Linearized metric for GW emitting orbiting bodies

  • Context: Graduate 
  • Thread starter Thread starter pervect
  • Start date Start date
  • Tags Tags
    bodies Metric
Click For Summary

Discussion Overview

The discussion centers on deriving the linearized metric in the far field for a pair of orbiting bodies emitting gravitational waves (GWs). Participants explore the use of the quadrupole moment and the implications of gauge conditions on the metric perturbations.

Discussion Character

  • Technical explanation
  • Mathematical reasoning
  • Debate/contested

Main Points Raised

  • One participant seeks to find the linearized metric perturbation ##h_{\alpha\beta}## using the quadrupole moment, referencing Landau & Lifshitz.
  • Another participant discusses the specific components of the quadrupole moment and their relation to the metric coefficients, noting the use of different notations in various texts.
  • Concerns are raised about the projection of the quadrupole moment and its implications for satisfying gauge conditions, particularly in relation to gravitational wave emission.
  • Some participants express uncertainty about the absence of certain terms in the PPN formalism and whether they should appear in the metric derived for GWs.
  • There is a discussion about the gauge conditions that the trace-reversed perturbation must satisfy, with some participants clarifying the relationship between the perturbation tensor and the trace-reversed version.
  • One participant questions their calculations regarding the application of the Lorenz gauge to the TT metric, suggesting a potential misunderstanding of the independence of certain components.

Areas of Agreement / Disagreement

Participants express differing views on the correct application of gauge conditions and the implications for the metric perturbations. There is no consensus on the correct interpretation of certain terms or the proper approach to deriving the metric.

Contextual Notes

Participants note limitations in their understanding of the gauge conditions and the implications of different notations used in various references. There is also mention of unresolved mathematical steps in the derivation process.

pervect
Staff Emeritus
Science Advisor
Homework Helper
Insights Author
Messages
10,484
Reaction score
1,636
I'm looking for the linearized metric in the far field for a pair of mutual orbiting bodies that are emitting gravitational waves (GW's). I gather finding this (approximate) metric should be possible using the quadrupole moment of the source.

From Landau & LIfshitz "Classical theory of Fields", pg 377 $110.8. I gather that the metric pertubation ##h_{\alpha\beta}## should be proportional to

$$ h_{ab} \propto \frac{1}{r} \, \frac{\partial^2}{ \partial t^2 } D_{ab}$$

(If I'm reading R_0 correctly? See more below.) where D_{ab} is the (reduced) quadrupole moment. (I'll note in passing that L&L use a different notation than MTW for the reduced quadrupole moment, and while I'm preferring MTW"s notation, I think I can translate L&L's notation on this point).

What I don't think I"m getting is some talk in L&L of "projecting" the quadrupole moment. As a result when I check my attempts at a solution it's not meeting the expected gauge conditions. Is the assumption being made that GW's are emitted radially, and the projection orthogonal to this null outgoing ray?

Some additional questions came up from my reading. I gather that the TT gauge condition won't be satisfied by non-GW fields, so I gather those parts of the field are simply not modeled. (for instance, no 1/r term in ##g_{00}##) in the solution, so it won't actually be a metric with terms up to order of 1/r in the approach I'm using. Additionally, I was reviewing the PPN formalism as an alternative to calculating the desired metric, and was surprised to see that it didn't seem to have any terms of the appropriate order (I'm expecting 1/r, as I said before) in the metric. So I'm wondering if I"m interpreting this all correctly - the terms of order 1/r due to GW's exist in the far field, but the PPN metric doesn't include them? And likewise, the static term of order 1/r in ##g_00## is not included in the proposed solution? And I'd need to linearize the GW's around a non-flat background metric (rather than the flat metric) to get these terms?

While a better understanding of the issues would be good, the main goal is to find the linear-order metric valid in the far field for the purposes of defining the geometry, along with an idea of what approximations were made.
 
Physics news on Phys.org
The math:

Basically I'm looking at exercise 1 in section $110, pg 379 in my edition of Landau & Lifshitz, "The Classical Theory of FIelds". Except that I want the metric pertubations ##h_{ik}## rather than what they want in the exercise.

LL said:
Two bodies, attracting each other according to Newton's law, move in circular orbits (around) their common center of inertia).

I won't say what L&L want to determine, as I want to determine something different.

LL said:
Solution: Choosing the coordinate origins at center of inertia, we have for the radius vector of the two bodies:

$$r_1 = \frac{m2}{m1+m2}\,r \quad r_2 = -\frac{m1}{m1+m2} \, r \quad r = r_1 - r_2$$

The components of the tensor ##D_{\alpha\beta}## are (if the xy plane coincides with the plane of motion):

$$ D_{xx} = \mu r^2(3 \cos^2 \Psi - 1) \quad D_{yy} = \mu r^2 (3 \sin^2 \Psi - 1) $$
$$ D_{xy} = 3 \mu r^2 \cos \Psi sin \Psi \quad D_{zz} = -\mu r^2 $$

where ##\mu = m1 \, m2 / (m1+m2), \Psi## is the polar angle of the vector r in the xy plane. For circular motion, r=constant, and ##\dot{\Psi} = \omega##.

