for this technique that substitutes d(___) instead of dx?

Thank you,
 
Physics news on Phys.org
Sang Ho Lee said:
Hello, I'm currently taking calc 1 as an undergraduate student, and my professor just showed us a new? way of solving Integration By Parts.

This is the example he gave"

nht7MtzfGAU-Rje5sUvqRKRVDv0USCmVtHRQd4UQTtW3EeglrdPKleQtaVWuuXTOAycrQTG-eXPW933y_Uw=w514-h858-no.png


Is there a name for this technique that substitutes d(___) instead of dx?

Thank you,
It doesn't substitute d(___) instead of dx. What you're calling d(___) is just dv.

This is nothing more than integration by parts, but without stating dv explicitly. Here ##u = \ln x## and ##dv = xdx##. From the latter, we get ##v = \frac{x^2}2##.
 
  • Like
Likes   Reactions: Sang Ho Lee
I've never used ##u, v## and have never really understood the point. I would rename integration by parts as the "reverse product rule", because it's just the product rule for differentiation in reverse. Anyway, what I do is:

##\int f(x)g(x) dx = f(x) \int g(x)dx - \int f'(x) (\int g(x)dx)dx## (*)

I don't see why you need any other variables. You pick ##f## because it's easy to differentiate and/or ##g## because you know how to integrate it already. Your one I would do:

##\int (ln(x)) x dx = (ln(x)) \frac{x^2}{2} - \int (\frac{1}{x})(\frac{x^2}{2})dx = \frac{x^2ln(x)}{2} - \int \frac{x}{2} dx = \frac{x^2ln(x)}{2} - \frac{x^2}{4} + C##

I knew how to differentiate ##ln(x)## and how to integrate ##x##.

PS To prove (*), I would imagine that you already know the integral of ##g## is ##h##, which means ##h'(x) = g(x)##. So:

## \int f(x)g(x) + f'(x)h(x)dx = \int f(x)h'(x) + f'(x)h(x)dx = \int \frac{d}{dx} (f(x)h(x))dx = f(x)h(x) + C##

Hence:

## \int f(x)g(x)dx = f(x)h(x) -\int f'(x)h(x)dx+ C##

Where ##\int g(x)dx = h(x) + C##

And that seems to me to take some of the "magic" out of integration by parts.
 
  • Like
Likes   Reactions: Sang Ho Lee

Similar threads

  • · Replies 4 ·
Replies
4
Views
3K
  • · Replies 2 ·
Replies
2
Views
3K
  • · Replies 8 ·
Replies
8
Views
4K
  • · Replies 27 ·
Replies
27
Views
4K
  • · Replies 15 ·
Replies
15
Views
5K
  • · Replies 6 ·
Replies
6
Views
3K
  • · Replies 5 ·
Replies
5
Views
3K
  • · Replies 8 ·
Replies
8
Views
2K
  • · Replies 1 ·
Replies
1
Views
2K
  • · Replies 10 ·
Replies
10
Views
2K