Laplace Transform of the input portion of this circuit

Click For Summary
SUMMARY

The discussion focuses on the application of Laplace transforms in analyzing a circuit's input portion, specifically equating T(s) to Z(s). The participants confirm that the results appear correct in phasor form, although some steps raise concerns regarding the clarity of the equations. The use of conductance G(s), susceptance B(s), and admittance Y(s) is emphasized over impedance Z(s) due to the circuit's all-parallel configuration. The advice to apply Norton's theorem for simplification is also highlighted as a key takeaway.

PREREQUISITES
  • Understanding of Laplace transforms and their applications in circuit analysis
  • Familiarity with phasor representation in electrical circuits
  • Knowledge of conductance, susceptance, and admittance in circuit theory
  • Basic principles of Norton's theorem for circuit simplification
NEXT STEPS
  • Study the application of Laplace transforms in circuit analysis using standard lookup tables
  • Learn about the differences between impedance Z(s) and admittance Y(s) in circuit configurations
  • Explore Norton's theorem and its practical applications in simplifying complex circuits
  • Investigate the use of conductance G(s) and susceptance B(s) in analyzing parallel circuits
USEFUL FOR

Electrical engineers, circuit designers, and students studying circuit analysis who seek to deepen their understanding of Laplace transforms and circuit simplification techniques.

Jason-Li
Messages
119
Reaction score
14
Homework Statement
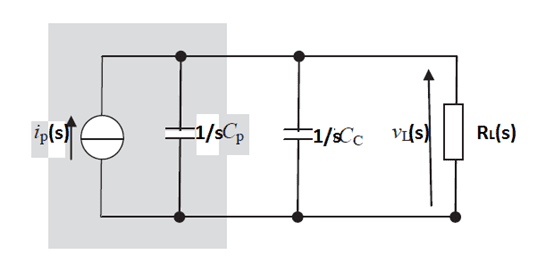
a) Draw the Laplace form of the input portion of the circuit, as
represented in FIGURE 4(c).

b) Derive an expression for the Laplace transfer function as per figure 4(c).

I have attached the transfer function & figure 4 (c) in my attempt.
Relevant Equations
Standard look up tables for Laplace
So I have completed (a) as this (original on the left):
1581916471329.png
1581916477277.png


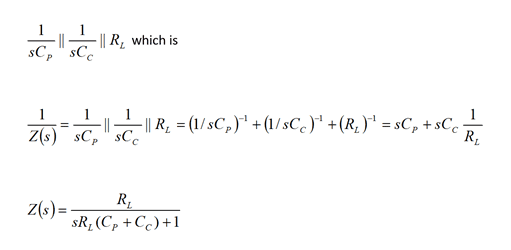
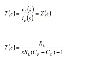
I have then went onto (b) and I have equated T(s)=Z(s) as follows:
1581916464532.png


1581916594584.png

and due to

1581916672162.png

hence
1581916689065.png
Does this look correct to you smarter people?

Thanks in advance! All replies are welcome :)
 

Attachments

  • 1581916409670.png
    1581916409670.png
    1.1 KB · Views: 247
  • 1581916586992.png
    1581916586992.png
    1.3 KB · Views: 218
Last edited by a moderator:
Physics news on Phys.org
Are you trying to solve for the circuit in phasor form?

The results look right to me if it's just phasor form. There's a step where things look a little confusing by my eye. This part below looks concerning to me although it appears less concerning later on the right side.

$${1 \over Z(s)} = {1 \over {sC_p}} \parallel {1 \over {sC_s}} \parallel R_L$$

When I read about Laplace transforms (including standard lookup tables among your relevant equations)... I'm actually expecting a transform from ##s## to ##t## or its converse. The one on the table I'd be looking at is in this form although you'll have to massage the equation (a little bit) on your own if you do require the additional steps.

$$e^{-at} \leftrightarrow {1 \over {s + a}}$$
 
Your transform is ## V_L (s)/(I_p(s). ## You should be using conductance G(s), susceptance B(s) and admittance Y(s) = G + jB(s) rather than impedance Z = R + jX(s). That is suggested by the all-parallel nature of the circuit. You need to think in these terms if the math is thereby greatly simplified. Similarly, use Norton's therem for the input section.

Anyway, your answer is correct. But think G, B and Y whenever a circuit has lots of loops and few independent nodes.
 

Similar threads

  • · Replies 3 ·
Replies
3
Views
3K
  • · Replies 3 ·
Replies
3
Views
3K
  • · Replies 2 ·
Replies
2
Views
2K
  • · Replies 5 ·
Replies
5
Views
4K
  • · Replies 1 ·
Replies
1
Views
2K
  • · Replies 4 ·
Replies
4
Views
4K
  • · Replies 4 ·
Replies
4
Views
5K
  • · Replies 22 ·
Replies
22
Views
3K
  • · Replies 2 ·
Replies
2
Views
3K
  • · Replies 17 ·
Replies
17
Views
3K