I've used their values for the quadropole moment as is, with their constant factors (different from MTW's) left in. I then simply plug theseesults into 110.8 to get what should be the metric coefficeints.

$$\psi_{ab} = \frac{2k}{c^4 R_0} \, \frac{\partial^2}{\partial t^2} \int \mu x^\alpha x^\beta dV$$

##\psi## is LL's notation for what's often called ##\bar{h}## in other texts, it's defined as:

$$\psi^k_i = h^k_i - \frac{1}{2} \delta^k_i h$$

and shouldn't be confused with the angle ##\Psi## in the problem statement.

Since In this solution the trace is zero, ##h = \Psi##. I'm evaluating the above at retarded time, t-r ( c set to 1).

Using this approach, I get what appears to be a simple looking result:

$$h_{xx} \propto \frac{\cos(2 \omega (t-r))}{r} \quad h_{xy} \propto \frac{\sin(2 \omega (t - r))}{r} \quad h_{yy} \propto -\frac{\cos(2 \omega (t-r))}{r}$$

The proportionality constants are all identical.

The issues is that while ##\Box \, \bar{h}_{ik}=0##, I'm getting that ##{\partial \bar{h}_{ik}} / {\partial x^k}## is not zero, i.e. ##h_{xx,x} + h_{xy,y}## is not zero.

Since I'm looking for errors, it's correct to assume that for the spatial terms ##h_{ik} = h^i_k = h^{ik}##, correct?

Maybe I'm doing something simple wrong, but I don't see it. I'm not sure if my solution for the metric is wrong, or the manner I'm checking it is wrong, or if I'm missing a term. As far as missing terms go, I think ##h_{t*}## should be zero - but I could be wrong :(.
 
pervect said:
The issues is that while ##\Box \, \bar{h}_{ik}=0##, I'm getting that ##{\partial \bar{h}_{ik}} / {\partial x^k}## is not zero, i.e. ##h_{xx,x} + h_{xy,y}## is not zero.
It is the trace reversed perturbation that must meet the gauge condition not the perturbation tensor itself.
 
RockyMarciano said:
It is the trace reversed perturbation that must meet the gauge condition not the perturbation tensor itself.

I assume this means that ##\bar{h}_{\alpha\beta}## (what L&L call ##\psi^\alpha_\beta## ) should satisfy the gauge condition (?). But since ##h_{yy} = - h_{xx}##, and the other diagonal terms in the proposed solution are zero, the trace of both ##\bar{h}## and h are zero, i.e. ##\bar{h}^\alpha_\alpha = h^\alpha_\alpha = 0##, which implies that h = ##\bar{h}##.

[add]It might be clearer to put it this way, using L&L's notation for consistency:

$$\psi_{xx} \propto \frac{\cos(2 \omega (t-r))}{r} \quad \psi_{xy} \propto \frac{\sin(2 \omega (t - r))}{r} \quad \psi_{yy} \propto -\frac{\cos(2 \omega (t-r))}{r}$$

and that ##\psi_{xx} = \psi^x_x## and ##\psi_{yy}=\psi^y_y##, so that ##\psi^\alpha_\alpha## = ##\psi_{xx} + \psi_{yy} = 0##, therefore ##h_{\alpha\beta} = \psi_{\alpha\beta}##
 
Last edited:
pervect said:
I assume this means that ##\bar{h}_{\alpha\beta}## (what L&L call ##\psi^\alpha_\beta## ) should satisfy the gauge condition (?). But since ##h_{yy} = - h_{xx}##, and the other diagonal terms in the proposed solution are zero, the trace of both ##\bar{h}## and h are zero, i.e. ##\bar{h}^\alpha_\alpha = h^\alpha_\alpha = 0##, which implies that h = ##\bar{h}##.

