Lagrangian of two mass and spring/pulley system

Click For Summary

Homework Help Overview

The discussion revolves around a system involving two blocks of equal mass connected by a string over a massless pulley, with one block hanging and the other on a frictionless table attached to a spring. Participants are tasked with determining the Lagrangian of the system, the equations of motion, and a particular solution to the differential equation governing the system's behavior.

Discussion Character

  • Exploratory, Conceptual clarification, Mathematical reasoning, Problem interpretation

Approaches and Questions Raised

  • Participants discuss the coupling of the blocks and the implications of the spring force on their motion. There are attempts to derive the equations of motion and to clarify the use of generalized coordinates based on the constraint of the string's length. Questions arise regarding the treatment of derivatives and the introduction of terms related to the system's geometry.

Discussion Status

Several participants have provided insights and corrections regarding the derivation of the equations of motion and the application of the Lagrangian method. There is ongoing exploration of the differential equation, with some participants suggesting particular solutions and discussing the implications of initial conditions. The conversation indicates a productive exchange of ideas, though no explicit consensus is reached on the final solution.

Contextual Notes

Participants are working under the constraints of homework guidelines, which may limit the information they can share or the methods they can use. There is also a focus on ensuring that assumptions about the system's behavior are critically examined.

Elvis 123456789
Messages
158
Reaction score
6

Homework Statement


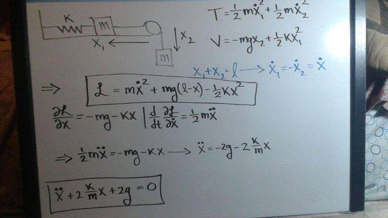
Two blocks of equal mass, m, are connected by a light string that passes over a massless pulley. One block hangs below the pulley, while the other sits on a frictionless horizontal table and is attached to a spring of constant k. Let x=0 be the equilibrium position of the block on the table.

a.) Determine the lagrangian of the system.

b.) Determine the equation of motion.

c.) Show that a particular solution of the equation of motion is xp = A. where A is a constant, and determine A. Add this solution to the solution for the homogeneous equation and show that for the initial condition x = x-dot = 0 at t = 0, the full solution is x = A(1 - cos(wt)) and determine w. Recall that for an inhomogeneous differential equation that the solution is the sum of the homogeneous solution, xh, and the particular solution.

Homework Equations


L = T - V

L = ∂L/∂x - d/dt(∂L/∂x-dot) = 0

The Attempt at a Solution


I attempted part a and b, and I am not really sure if what i got so far is correct. I also don't know how to start for part c. My work is in the attachment
 

Attachments

  • CM HW.jpg
    CM HW.jpg
    40.3 KB · Views: 1,993
Physics news on Phys.org
I see how you coupled them now. Retraction.
 
RomegaPRogRess said:
Your partial derivative, for one, is off. You should have two separate equations of motion for each mass. Secondly, you have to figure out how the second block is affected by the spring force. Obviously it oscillates, as well as the first mass, because they are connected and to a spring no less.
I used the fact that the string's length is a constant in order to get one generalized coordinate. Is that not correct to do?
 
Elvis 123456789 said:
I used the fact that the string's length is a constant in order to get one generalized coordinate. Is that not correct to do?
Okay I got it now check mine out and see where they differ
1479624173542.jpg
 
You were close, I just haven't seen anyone use that constraint on the length of the string opposed to tension but then again you're using the Lagrangian method.
 
RomegaPRogRess said:
You were close, I just haven't seen anyone use that constraint on the length of the string opposed to tension but then again you're using the Lagrangian method.
oh yes I see, i made a careless mistake when taking the derivative. Do you have any hints about how to start part c?
 
Yup. Attempt it first though. I'm assuming you haven't or are rusty at solving differential equations.
 
You can avoid the mgl term by defining x2 suitably.
Check your treatment of the ##\frac d{dt}\frac{\partial\mathcal{L}}{\partial\dot x}## term.
 
haruspex said:
You can avoid the mgl term by defining x2 suitably.
Check your treatment of the ##\frac d{dt}\frac{\partial\mathcal{L}}{\partial\dot x}## term.
Yes i caught my error in taking the derivative. Just to be clear, introducing the "l" for the length of the rope doesn't really affect the answer since it vanishes with the derivative correct?
 
  • #10
Elvis 123456789 said:
Yes i caught my error in taking the derivative. Just to be clear, introducing the "l" for the length of the rope doesn't really affect the answer since it vanishes with the derivative correct?
Yup. Thank you Haruspex-Sama
 
  • #11
RomegaPRogRess said:
Yup. Thank you Haruspex-Sama
Ok so the differential equation is d/dt2(x) + (k/2m)x +g/2 = 0

so for the first part of part c, i just plug in A, and A will be a particular solution if it is A = -mg/k ?
 
  • #12
ok so rewriting the differential equation as
d/dt2(x) + (k/2m)x= -g/2 plugging in A for the particular solution gives A = -mg/k

the homogeneous solution will look like

xh = Bcos(wt + φ)

so the general solution is

x = Bcos(wt + φ) + A

the velocity will be

x-dot = -B*w*sin(wt + φ)

for t = 0

Bcos(φ) + A = 0 and -B*w*sin(φ) = 0 for this to happen φ must be zero

then B = -A

that means that the solution is x = A[ 1 - cos(wt) ] and w2 = k/2m

does this look correct?
 
  • #13
Correct.
 
  • #14
RomegaPRogRess said:
Correct.
thank you.
 
  • #15
Elvis 123456789 said:
thank you.
Anytime and thank you for your work.
 

Similar threads

  • · Replies 6 ·
Replies
6
Views
1K
  • · Replies 7 ·
Replies
7
Views
8K
  • · Replies 10 ·
Replies
10
Views
2K
Replies
8
Views
2K
Replies
73
Views
5K
  • · Replies 1 ·
Replies
1
Views
3K
Replies
1
Views
2K
  • · Replies 18 ·
Replies
18
Views
2K
  • · Replies 9 ·
Replies
9
Views
2K
  • · Replies 5 ·
Replies
5
Views
1K