Integration problem using Integration by Parts

Click For Summary

Homework Help Overview

The discussion revolves around an integration problem that involves the technique of integration by parts. Participants are exploring various methods and considerations related to the problem.

Discussion Character

  • Exploratory, Mathematical reasoning, Assumption checking

Approaches and Questions Raised

  • Some participants suggest alternative methods and question the relationship between differentiation and integration limits. Others discuss the definition of a function related to the problem and propose showing that its derivative is zero. There are mentions of using specific substitutions and establishing relationships between integrals through integration by parts.

Discussion Status

The discussion is active, with participants offering various lines of reasoning and methods. Some guidance has been provided regarding the differentiation of functions and the implications of integration limits. Multiple approaches are being explored without a clear consensus on the best method.

Contextual Notes

There are indications of missing information regarding the specific integral and assumptions about the constants involved. Participants are also reflecting on the implications of their findings and the potential for discrepancies in results.

chwala
Gold Member
Messages
2,840
Reaction score
428
Homework Statement
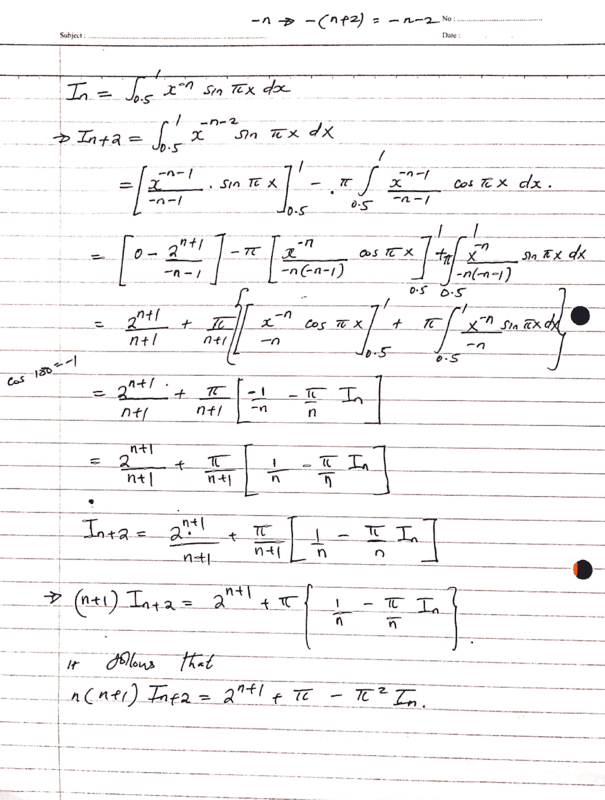
The integral ##I_{n}##, where ##n## is positive is given by ##I_{n}=\int_{0.5}^1x^{-n} sinπx\, dx##

show that,

##n(n+1)I_{n+2}=2^{n+1} + π-π^2 I_{n}##
Relevant Equations
integration by parts...
1594298971707.png


i would appreciate alternative method...
 
Physics news on Phys.org
You can differentiate to check it, but watch out for the integration limits, as differentiation isn't exactly the opposite of integration.
 
hi fresh...long time...ok you may direct me...i am trying to refresh in this things...
 
Let's define ##f(x)=n(n+1)I_{n+2}-2^{n+1}+\pi - \pi^2 I_n##. Then show that ##f'(x)=0## which means ##x \longmapsto f(x)## is constant, say ##f(x)=C##. At last calculate ##C## from the definition of ##f(x)##, or show that only ##C=0## is possible.

I haven't done it. so I don't know how it will work. The entire question is a standard example for integration by parts. Another possibility could be using a Weierstraß substitution, but I don't think this would change a lot.
 
[itex]I_n[/itex] is the imaginary part of [tex] J_n = \int_{1/2}^1 x^{-n} \mathrm{e}^{\mathrm{i} \pi x}\,dx[/tex] and you can establish the result* by interating this by parts once to get a relation between [itex]J_{n+2}[/itex] and [itex]J_{n+1}[/itex], and you can then substitute for [itex]J_{n+1}[/itex] in terms of [itex]J_n[/itex] before taking imaginary parts.

*So far as I can tell, there should be an [itex]n[/itex] multiplying [itex]2^{n+1}[/itex]. chwala's work agrees with this until the last line, where it mysteriously disappears upon multiplying [itex](n+1)I_{n+2}[/itex] by [itex]n[/itex].
 
  • Like
Likes   Reactions: SammyS

Similar threads

  • · Replies 1 ·
Replies
1
Views
2K
  • · Replies 3 ·
Replies
3
Views
2K
  • · Replies 5 ·
Replies
5
Views
1K
  • · Replies 11 ·
Replies
11
Views
3K
Replies
2
Views
1K
  • · Replies 4 ·
Replies
4
Views
3K
  • · Replies 13 ·
Replies
13
Views
3K
  • · Replies 19 ·
Replies
19
Views
3K
  • · Replies 12 ·
Replies
12
Views
2K
  • · Replies 5 ·
Replies
5
Views
2K