Linear Differential Equation - Initial Value Problem

Click For Summary
SUMMARY

The discussion revolves around solving a linear differential equation with an initial value problem. The user successfully calculated the integrating factor μ(x) = e^x - x² and applied it to the equation. The confusion arose when the user noticed a discrepancy in the resulting equation, which was clarified upon realizing that the left side of the equation represented the derivative of e^x - x² ⋅ y. This insight allowed for simplification, resolving the initial misunderstanding.

PREREQUISITES
  • Understanding of linear differential equations
  • Familiarity with integrating factors in differential equations
  • Knowledge of derivatives and their properties
  • Basic skills in algebraic manipulation
NEXT STEPS
  • Study the method of integrating factors for linear differential equations
  • Learn about the application of initial value problems in differential equations
  • Explore the concept of derivatives and their role in solving differential equations
  • Practice solving various linear differential equations with initial conditions
USEFUL FOR

Students and educators in mathematics, particularly those focusing on differential equations, as well as anyone seeking to strengthen their understanding of initial value problems and integrating factors.

thaalescosta
Messages
11
Reaction score
0
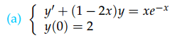
Hello, I'm struggling with a simple problem here.

It asks me to solve the following initial value problem:
fSfRWNn.png


So far I've calculated the integration factor μ(x) = ex-x2 and I multiplied both sides of the equation by it and got this:
http://www4c.wolframalpha.com/Calculate/MSP/MSP36171f59839bdf0g6cbd000044defig6e40h0ei0?MSPStoreType=image/gif&s=64&w=256.&h=47.

The problem I'm having is that the equation I got is different than the equation in the first line of the solution:
2zu70dx.png


I don't understand how the ex-x2⋅(1 - 2x)⋅y disappearedEDIT: Actually, nevermind. My brain was too lazy to realize that the left part of the equation is equal to the derivative of ex-x2⋅y so I could just simplify it
 
Last edited by a moderator:
Physics news on Phys.org
Well done.
 

Similar threads

  • · Replies 4 ·
Replies
4
Views
2K
Replies
5
Views
2K
  • · Replies 10 ·
Replies
10
Views
2K
Replies
1
Views
2K
  • · Replies 15 ·
Replies
15
Views
2K
  • · Replies 1 ·
Replies
1
Views
1K
  • · Replies 4 ·
Replies
4
Views
2K
  • · Replies 14 ·
Replies
14
Views
3K
  • · Replies 3 ·
Replies
3
Views
2K
  • · Replies 3 ·
Replies
3
Views
2K