[add]It might be clearer to put it this way, using L&L's notation for consistency:

$$\psi_{xx} \propto \frac{\cos(2 \omega (t-r))}{r} \quad \psi_{xy} \propto \frac{\sin(2 \omega (t - r))}{r} \quad \psi_{yy} \propto -\frac{\cos(2 \omega (t-r))}{r}$$

and that ##\psi_{xx} = \psi^x_x## and ##\psi_{yy}=\psi^y_y##, so that ##\psi^\alpha_\alpha## = ##\psi_{xx} + \psi_{yy} = 0##, therefore ##h_{\alpha\beta} = \psi_{\alpha\beta}##
But you are mixing two different things here. The first situation is before you fix the transverse-traceless(TT) gauge, and there you have ##\bar{h}=-h##, otherwise why bother to use a trace reversed perturbation to be able to implement the Lorenz gauge condition if it is equal to the perturbation tensor?, second step: after this, on top of the Lorenz gauge we fix the TT gauge for the vacuum case modelling of the perturbation as a plane wave solution. This is what LL calls ## \psi_{\alpha\beta}## and in this case indeed there is no trace, the metric perturbation is purely spatial now we are in the vacuum asymptotically flat case, and the former Lorenz gauge makes it also transverse, that's why they call it Transverse-traceless gauge, and of course ## \psi_{\alpha\beta}^{TT}=\bar\psi_{\alpha\beta}^{TT}##
 
So I guess you are not calculating right the appliccation of the Lorenz gauge to the TT metric, since it must meet it. Remember that only the cases with components xx and yy on one hand and xy, yx on the other are independent. You seem to be mixing xx and xy above.
 
RockyMarciano said:
So I guess you are not calculating right the appliccation of the Lorenz gauge to the TT metric, since it must meet it. Remember that only the cases with components xx and yy on one hand and xy, yx on the other are independent. You seem to be mixing xx and xy above.

That actually gives me a clue as to the problem. The solution works along the z axis, i.e. if x=y=0, it satisfies the gauge conditions. Apparently that's all it's supposed to do - the original appication was apparently to figure out the radiated power in various directions, and the approach used was to implicitly assume (without making an obvious statement of the assumption) that the solution was transverse. How to modify the solution to do what I want is less clear. As x,y,z are not transverse to r, the solution I'm looking for can't be transverse - at least not in x,y,z coordinates. Switching to spherical coordinates could help - but then the problem is calculating the quadrupole moment, due to the coordinate singularity at r=0.
 
pervect said:
That actually gives me a clue as to the problem. The solution works along the z axis, i.e. if x=y=0, it satisfies the gauge conditions. Apparently that's all it's supposed to do - the original appication was apparently to figure out the radiated power in various directions, and the approach used was to implicitly assume (without making an obvious statement of the assumption) that the solution was transverse. How to modify the solution to do what I want is less clear. As x,y,z are not transverse to r, the solution I'm looking for can't be transverse - at least not in x,y,z coordinates. Switching to spherical coordinates could help - but then the problem is calculating the quadrupole moment, due to the coordinate singularity at r=0.
There is no possible way to construct GWs solutions that are not transverse, by construction of the plane-wave solution, this was discussed in other threads along with the harmonic coordinate imposition . You are drawing a distinction between r and z that is not there in any gravitational radiation modeled at arbitrary long distances from the source treatment that I know of.
 
RockyMarciano said:
You are drawing a distinction between r and z that is not there
The plane wave is only an approximation to the real situation. The wave period is half the orbital period of the binary so the z axis of the plane wave approximation differs from the radial direction to the barycentre by an angle of 2λ/r. Of course that too is probably a negligible number locally, comparable to the error in using the plane wave in the first place, but the effect will accumulate round the "equator".
 
  • #10
GeorgeDishman said:
The plane wave is only an approximation to the real situation.
Sure, like almost everything in physics, so what? The fact is that it is the only mathematically valid approximation so far. Unless you can come up with a new mathematical approach no one has yet been able to you have to play with the rules that are on the table.
The wave period is half the orbital period of the binary so the z axis of the plane wave approximation differs from the radial direction to the barycentre by an angle of 2λ/r. Of course that too is probably a negligible number locally, comparable to the error in using the plane wave in the first place, but the effect will accumulate round the "equator".
Again, there is simply no mathematical model of GWs producing that sort of accumulation "round the equator". The far source is modeled like a point so there is no equator. Absent the new math that would be required for it you are basically taking "artistic licences" that are fine only if you are aiming towards some nicely illustrated science-fiction work .
 
  • #11
RockyMarciano said:
Unless you can come up with a new mathematical approach no one has yet been able to you have to play with the rules that are on the table.
My aim has only ever been to provide a graphic illustration of the standard maths, but perhaps I have been naive and my source for that maths is not reliable. My simple source was the two equations given for the Earth-Sun system on Wikipedia.

Earth-Sun.png


RockyMarciano said:
Again, there is simply no mathematical model of GWs producing that sort of accumulation "round the equator". The far source is modeled like a point so there is no equator.
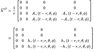
In that section, the "equator" is described by as θ=π/2 : "For example, if the observer is in the x-y plane then θ=π/2, and cos(θ)=0, so the h× polarization is always zero.".

The original maths (which is beyond my level) is in the next section, Advanced Mathematics, and in particular the solution in spherical coordinates is given in Linear Approximation as

Spherical_coords.png


I won't pretend to understand that, but I assume the two simpler equations given earlier for the Earth-Sun system are derived from that, and it is those that I am illustrating. The sources quoted are Kip Thorne [71] and MTW [72].
 
Last edited:
  • #12
GeorgeDishman said:
In that section, the "equator" is described by as θ=π/2

Physically, this is the plane of the orbit (which is here idealized as a perfectly circular orbit).

RockyMarciano said:
The far source is modeled like a point so there is no equator.

Not quite. "Modelled like a point" here just means that the distance ##R## from the source to the observer is much larger than the radius ##r## of the orbit. It does not mean that the orbit does not exist or does not define a particular plane.
 
  • #13
PeterDonis said:
Not quite. "Modelled like a point" here just means that the distance ##R## from the source to the observer is much larger than the radius ##r## of the orbit. It does not mean that the orbit does not exist or does not define a particular plane.
Thank you so much for pointing out that an approximation scheme(in this case the plane-wave approx.) does not imply inexistence nor causes stellar orbits and the orbit planes they determine to cease to exist. Many here may have interpreted my remark in that sense so your effort is indeed appreciated. Another possible interpretation, closer to what was intended is that the details about any "accumulation effects of the difference between r and z" in the orbit plane of the binary source orbit are irrelevant in the linearized gravity plane wave approximation used to model detectibilty precisely because in this model there is no effective difference.
 
  • #14
GeorgeDishman said:
My aim has only ever been to provide a graphic illustration of the standard maths
Your aim is laudable. I simply don't think it is doable in the way you pretend to do it. There is no global picture of source and detection that is compatible with the math.
 
  • #15
RockyMarciano said:
the details about any "accumulation effects of the difference between r and z" in the orbit plane of the binary source orbit are irrelevant in the linearized gravity plane wave approximation used to model detectibilty precisely because in this model there is no effective difference.

I'm still not sure what you mean by "the difference between r and z" here. The point of the equations GeorgeDishman gave is that both the polarization and the intensity of GWs that are in principle detectable at a large distance from a binary system depend on the angle ##\theta## between the perpendicular to the system's orbital plane and your line of sight. This dependence on ##\theta## does not go away, no matter how far away you are from the source.
 
  • #16
PeterDonis said:
I'm still not sure what you mean by "the difference between r and z" here. The point of the equations GeorgeDishman gave is that both the polarization and the intensity of GWs that are in principle detectable at a large distance from a binary system depend on the angle ##\theta## between the perpendicular to the system's orbital plane and your line of sight. This dependence on ##\theta## does not go away, no matter how far away you are from the source.

I mean this:
GeorgeDishman said:
. the z axis of the plane wave approximation differs from the radial direction to the barycentre by an angle of 2λ/r. Of course that too is probably a negligible number locally, comparable to the error in using the plane wave in the first place, but the effect will accumulate round the "equator"

And you are saying this angle 2λ/r is the angle ##\theta## between line of sight and the orbital plane perpendicular?
 
  • #17
RockyMarciano said:
And you are saying this angle 2λ/r is the angle ##\theta## between line of sight and the orbital plane perpendicular?

No. I'm not sure what GeorgeDishman is referring to in post #9, I would need more context and some references, but I'm pretty sure it's not the same thing as the angle ##\theta## referred to in post #11, which is the only post I was commenting on. In general, as I already expressed in a previous thread, I think the math required to do properly what GeorgeDishman is trying to do is much more complicated than any equations that have been posted, and in general can only be done numerically.
 
  • #18
Most important, my apologies to Pervect as my comment seems to have moved the discussion temporarily away from the original question, hopefully we can return to that once these points are cleared up.

There are two topics getting confused here so first consider just the orbital plane of the binary. A circle round that at large distance from the source is what Pervect described as the "equator". The first image I wanted to do is fairly simple, it shows the strength of the wave effect in the plane and I don't have a problem with this visualisation at all.
RockyMarciano said:
Your aim is laudable. I simply don't think it is doable in the way you pretend to do it. There is no global picture of source and detection that is compatible with the math.
This link is originally from a NASA site, now copied into Wikipedia
https://commons.wikimedia.org/wiki/File:Wavy.gif
The vertical displacement illustrating strain is what I would call "artistic licence", I have used colour coding instead:

I don't see why you think that isn't doable or where the error lies in what I've done. The colour coding shows the magnitude of the strain moving out from the centre but also how it creates the illusion that the wave rotates with the binary.
PeterDonis said:
No. I'm not sure what GeorgeDishman is referring to in post #9
My comment was in reply to #8
RockyMarciano said:
There is no possible way to construct GWs solutions that are not transverse, by construction of the plane-wave solution, this was discussed in other threads along with the harmonic coordinate imposition . You are drawing a distinction between r and z that is not there in any gravitational radiation modeled at arbitrary long distances from the source treatment that I know of.
GeorgeDishman said:
.. the z axis of the plane wave approximation differs from the radial direction to the barycentre by an angle of 2λ/r.
Note that the shape of the maximum of the 'ripple' in the NASA illustration is a spiral pattern reminiscent of a spiral galaxy with two arms. This sketch shows just one spiral for simplicity. If we approximate the wave at some point using the plane wave solution, the x-y plane (x shown, red) is a tangent to the spiral so the z direction (red) does not match the r direction of the spherical coordinates (green).
plane_wave_approx_z-r.png

Does that clear up my comment #9?

The second point Peter made is the part of this exercise where I originally had a problem, hopefully now resolved.
PeterDonis said:
The point of the equations GeorgeDishman gave is that both the polarization and the intensity of GWs that are in principle detectable at a large distance from a binary system depend on the angle ##\theta## between the perpendicular to the system's orbital plane and your line of sight. This dependence on ##\theta## does not go away, no matter how far away you are from the source.

The second visualisation I want to do is again to illustrate the strain but over the surface of a sphere and using the same colour coding as in the orbital plane version. The amplitude of the cross polarisation varies with "latitude" which just alters the colours a bit but what I also need to include is the varying direction of the strain as the relative strengths of the two polarisations changes. Some sort of vector field overlay might suffice for that but again that's only work-in-progress, I can experiment with that myself.


P.S. I think I missed a factor of 2π, the angle should be λ/πR, once round the system moves you inwards .
 
Last edited:
  • #19
GeorgeDishman said:
Does that clear up my comment #9?

Yes, I see what you're referring to now. However, on its face it seems inconsistent with the equations in the Wikipedia page. The NASA image and your sketch imply that the wave amplitude at a given distance ##R## from the source must depend on ##\phi##, the angular coordinate within the equatorial plane; but the Wikipedia equation only shows a dependence of the amplitude at a given ##R## on ##\theta##, the angle between the perpendicular to the equatorial plane and the observer's line of sight--i.e., that at a given ##R## (and time ##t##) the amplitude at all angles in the equatorial plane would be the same. I suspect that the Wikipedia page and the NASA image are using different, incompatible approximations, but I haven't had time to dig deeper into the underlying math.
 
  • #20
PeterDonis said:
Yes, I see what you're referring to now. However, on its face it seems inconsistent with the equations in the Wikipedia page. The NASA image and your sketch imply that the wave amplitude at a given distance ##R## from the source must depend on ##\phi##, the angular coordinate within the equatorial plane;
The strain at any time depends on ##\phi## as well as the time, but the amplitude of that sinusoidal variation depends only ##R## and ##\theta##.
##strain=A(R,\theta)sin(\omega t-2\phi)##
Of course that needs to be expanded for the change of polarisation with ##\theta##.
 
  • #21
GeorgeDishman said:
The strain at any time depends on ##\phi## as well as the time, but the amplitude of that sinusoidal variation depends only ##R## and ##\theta##.

No, this isn't correct, because the strain is the amplitude. They're the same thing. (Technically, you could say that the strain is how we measure the amplitude, but that doesn't really make any difference for this discussion.)
 
  • #22
This is a question of jargon but also I just realized the Wikipedia page has an error that is confusing. In the first line in the section on Wave amplitudes from the Earth–Sun system, it actually shows the equation for the strain (omitting ##\phi##) but lower down it shows the first part which I've always seen called the amplitude and the text (green box) seems to say the same but is a bit ambiguous.
wave_amplitude_wiki_error.png

The first part should say ##strain=h_+ cos(2 \omega(t-R/c)-2 \phi)## and then the definition of ##h_+## as the "amplitude" in the second red box is correct.
This LIGO chart is labelled "strain" which is what I understand to be the correct term.
http://www.ligo.org/science/Publication-GW150914/images/fig-3.png
 
  • #23
GeorgeDishman said:
My aim has only ever been to provide a graphic illustration of the standard maths, but perhaps I have been naive and my source for that maths is not reliable. My simple source was the two equations given for the Earth-Sun system on Wikipedia.

View attachment 104042In that section, the "equator" is described by as θ=π/2 : "For example, if the observer is in the x-y plane then θ=π/2, and cos(θ)=0, so the h× polarization is always zero.".

The original maths (which is beyond my level) is in the next section, Advanced Mathematics, and in particular the solution in spherical coordinates is given in Linear Approximation as

View attachment 104041

I won't pretend to understand that, but I assume the two simpler equations given earlier for the Earth-Sun system are derived from that, and it is those that I am illustrating. The sources quoted are Kip Thorne [71] and MTW [72].

There is a certain amount we can illustrate from these equations, but perhaps not the way you're doing it. I'll give you what I think I've figured out so far, along with the supporting arguments.Let's start with a pictorial representation of a plus polarized GW, from wiki.

GravitationalWave_PlusPolarization.gif


Next, we note that following remarks from wiki:

wiki said:
For example, if the observer is in the x-y plane then θ = π / 2, and cos ⁡ ( θ ), the ##h_{\times}## is always zero.

So, to represent the GW at ##\theta = \pi / 2##, which I will henceforth term "the equator" (the equator being the equator of a 3d sphere drawn around the binary) we only need to represent a + polarized GW. And the above diagram does this - in a small region. The issue is, that we want to cover a large region. Any 3d map (or moving 3d representation, which would be a 4d map) in flat space-time cannot be to scale over a region larger than one wavelength of the GW. Here is where I feel that GeorgeDishaman's attempt at a representation fails and probably becomes actually misleading. The problem is that the 4d space-time is not flat, and it can't be represented to scale as if it were flat. We are pushing our intuition too far.

But there is a solution to this. We can't draw the whole picture to scale, but we can draw tiny parts of it to scale. So we can draw a bunch of small diagrams, represent small sections of the space-time geometry. And those will look just like the wiki representation above.

At this point, I'll introduce my quick sketches. (I hope this works right - there's some possibility I'll have to fixed the post):
gwbinary2.jpg


[add: changing the file type worked]

The first part of the sketch is a pencil-and-paper drawing of the + polarized GW, the same as Wiki's moving dot representation, but just drawing the shap of the dots at different times. First I draw ellipses, then , because even that's hard to do, I stylize the ellipses with a pair of lines, representing the semi-major axis. One axis is longer than the other, which axis is longer and which axis is shorter represents the phase-state of the GW. You can think of it as a pictorial representation of the spatial representation of the ring of test masses.

We can imagine then, that we have a bunch of observers with Ligo's all located around what I've dubbed the equator of the binary pair, all detecting GW's and observing test masses move. Because no observer extends over too large a region, we do not run into the representation problems I mentioned earlier.

Now we see the information we are missing to draw a complete diagram of the GW. We know there are a bunch of + polarized GW's around the equatorial ring, and we know how to represent them. But what we don't know is the relative phase relationship, i.e. if we define a concept of "now" based on retarded time from the center, we don't know what phase the GW is at any point.

I have a guess as to what the phase relationship could/should be, but no supporting math at this point. In the later parts of my diagram, I've drawn 5 observers, which I"ve lablled A,B,C,D,E, all in a ring around the equator. Each one measures with their Ligo the GW's emitted by the binary, and takes a "snapshot" of the configuration of the test masses at the "same time" - as defined by the reception of a signal emitted from the center of the diagram. There will definitely be some set of such snapshots that represent the state of the system, but the phase of the snapshots (which axis of the ellipse is long, which is short) vs angle is not known from the wiki article.

So, what we don't know from the wiki article is how the GW changes it's phase as one moves around the equator. I sketch out one possibility that I feel is the most likely, but I'll have to say at this point that I don't know if it's correct or not.

[add]. Something that needs additional explanation. The diagram labelled "binary, orbital plane" can be thought of as a top-down representation of the binary. The lines on the diagram near the letters A-E are the top down view of a "screen", transverse to the radial direction, on which the test masses move. The test masses always move in a plane transverse to the radial direction, what I'm calling the "screen". You can think of the little diagrams labelled A-E as all being drawn on post-it notes, each of which is stuck around the equator of the sphere.
 

Attachments

Last edited:
  • #24
On a related note, here's my sketch for what I think a GW detector mounted at one of the poles should observe. Here we have both + and x components of the GW, per the wiki article. The + wave will stretch the metric according to the + wave diagram from wiki, with a phase relationship of ##\cos 2 \omega (t-r/c)##, so that at t-r/c=0, the stretch in the + direction will be a maximum. The x component of the stretch will be proportional to ##\sin 2 \omega (t-r/c)##, so the peak stretch in the x direction will occur when the stretch in the + direction is zero.

The same style picture of this are below. Note that the diagram gives a false impression of rotation - there is no rotation, just stretching. Given thatwhen the + stretch is maximum, the x stretch is zero, and vice versa, I believe the result must look like this.
gwpole.jpg

The test masses are always in an elliptical configuration, they're always stretched in at least one direction. Symmetry leads me to believe that the overall shape of the ellipse doesn't change (in the case where the orbiting binary has no eccentricity). So the only change in shape is that the major axis of the ellipse of the test masses rotates (though the test masses themselves don't rotate). There should be some phase relationship between the shape of the test masses and the position of the bodies in retarded time. I've sketched what i think is the probably relationship by drawing one below the other, but at this point the phase relationship is still speculative. I *think* it's clear that if we use retarded time t-r/c, there should be some fixed relationship between the major axis of the ellipse of the test masses as the orbital axis of the binaries, but perhaps I'm fooling myself.
 
  • Like
Likes   Reactions: GeorgeDishman
  • #25
That's spot on ;-) In my video version, the colour encodes the stretch so for example yellow for elongated round the equator and blue where it is compressed for the orbital plane version.

The logic that supports what you've drawn is straightforward. The pattern must be cyclical, it must repeat the same for every orbit provided we are considering the case a long time before merger hence when we have a constant orbital period. That also implies constant radius hence constant amplitude, technically the energy loss per orbit must be much less than the total orbital energy.

If we assume the binary masses are equal, then we can't tell if they switch places, the observed stretch/shrink pattern must be the same so there must be two maxima and two minima of stretching per orbit, that ties in with the quadrupole format. (It raises another question, if the masses were dissimilar, would there be a sub-harmonic in the waveform, a component at the orbital frequency? But that's for another day.)

The pattern seen by one observer when the binary is in some arbitrary configuration must also be seen by another observer farther round the equator but some time later hence the pattern must appear to rotate with the system.

The actual phase at any point cannot easily be predicted for a practical case, we know the distance to a source with an uncertainty of light years but the wavelength might be light minutes for a binary like HM Cancri or a fraction of a light second for GW150914.

P.S. Re your second message, that makes sense too, whatever the pattern is it has to stay constant and rotate with system. Each test mass however would be moving in a small circle around its mean position, not round the pole. The degree of distortion would be constant (constant colour) but the direction changes which is why I need to add something to the video.
 
Last edited:
  • #26
I found a couple of animations on this. This is the equatorial case

https://www.quantamagazine.org/wp-content/uploads/2016/02/GravityWaves.gif

This is the polar version though I've seen one site label it incorrectly as the cross polarisation.

http://scienceblogs.com/startswithabang/files/2012/08/gw_elliptic.gif

The last comes from this site

http://www.einstein-online.info/spotlights/gw_waves
 
  • #27
GeorgeDishman said:
The first part should say strain=##h_+ cos(2 \omega(t-R/c)-2 \phi)##

Where are you getting that from?

GeorgeDishman said:
and then the definition of ##h_+## as the "amplitude" in the second red box is correct.

Not if it's different from the "strain".

The "strain" is defined as the dimensionless change in the distance between neighboring geodesics, i.e., neighboring test masses that start out at rest relative to each other before the GW passes, and which are moving inertially, with no forces acting on them. To make the distance change dimensionless, we divide it by the original distance between the masses. So, heuristically, we have strain ##s = \delta d / d##, where ##d## is the original distance and ##\delta d## is the change in distance.

Now consider a pair of test masses separated by a distance ##d## along the ##x## axis of the coordinate chart in which the Wikipedia page equations are written. This distance is given in terms of the line element by ##d = g_{xx} \left( x_2 - x_1 \right) = \left( 1 + h_{xx} \right) \left( x_2 - x_1 \right) = \left( 1 + h_+ \right) \left( x_2 - x_1 \right)##. (This is just using the definition of ##h_+## as given on the Wikipedia page.) Before the GW passes, we have ##h_+ = 0##, i.e., ##g_{xx} = 1##, so we have ##d = x_2 - x_1##. Then, as the GW passes, we can write the change in ##d## as ##\delta d = \left( 1 + h_+ \right) d - d = h_+ d##, i.e., the distance using the new ##g_{xx}## including the GW effect, minus the original distance. This obviously means the strain ##\delta d / d = h_+##. In other words, the "strain" is the "amplitude".

What all this shows is that, as I said before, the Wikipedia page equation can't be using the same underlying math as the NASA image.
 
  • #28
PeterDonis said:
What all this shows is that, as I said before, the Wikipedia page equation can't be using the same underlying math as the NASA image.

Where's the Nasa image? The Einstein online image is the same as the Wiki image. I thought we had all agreed that this image could be interpeted as the motion of the test masses in a local Lorentz frame, (which implies that the image is "to scale" only over a region of space-time small enough where the metric coefficients don't change appreciably). Do we need to revisit that?
 
  • #29
pervect said:
Where's the Nasa image?

I'm referring to the image GeorgeDishman linked to in post #18, and the video he made based on it. This is a "global" image, showing the source and waves emanating from it on a large scale; it is not the same as the "local" image you are referring to.

(Also, as far as I can tell, the equations GeorgeDishman gave for ##h_+## and ##h_\times##, from Wikipedia, are in "global" coordinates, not the "local" ones I'll discuss below.)

pervect said:
The Einstein online image is the same as the Wiki image. I thought we had all agreed that this image could be interpeted as the motion of the test masses in a local Lorentz frame

I have never agreed to the terminology "local Lorentz frame" in reference to this. As I've said several times before, this terminology can't possibly be right because we are talking about coordinates in which the effects of GWs are observable, and since GWs are waves of spacetime curvature, they are by definition not observable in a local Lorentz frame, since such a frame is by definition small enough for spacetime curvature effects to be unobservable.

A reasonable term for the frame in which the "local" images of GWs are set might be a "local linearized frame", since, while spacetime curvature effects are observable within this frame, they are linear to the accuracy observable.

pervect said:
which implies that the image is "to scale" only over a region of space-time small enough where the metric coefficients don't change appreciably

This can't be right either as it is stated, because in the coordinates in question, the effects of the GWs are changes in the metric coefficients. At most we could say that the metric coefficients don't change appreciably in space; but they certainly do change with time in these coordinates.
 
  • #30
PeterDonis said:
Where are you getting that from?
It's a convention I've seen in many papers on the subject, unfortunately there seems to be some ambiguity in the use of the symbol ##h##.

As example is a paper giving the estimated GW signal from HM Cancri which is expected to be the strongest verification signal for eLISA. The paper is here 2010 ApJ 711 L138 and section 4.3 says: "With the system parameters derived in the previous section, we can calculate the gravitational-wave strain amplitude at Earth. The distance to HM Cnc is the largest remaining uncertainty; it is probably ∼5 kpc based on the expected sizes and measured temperatures of the white dwarf components (Barros et al. 2007). This gives a dimensionless gravitational-wave strain amplitude ##h \approx 1.0 \times 10^{-22}##."
Here they are using ##h## for the amplitude of the sine wave strain, not the instantaneous value.

PeterDonis said:
The "strain" is defined as the dimensionless change in the distance between neighboring geodesics, i.e., neighboring test masses that start out at rest relative to each other before the GW passes, and which are moving inertially, with no forces acting on them. To make the distance change dimensionless, we divide it by the original distance between the masses. So, heuristically, we have strain ##s = \delta d / d##, where ##d## is the original distance and ##\delta d## is the change in distance.

Now consider a pair of test masses separated by a distance ##d## along the ##x## axis of the coordinate chart in which the Wikipedia page equations are written. This distance is given in terms of the line element by ##d = g_{xx} \left( x_2 - x_1 \right) = \left( 1 + h_{xx} \right) \left( x_2 - x_1 \right) = \left( 1 + h_+ \right) \left( x_2 - x_1 \right)##. (This is just using the definition of ##h_+## as given on the Wikipedia page.)
That is correct using the first definition on the Wikipedia page, the second definition of the same variable ##h_+## omits the time variation which is where the confusion arises.

PeterDonis said:
Before the GW passes, we have ##h_+ = 0##, i.e., ##g_{xx} = 1##, so we have ##d = x_2 - x_1##. Then, as the GW passes, we can write the change in ##d## as ##\delta d = \left( 1 + h_+ \right) d - d = h_+ d##, i.e., the distance using the new ##g_{xx}## including the GW effect, minus the original distance. This obviously means the strain ##\delta d / d = h_+##. In other words, the "strain" is the "amplitude".
The mains supply here in the UK is a voltage of ##v=325 sin(2 \pi f t)## where f is 50Hz and the amplitude is 230V r.m.s. or 325V peak. I believe it is common practice to use the same terminology for gravitational waves, the amplitude refers to the strain but omitting the time variation and it is usually the peak value rather than r.m.s. but unfortunately the symbol ##h## is commonly used for both.
PeterDonis said:
What all this shows is that, as I said before, the Wikipedia page equation can't be using the same underlying math as the NASA image.
The NASA animated gif shows a displacement in the direction perpendicular to the orbital plane which I think represents the local value of stretching in the plane. Since that direction is transverse to the radius, I guess I should call it ##h_{\phi \phi}##.

pervect said:
Where's the Nasa image?
It is this gif file, originally from the NASA LISA site which seems to have gone but is still available via Wikipedia and many other places.

WAVY.GIF
 

Similar threads

  • · Replies 37 ·
2
Replies
37
Views
3K
  • · Replies 71 ·
3
Replies
71
Views
4K
  • · Replies 6 ·
Replies
6
Views
2K
  • · Replies 12 ·
Replies
12
Views
3K
  • · Replies 8 ·
Replies
8
Views
2K
  • · Replies 4 ·
Replies
4
Views
2K
  • · Replies 1 ·
Replies
1
Views
3K
  • · Replies 31 ·
2
Replies
31
Views
2K
  • · Replies 4 ·
Replies
4
Views
2K
  • · Replies 19 ·
Replies
19
Views
4K